рефераты
Главная

Рефераты по рекламе

Рефераты по физике

Рефераты по философии

Рефераты по финансам

Рефераты по химии

Рефераты по хозяйственному праву

Рефераты по цифровым устройствам

Рефераты по экологическому праву

Рефераты по экономико-математическому моделированию

Рефераты по экономической географии

Рефераты по экономической теории

Рефераты по этике

Рефераты по юриспруденции

Рефераты по языковедению

Рефераты по юридическим наукам

Рефераты по истории

Рефераты по компьютерным наукам

Рефераты по медицинским наукам

Рефераты по финансовым наукам

Рефераты по управленческим наукам

Психология и педагогика

Промышленность производство

Биология и химия

Языкознание филология

Издательское дело и полиграфия

Рефераты по краеведению и этнографии

Рефераты по религии и мифологии

Рефераты по медицине

Рефераты по сексологии

Рефераты по информатике программированию

Краткое содержание произведений

Реферат: Национальное хозяйство как система взаимосвязанных рынков

Реферат: Национальное хозяйство как система взаимосвязанных рынков

Министерство образования

Российской Федерации

Дальневосточная государственная академия

экономики и управления

Макроэкономика

Тема: «Национальное хозяйство как система взаимосвязанных рынков»

Студент 3 курса

заочный факультет

Аксючиц Ю.А.

Владивосток

2002

План

1. Взаимосвязь рынка благ, денег, ценных бумаг, труда.

2. Общее экономическое равновесие.

3. Главная особенность модели Вальраса.

     Основу современной организации национального хозяйства составляют два начала: рынок и государственное макроэкономическое регулирование. Рациональность такой организации доказана практикой.

     Можно дать несколько определений рынка.

     Рынок – это обмен, организованный по законам товарного производства и обращения, совокупность отношений товарного обмена.

     Рынок – это механизм взаимодействия покупателей и продавцов, иными словами, отношение спроса и предложения.

     Рынок – это сфера обмена внутри страны и между странами, связывающая между собой производителей и потребителей продукции.

     Углубленное понимание категории «рынок» требует учета его места в хозяйственной (экономической) деятельности. Можно выделить четыре сферы экономической деятельности: 1) производство, 2) распределение, 3) обмен, 4) потребление.

     Хотя конечная, естественная цель экономической жизни – это потребление, важнейшей сферой экономики является производство. Без его развития не может быть никакого рынка, именно производство рождает товарную массу. В изменении производственной сферы – ключ ко всем изменениям в других сферах экономики.

     Рынок как развитая система отношений товарного обмена представляет собой систему отдельных взаимосвязанных рынков, элементов «большого» рынка. Таким образом, рынок охватывает, прежде всего, рынки ресурсов, а также другие. В свою очередь, эти рынки разбиваются на более узкие и т.д.

     Структура рынка:

-      рынок рабочей силы;

-      финансовый рынок (рынок ссудных капиталов);

-      рынок средств производства;   

-      потребительский рынок;

-      рынок услуг;

-      рынок технологий;

-     рынок духовных благ.

     Утвердившиеся в обществе рыночные отношения оказывают огромное воздействие на все стороны хозяйственной жизни, выполняя ряд существенных функций.

     Функция информационная. Через постоянно меняющиеся цены, процентные ставки на кредит рынок дает участникам производства объективную информацию об общественно необходимом количестве, ассортименте и качестве тех товаров и услуг, которые поставляются на рынок.

     Стихийно протекающие операции превращают рынок в гигантский компьютер, собирающий и перерабатывающий колоссальные объемы точечной информации и выдающий обобщенные данные по всему тому хозяйственному пространству, которое он охватывает.

     Функция посредническая. Экономически обособленные производители в условиях глубокого общественного разделения труда должны найти друг друга и обменяться результатами своей деятельности. Без рынка практически невозможно определить, насколько взаимовыгодной является та или иная технологическая и экономическая связь между конкретными участниками общественного производства. В нормальной рыночной экономике с достаточно развитой конкуренцией потребитель имеет возможность выбора оптимального поставщика (с точки зрения качества продукции, ее цены, сроков поставки, послесбытового обслуживания и других параметров). В то же время продавцу предоставляется возможность выбрать наиболее подходящего покупателя.

     Функция ценообразующая. Поступающие обычно на рынок продукты и услуги одного назначения содержат неодинаковое количество материальных и трудовых затрат. Но рынок признает лишь общественно необходимые затраты, только их согласен оплатить покупатель. Следовательно, здесь формируется отражение общественной стоимости, рассчитать которую не способна ни одна ЭВМ. Благодаря этому устанавливается подвижная связь между стоимостью и ценой, чутко реагирующая на изменения в производстве, потребностях, конъюнктуре.

     Функция регулирующая – самая важная. Она связана с воздействием рынка на все сферы экономики, и прежде всего на производство. Рынок дает ответ на вопросы: что производить? для кого производить? как производить? Рынок немыслим без конкуренции. Внутриотраслевая конкуренция стимулирует снижение затрат на единицу продукции, поощряет рост производительности труда, технический прогресс, повышение качества продукции. Межотраслевая конкуренция путем перелива капиталов из отрасли в отрасль формирует оптимальную структуру экономики, стимулирует расширение наиболее перспективных отраслей.

     Важную роль в рыночном регулировании имеет соотношение спроса и предложения, существенно влияющее на цены. Растет цена – это сигнал к расширению производства, падает цена – сигнал к его сокращению.

     В современных условиях экономика управляется не только «невидимой рукой», но и государственными рычагами, однако регулирующая роль рынка продолжает сохраняться, во многом определяя сбалансированность народного хозяйства.

     Функция санирующая. Рыночный механизм – это не благотворительная система. Она и жесткая, и даже жестокая. Ей присуще социальное расслоение, беспощадность по отношению к слабым. С помощью конкуренции рынок очищает общественное производство от экономически неустойчивых, нежизнеспособных хозяйственных единиц и, напротив, дает зеленый свет более предприимчивым и эффективным. В результате этого непрерывно повышается средний уровень устойчивости всего хозяйства в целом.

     Основные виды экономических субъектов.

     В соответствии с той ролью, которую играют экономические агенты, принято различать домохозяйства (домашние хозяйства), государство (органы государственного управления, государственные учреждения), бизнес (предприятия, фирмы), заграница. Это самое общее, несколько условное деление на сектора экономики.

     К домашним хозяйствам принято относить тех, кто осуществляет операции, связанные с ведением домашнего хозяйства, т.е. преимущественно потреблением. Предполагается, что все ресурсы принадлежат домашним хозяйствам. Они получают доходы путем предоставления экономических факторов – рабочей силы, капитала, земли и др., которыми они располагают. Доходы используются на приобретение необходимых товаров и услуг, а также для создания сбережений. Как потребители домашние хозяйства независимы, т.е. они вправе принимать решения самостоятельно, но эта независимость ограничивается размерами доходов и системой регламентации, существующей в обществе.

     Бизнес (предприятия, фирмы) – это самостоятельные хозяйственные единицы. В отличие от домашних хозяйств, выполняющих функцию потребления, бизнес осуществляет производственную деятельность, а также инвестирование. Бизнес различают по формам собственности (частные, муниципальные, государственные), по размерам и масштабам производства, по видам производственной деятельности и т.д.

     Основные функции государства состоят в обеспечении общественных потребностей и перераспределении части ресурсов. Государство всегда играло важную роль в экономической жизни общества. Оно осуществляет регулирование экономической деятельности, формирует инфраструктуру и, как правило, активно вмешивается в экономику, используя различные формы и методы. Существуют различные показатели и критерии экономической активности государства, среди них доля государственных расходов в валовом внутреннем продукте; доля налогов в ВВП; размеры государственной собственности и продукции, производимой государственными предприятиями.

     Интересы экономических агентов обусловливаются их положением в хозяйственной системе, выполняемыми ими функциями. Домашние хозяйства стремятся максимизировать полезность благ, приобретаемых на доходы; они ранжируют свои потребности и осуществляют расходы в пределах имеющихся бюджетов. Решения, принимаемые бизнесом, неоднозначны; они определяются не только стремлением максимизировать прибыль, но и другими мотивами, например, целями экономической деятельности служат захват и удержание доли на рынке, расширение масштабов производства, утверждение экономической власти.

     В самом общем виде экономическое равновесие – это соответствие между ресурсами и потребностями. Как известно, потребности всегда опережают ресурсы. Поэтому обычно равновесие достигается либо посредством ограничения потребностей (на рынке потребности выступают в виде платежеспособного спроса), либо посредством увеличения и оптимизации ресурсов.

     Достижению равновесия способствует ценовой механизм. В результате колебания цен происходит выравнивание спроса и предложения товаров: в точке их пересечения устанавливается равновесная цена. Равновесие через посредство ценового механизма может устанавливаться как для отдельных товаров, так и в масштабе народного хозяйства на основе согласования агрегированного спроса и агрегированного предложения, иными словами, как на микро-, так и на макроуровне. Однако условия и методы обеспечения равновесного соответствия на микро- и макроуровнях неодинаковы. Процесс формирования экономического равновесия на макроуровне более сложен и противоречив.

     На макроуровне принято различать общее и частичное равновесие. Частичное равновесие – это количественное соответствие (равенство) двух взаимосвязанных параметров или сторон экономики. Например, частичное равновесие выступает в виде равновесия производства и потребления, покупательной способности и товарной массы, доходов и расходов госбюджета, спроса и предложения и т.п.

     В отличие от частичного общее равновесие означает соответствие (согласованное развитие) всех сфер экономической системы. В основе общего экономического равновесия лежит, прежде всего, соответствие между спросом и предложением товаров и услуг, причем соответствие между спросом и предложением не только потребительских благ, но и средств производства, рабочей силы и т.д. Иначе говоря, условием устойчивого и стабильного развития экономической системы является равновесие не только на рынке товаров, но и на всех остальных рынках.

     Равновесие системы не сводится только к рыночному равновесию. Во-первых, рыночные факторы не следует отделять от производственных. Диспропорции, нарушения в сфере производства неизбежно ведут к неравновесности на рынках. Во-вторых, экономическую систему только в теории можно рассматривать изолированно. В реальной действительности наряду с рыночными воздействиями экономика испытывает влияние других, нерыночных факторов: политических, социальных, демографических. Существенное влияние оказывают методы государственного регулирования, которые не являются чисто рыночными.

     Исходя из вышесказанного, выделим наиболее важные предпосылки общего равновесия в экономике.

     1. Равновесие подразумевает соответствие общественных целей и экономических возможностей. Цели и приоритеты общественного развития меняются, изменяются и потребности в ресурсах, а следовательно, происходят изменения в пропорциях, возникает необходимость в обеспечении нового равновесного состояния.

     2. Экономическое равновесие предполагает такое состояние хозяйства, когда используются все экономические ресурсы страны. Конечно, должны сохраняться резервы мощностей и нормальный уровень занятости. Но в равновесной экономике не должно быть ни изобилия простаивающих мощностей, ни избыточной продукции, ни чрезмерного перенапряжения в применении ресурсов. Если, к примеру, капиталовложений недостаточно, то не будет своевременно заменяться изношенное оборудование, произойдет сокращение производства.

     3. Равновесие означает, что общая структура производства приведена в соответствие со структурой потребления. Скажем, отсутствие на протяжении длительного времени нормальных ценовых пропорций между промышленностью и сельских хозяйством вело к систематическому отставанию последнего.

     4. Наконец, как отмечалось выше, условием общего равновесия в экономике служит рыночное равновесие, равновесие спроса и предложения на всех основных рынках.

     Теория экономического равновесия имеет важное практическое значение. Положения и выводы этой теории кладутся в основу экономической политики; они используются для выработки наиболее эффективных методов хозяйственного регулирования, обоснования прогнозов.

     Теоретиком общего экономического равновесия считается Л. Вальрас. Он пришел к выводу, что общее равновесие предполагает наличие ряда условий, в том числе свободную конкуренцию, равенство всех покупателей на рынке, неизменность экономических ситуаций, замкнутость экономических систем. Л. Вальрас построил модели общего равновесия, широко используя математический аппарат. Условия общего равновесия, о которых говорится в «чистой экономической теории» Вальраса, существуют в идеале как потенциальная возможность. Теоретическая конструкция Вальраса помогает выявить систему функциональных зависимостей, представить механизм формирования равновесных цен, уяснить, в силу чего рыночная экономика стремится к равновесному состоянию.

     Уравнения Вальраса охватывают экономику целой страны – весь ее рынок. Предполагается (для простоты), что экспорт и импорт отсутствуют. Чтобы нам попроще и понагляднее разобраться в этой теории, мы можем смоделировать такое же «изолированное государство», если вернемся на остров Тюрго. Земля, затерянная в океане, - тут уж точно ни экспорта, ни импорта.

     Вначале наши робинзоны увидели, что их запасы скоро подойдут к концу. Оглядевшись по сторонам, они решили, что пора заняться производством. Покопавшись в прибрежном песке, они среди обломков какого-то давнего кораблекрушения нашли заржавевшие инструменты, напоминающие лопату и топор. Зная, что разделение труда ведет к обоюдной выгоде, они поделили инструменты между собой и хорошенько наточили их о камни. Один стал выращивать маис, второй стал рубить дрова, а дальше – уже знакомая нам бартерная торговля.

Так они и жили, пока однажды из моря на берег не вышел еще один че­ловек. Он сам подошел к ним и рассказал, что удрал с проплывающего судна, так как проигрался в карты, а заплатить было нечем, и его хотели утопить (еле доплыл до острова). Его пригласили к костру и угостили кашей.

Долго ли, коротко ли, новичок сообразил, что, если у него не будет, чем пла­тить за еду и обогрев, ему будет плохо. Законы рынка суровы, хочешь жить — умей вертеться. Но чем платить, если нет товара? Он попросил у одного взай­мы мешочек маиса, а у другого — немного дров, сказав обоим, что, если он не вернет долги, они могут утопить его в море.

Не все наши читатели, возможно, знают, что маис — это обыкновенная ку­куруза. А коли есть кукуруза, значит, должно быть и кукурузное виски. Как но­вичок соорудил перегонный аппарат – это его коммерческая тайна. Но дело пошло — и у него появилось то, чем можно было вернуть долги и далее пла­тить за зерно и дрова. Как теперь будут формироваться цены?

Мы получили экономику с тремя видами товаров и двумя вида­ми факторов производства — землей да трудом (производственный инвентарь наших островитян, формально принадлежащий к катего­рии капитала, столь малоценен, что им можно пренебречь для про­стоты). Теперь можно поговорить о рыночном равновесии.

В чем проблема равновесия?

Прежде робинзонов было двое, и каждый обладал запасом това­ров. Было две функции спроса и две функции предложения. Тогда цена равновесия зависела только от соотношения интенсивности их потребностей в товаре — своем и чужом. Эта равновесная цена, как почти выяснил сам Тюрго, устанавливалась на уровне равенства пре­дельных полезностей одного и другого товара.

Теперь ситуация стала иной.

Во-первых, их уже трое. Что качественно нового вносит такое из­менение в количестве? Спрос дровосека на кукурузу зависит теперь не только от его предельной потребности в зерне, но и от его же спроса на виски. Если он готов часть своих дров обменять на весе­лящий напиток, значит, к обмену на маис будет предназначаться уже меньше дров, чем раньше. Отсюда меняется степень убывания полезности каждой охапки его дров. Но ведь то же самое можно сказать и про кукурузника, и про винокура.

Мы имеем три вида сделок по обмену:

1) маис на дрова;

2) маис на виски;

3) дрова на виски.

У каждого из участников своя функция спроса на оба товара его партнеров и своя функция предложения своего товара. Таким образом, теперь мы имеем шесть функций спроса и три функции пред­ложения. И каждая из них зависит от всех остальных.

Во-вторых, теперь в расчет берутся ресурсы производства — труд и земля. Возможно такое рассуждение: если за 20 мер маиса земледе­лец получает кружку виски, то, чем больше маиса он произведет, тем больше кружек виски получит. И вот он начнет расширять посевную площадь и соберет значительный урожай, и окажется, что его продукт от этого просто подешевел и теперь за кружку виски ему приходит­ся отдавать 25 мер зерна. То же самое может произойти и с дрово­секом, и с винокуром, хотя у них наращивание продукта потребует увеличения скорее затрат труда, чем площади обработки земли.

Что же делать? Сокращать производство, чтобы единица проду­кта стала дороже? Но можно сокращать до такой степени, что не обеспечишь себя всем необходимым. Значит, требуется найти некое равновесное количество продукта, при котором предельный расход ресурсов будет равен предельному доходу от продажи продукта.

Но и это еще не все. Хитрый новичок может задумать комбина­цию: наменяю, мол, побольше маиса, сделаю запас, потом какое-то время смогу получать дрова за маис, у кукурузника вообще ничего не покупать — и устрою себе безделье. Такой поворот вносит в си­туацию элемент конкуренции: дровосек может выбирать, у кого по­купать зерно в обмен на свои дрова. Правда, для этого винокуру пришлось бы затратить предварительно много труда.

Однако земледелец, видя, что винокур покупает у него больше, чем ему нужно для собственного потребления, начинает припрятывать свой запас, повышая зерновую цену одной кружки виски. И выходит, что винокур лишь удешевил свой продукт и перерасходовал труд.

Мы видим, что даже в такой простой экономике становится очень непросто установить цены и производство на уровне равнове­сия. И что даже при достижении равновесия здесь могут происхо­дить разнообразные колебания с отклонениями и возмущениями. А каким образом это все происходит в современной стране с много­миллионным населением?

Так ставил задачу Вальрас.

 

Постановка задач.

Начнем по порядку. Дано:

Товары Ресурсы
Кукуруза (К) Земля (3)
Дрова (Д) Труд (Т)
Виски (В)

   

Требуется определить: при каких ценах будет достигнуто равно­весие спроса и предложения по всем трем товарам и какое количе­ство каждого товара отвечает состоянию равновесия?

Важное уточнение: мы должны принимать во внимание, что и ресурсы производства имеют свою цену, которая влияет на цены то­варов. Когда речь идет о настоящей экономике, цена земли выража­ется рентой, а цена труда — заработной платой. В нашей ситуации нет ни дворянина-землевладельца, ни наемного труда. Но от Адама Смита и Иоганна фон Тюнена мы уже знаем, что и рента, и зарпла­та на острове Тюрго тоже будут существовать, хотя и в скрытом ви­де. Так что островная наша экономика в этом отношении не отли­чается от обычной;

Настала пора ввести некоторые обозначения:

а — расход любого ресурса на создание единицы любого проду­кта;

aij — расход ресурса i на создание единицы продукта j, напри­мер: аЗК — расход земли на выращивание одной меры кукурузы, aTB — расход труда на изготовление одной кружки виски и т.д. Та­кой показатель имеет название технологического коэффициента;

xi — количество единиц продукта i (те. сколько его производит­ся для обмена);

ri — количество единиц ресурса ; (т.е.. сколько его всего исполь­зуется в производстве всех продуктов);

pi — цена единицы продукта i;

vi — цена единицы ресурса i.

Может возникнуть вопрос чем измеряются цены в этой бартер­ной экономике? Островитяне наши долго ломали голову, пока не придумали измерять „цены трудоднями”. Они договорились считать 8 часов труда за 1 трудодень независимо от того, сколько в действи­тельности каждый из них трудится.

 

Уравнения общего равновесия.

Немного поразмыслив, мы можем записать основные зависимо­сти нашей островной экономики в виде уравнений.

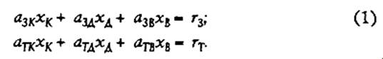
Возьмем сперва ограничения по ресурсам. Очевидно, что количе­ство каждого ресурса, которое используется в производстве кукуру­зы, дров и виски, не может не быть равно в сумме тому количеству этого ресурса, каким располагает наше хозяйство.

Поэтому:

Сейчас возьмемся за цены. Всего их у нас 5 (цены трех продук­тов + цены двух ресурсов). Цены служат аргументами функций спроса. Мы здесь имеем дело не с обычной кривой спроса, потому что мы теперь знаем, что спрос на каждый отдельный товар зависит (так или иначе) от цен на все товары и ресурсы в экономике. Как зависит? Пока это неважно, потому что мы пока не собираем­ся заниматься вычислениями. Поэтому мы просто констатируем, что спрос на данный товар есть какая-то функция от всех цен (функ­ция типа F). И потому мы можем записать систему из трех уравне­ний спроса (по трем продуктам):

                             (2)

Далее, мы вспоминаем, что цена товара равна сумме издержек его производства. Нам известны технологические коэффициенты (которые показывают, сколько каждого ресурса используется на от­дельный продукт). Умножая технологические коэффициенты на це­ны ресурсов, получаем сумму издержек производства по каждому продукту:

aЗКvЗ+aTKvT=pK                                                                          (3)

aЗД+aТДvT=pД

аЗBvЗ+aTBvT=pB

Нам осталось записать функции предложения ресурсов (факто­ров) производства. Как и с функциями спроса на товары, мы запи­шем их в общем

виде — просто функции типа G:

                                           (4)

Это еще не все. Пока даже непонятно, к чему все эти уравнения, правда ведь? Ну что же, давайте прибегнем к испытанному методу. Что нужно делать, если хочешь что-то понять? Конечно: рассуждать.

Закон Вальраса

Доход земледельца проистекает от его земли и его труда, а вы­ражается в выручке от продажи кукурузы. Иными словами, выруч­ка от продажи кукурузы распределяется как рента на его землю и оплата его труда (это и есть то, что мы называли прежде вознагра­ждением факторов производства). То же самое можно сказать про двоих других островитян, не так ли? А если так, тогда — внимание! — вся суммарная выручка от продажи всех (трех) продуктов явля­ется суммой вознаграждений всех (двух) факторов, используемых на острове. И вот что получается:

рКхК+рДхД+зВхВ=vЗrЗ+vТrТ                                                                   (5)

Знак тождества мы ставим здесь потому, что левая часть и пра­вая часть, как мы только что установили, — это одно и то же. Но и тут еще не конец. Мы только что понаписали кучу уравнений. В ней есть уравнения спроса (в левой части стоят «иксы») и уравнения предложения (в левой части стоят «эры»). Вот давайте-ка их быст­ренько подставим из уравнений (2) и (4) в тождество (5):

PKFK+pДFД+pBFB=v3G3+vTGT                                              (6)

Вот теперь все. Во-первых, мы пишем просто буквы F и G, пом­ня, что это функции спроса и предложения. А во-вторых-

О, тут стоит сделать паузу. В общем, выражение (6) есть не что иное, как знаменитый Закон Вальраса.

 

Значение закона Вальраса и что он дает.

Сперва укажем, для чего Закон Вальраса не применяется. Он не используется для вычисления цен и других показателей. Нужен За­кон Вальраса для рассуждении. О чем говорит этот закон? Он гово­рит о том, что в состоянии рыночного равновесия совокупный спрос равен совокупному предложению. Но это звучит чересчур обще. Вер­немся к тождеству (5). О чем оно нам говорит? О том, что совокуп­ные доходы равны совокупным расходам. Сказать (5) — значит ска­зать (6). И наоборот.

Словесная формулировка выражения (5) напоминает что-то та­кое, что мы давно уже проходили. Ну конечно, все уже догадались: тождество Сэя!

Действительно, Закон Вальраса сильно напоминает Закон Сэя в варианте "тождества". Можно сказать больше: если брать Закон Вальраса в том виде, как мы его подали выше, он просто идентичен тождеству Сэя.

Однако сам Вальрас, понятное дело, имел в виду не остров с тре­мя производителями, а народное хозяйство современной страны, где многие тысячи производителей поставляют на рынок сотни тысяч видов товаров, покупаемых миллионами потребителей. Так что За­кон Вальраса нужно записать в более общем виде:

сумма всех pjFj = сумме всех viGi

Мы уже раньше условились о том, что ресурс i — это любой ре­сурс. Если всех ресурсов не два, как у нас на острове, a m, тогда i = 1, 2, 3, ..., n  (i пробегает все натуральные числа от 1 до m).

Мы также условились, что продукт i — это любой продукт. Если всех продуктов не три, а n, тогда i = 1, 2, 3, ..., n (j пробегает все на­туральные числа от 1 до n).

Математики, которые не любят писать уравнения с употребле­нием слов, придумали буквенные обозначения; (i = 1, 2. …, m) и (j =1, 2, …, n) называются так: пределы суммирования. И вместо слова "сумма" они договорились писать греческую букву "сигма".

Теперь — в полном математическом облачении — Закон Вальраса вы­глядит так:

                                                           (7)

(Сумма piFi. по всем j от 1 до п тождественно равна сумме viGi, по всем   i от 1 до m)

В таком виде Закон Вальраса еще не отличается от тождества Сэя. Так что идем еще немного дальше.

Для чего мы выписывали уравнения (1) и (З)? Пока что мы о них попросту забыли. Давайте вернемся к ним. В системе (1) умно­жим первое уравнение на v3, а второе — на vT И перейдем от это­го частного случая к общей формуле (7). В левой части тождества (7) мы получим теперь åaijvixj. Затем умножим в системе (3) первое уравнение на хK, второе — на xД, третье — на хB. И опять перей­дем к обшим обозначениям, Тогда в правой части тождества (7) по­лучаем åpjxj.

Из всего, что мы проделали до сих пор, следует, что в левой ча­сти тождества (7) стоит рыночный спрос на все продукты и ресур­сы, а в правой части — рыночное предложение всех продуктов я ре­сурсов. Так что вместо буквы v мы можем употребить тоже букву р, приняв ее для обозначения всех цен в нашей системе. При таком взгляде на веши ресурсы уже ничем не отличаются от продуктов — они тоже ведь продаются и покупаются. Поэтому мы объединяем все вместе:  m+ n =s, а вместо двух индексов i и j берем один, i и представляем Закон Вальраса в самом общем виде:

                                                 (8)

Вальрас включил в перечень товаров не только потребительские блага и факторы производства, но также и деньги. В этом отличие его от Сэя, который, как мы помним, говорил: "Продукты обмени­ваются на продукты".

Когда Вальрас сформулировал свой закон, возник новый интерес к Закону Сэя. А включив в свое тождество деньги, Вальрас стимулировал исследование Закона Сэя с точки зрения его отношения к деньгам, что позволило выявить неявные допущения в отношении денег (о чем мы говорили в главе 15).

Значение Закона Вальраса, конечно, сказанным не исчерпыва­ется.

Выражение (8) представляет собой фактически систему уравне­ний типа

p1F1=p1G1;

p2F2=p2G2

............. (и т.д.).                                                                                   (9)

Число неизвестных в системе (9) равно числу уравнений. Систе­му (9) можно решить обычными алгебраическими методами и най­ти цены, отвечающие условиям равновесия спроса и предложения. Затем эти равновесные цены можно подставить в уравнения типа (2) и получить такие количества продуктов, которые удовлетворяют условиям рыночного равновесия.

Однако дело обстоит не так просто. Если взглянуть на систему (2) я немного подумать о ее решаемости, мы рано или поздно со­образим, что в этой системе одно уравнение не является независи­мым. Действительно, коль скоро спрос на кукурузу и дрова задан, тем самым уже определен и спрос на виски. Вальрас выразил эту же мысль в такой форме: если удовлетворяются все уравнения, кроме одного, то и оно должно удовлетворяться. Такая же особенность от­личает систему уравнений предложения типа (4). Стало быть, систе­мы (2) и (4) содержат в совокупности не 5 независимых уравнений, а на одно меньше. Другими словами, не (m+ n), a (m+ n – 1) неза­висимых уравнений.

С другой стороны, в уравнениях Вальраса присутствует такой ин­тересный вид товара, как деньги. Что деньги — это интересный то­вар, наверное, согласятся многие. Но в данном случае он интересен тем, что цена его известна заранее, до решения системы уравнений. И равна она 1.

Действительно, если цена единицы обычного товара составляет столько-то рублей, то цена одного рубля равна одному рублю. Сле­довательно, число неизвестных тоже уменьшается на одно, тоже ста­новится (m+ n – 1), отчего можно снова утверждать, что система уравнений имеет одно решение. Вальрас был удовлетворен.

Только позднейшие исследователи выяснили, что дело обстоит не столь гладко. Во-первых, выдвигались соображения формально-мате­матические. Например: может оказаться, что все корни системы — нулевые или часть из них — мнимые числа и т.п. Но такие вещи ед­ва ли могут иметь место, если правильно задать функции спроса и предложения (данное утверждение все равно еще нуждается в дока­зательстве).

Сложнее обстоит дело в том случае, если часть корней системы уравнений окажется отрицательными числами. Отрицательные це­ны, например, — это что такое? Нулевая цена имеет экономический смысл — она означает отсутствие ценности у данного товара, он дар­мовой или никому не нужен. Отрицательная же цена, по-видимому, не имеет экономического смысла.

Заслуга Вальраса состоит не столько в том, что он решил проб­лему, сколько в том, что он ее поставил. Благодаря математической формулировке условий рыночного равновесия стало возможным изу­чать проблему строгими методами (чего не давал Закон Сэя).

Последующие ученые задавались вопросом о том, существует ли единственное решение системы Вальраса с неотрицательными кор­нями. Экономически это означает: возможно ли полное рыночное равновесие на деле? Следующий вопрос если такое решение существует, насколько оно устойчиво при изменениях параметров урав­нений? Экономически это означает если рыночное равновесие дос­тижимо, то может ли оно быть устойчивым и при каких условиях? Исследования продолжались в        30—50-х гг. нашего века, когда были доказаны основные теоремы существования. Но и до сих пор в этой области еще имеются зоны, открытые для изучения.

Другое направление исследований, куда открыл дверь Вальрас, связано с денежной теорией. Эти и многие другие вещи были вы­яснены учеными, которые отталкивались от Закона Вальраса.

Не стоит забывать о том, какие условия были заложены в урав­нении рыночного равновесия по Вальрасу. Все эти условия хорошо видны на нашем примере островной экономики. Вот они: техноло­гические коэффициенты aij неизменны; объем применения каждого ресурса ограничен определенным размером ri; функции спроса на каждый товар неизменны и т.п. Совокупность всех этих условий оз­начает, что в экономике, которую описывают уравнения равновесия, ничего нового не происходит. Там отсутствует технический прогресс, нет запасов неиспользованных ресурсов, не растет население и не меняется его состав, не возникает новых видов товаров и услуг. Это полностью статическая модель и очень сильное упрощение действи­тельности. Будем помнить также, что существенным условием рав­новесия, по Вальрасу, является свободная конкуренция во всех сфе­рах экономики.

Однако сказанное не составляет большой беды и никак не обес­ценивает идей Вальраса. Главное, что ученые могли теперь обсуждать различные стороны проблемы, стало возможным изменять те или иные условия и исследовать последствия этих изменений для моде­ли рыночного равновесия.

Одна особенность Вальрасовой теории оставалась неизменной и неотъемлемой. Модель Вальраса описывает рыночное равновесие в условиях полной занятости. В течение более чем полувека по­сле появления Закона Вальраса полная занятость считалась непре­менным условием общего рыночного равновесия, и нам нужно на­браться терпения, чтобы вернуться к этому вопросу на ином уровне рассмотрения. А пока нужно непременно отметить один из важнейших уроков теории Вальраса.

Мы помним все эти вековые дискуссии и споры о том, откуда берется ценность хозяйственных благ. Определяется ли она затрата­ми только труда или расходом всех ресурсов (издержками) произ­водства? Или, напротив, ценность определяется полезностью благ и уже отсюда вменяется факторам производства? Вопрос о конечном (в другой формулировке: начальном) основании цен имеет долгую историю в эволюции экономической мысли, часто выходя за преде­лы чисто научного интереса и становясь предметом политических спекуляций. Есть смысл вспомнить здесь также, что подобную же историю имеет и другой вековечный вопрос экономической мыс­ли — вопрос о происхождении прибыли на капитал, о том, откуда, как и почему она возникает.

Теория Вальраса позволила впервые за все время внести ясность в эти вопросы и повернуть вековечную дискуссию таким боком, ко­торый мог бы примирить противоположные позиции. Издержки производства (расходы факторов и их оценки), доходы (вознаграж­дения факторов), оценки товаров на рынке (предельные полезно­сти). Спрос, предложение, объемы производства, размеры заку­пок все определяется на рынке совместно и одновременно. Такой ответ дает теория Вальраса на любые вопросы о том, что из чего возникает и что на чем основывается. В частности, меновая цен­ность (она же — справедливая цена" и "естественная цена") — это система цен, удовлетворяющая состоянию рыночного равновесия в условиях свободной конкуренции.

Теория Вальраса сообщила также новый импульс для изучения проблемы благосостояния, поставленной еще Адамом Смитом. Как соотносится рыночное равновесие с условием максимального удовлетворения потребностей населения?

Литература:

1. Долан Э. Дж., Линдсей Д. Макроэкономика. Спб., 1994.

2. Экономика: Учебник / Под ред. Булатова А.С. М., 1997.

3. Самуэльсон П. Экономика. М., 1992.

4. Негиши Т. История экономической теории. М., 1995

5. Жид Ш., Рист Ш. История экономических учений. М., 1995

6. Хейне П. Экономический образ мышления. М., 1991.   


© 2012 Рефераты, курсовые и дипломные работы.