рефераты
Главная

Рефераты по рекламе

Рефераты по физике

Рефераты по философии

Рефераты по финансам

Рефераты по химии

Рефераты по хозяйственному праву

Рефераты по цифровым устройствам

Рефераты по экологическому праву

Рефераты по экономико-математическому моделированию

Рефераты по экономической географии

Рефераты по экономической теории

Рефераты по этике

Рефераты по юриспруденции

Рефераты по языковедению

Рефераты по юридическим наукам

Рефераты по истории

Рефераты по компьютерным наукам

Рефераты по медицинским наукам

Рефераты по финансовым наукам

Рефераты по управленческим наукам

Психология и педагогика

Промышленность производство

Биология и химия

Языкознание филология

Издательское дело и полиграфия

Рефераты по краеведению и этнографии

Рефераты по религии и мифологии

Рефераты по медицине

Рефераты по сексологии

Рефераты по информатике программированию

Краткое содержание произведений

Реферат: Реальные опционы в менеджменте

Реферат: Реальные опционы в менеджменте

А. В. Бухвалов

Реальные опционы представляют собой возможность принятия гибких решений в условиях постоянно меняющейся среды. Эту возможность необходимо специально проектировать. Обсуждение понятия «реального опциона» и его многообразных применений было начато автором в статье [Бухвалов, 2004], непосредственным продолжением которой является данная работа. Для краткости при ссылках на упомянутую работу далее используется сокращение [РО]. Если основной целью работы [РО] было неформальное введение в проблематику, раскрываемое с помощью примеров и мини-кейсов, то настоящая публикация преследует исследовательскую цель: дать авторский вариант методики использования реальных опционов в менеджменте. Это потребовало нового анализа:

поведения руководителей компании;

организационного поведения компании;

характера неопределенности.

Аналогично тому, как неоклассическая экономическая теория предполагает, что фирма максимизирует прибыль, а теория финансового менеджмента-что фирма максимизирует ценность для собственников, автор исходит из постулата, что фирма (осознанно или неосознанно) использует реальные опционы в качестве основного подхода для достижения своих стратегических целей и приобретения конкурентных преимуществ в неопределенной среде. Каждый из этих постулатов не требует того, чтобы фирма следовала какому-либо нормативному аппарату реализации соответствующего принципа. Справедливость классических постулатов обосновывается как соображениями рациональности, так и многочисленными косвенными фактами, имеющими эмпирические подтверждения. Прямой проверки эти постулаты не допускают, а ценность не имеет даже сколько-нибудь операционального способа измерения. Постулат о реальных опционах имеет тот же самый статус. Как уже отмечалось в [РО], менеджеры используют реальные опционы интуитивно, как правило, без знакомства с самим понятием. Это наблюдается на огромном множестве кейсов как универсального, так и уникального характера и подтверждается эмпирическим анализом проверяемых следствий теории опционов. Факт использования реальных опционов меняет функцию предложения компании и разнообразие производимой продукции. Если принять сформулированный постулат, то очевидной станет необходимость изучения влияния указанной роли реальных опционов на основные парадигмы менеджмента. Другой постулат привносит идею равновесности в рассматриваемую ситуацию: реальные опционы потребителя, связанные с продуктом, определяют его выбор товара или услуги и отношение к различным фирмам в качестве стейкхолдера. Этот постулат анализируется в работе в связи с предпринимаемым пересмотром таких понятий, как брэнд и активы торговой марки. Учет реальных опционов потребителя меняет его функцию спроса.

Подчеркнем, что если микроэкономические функции спроса и предложения появляются как решение оптимизационных задач, предполагающих умение экономических агентов реализовывать максимизирующее поведение, то здесь речь идет о попытках обеих сторон реализовать по возможности лучшую ситуацию, которая не формализуется в терминах экстремума. Это созвучно анализу поведения фирмы, принятому в современном стратегическом менеджменте.

В данном исследовании сочетаются позитивный и нормативный подходы. Во всех случаях ведется поиск подтверждения идей фактами, наблюдаемыми на практике. С другой стороны, предлагаются подходы к тому, как можно использовать эти идеи в практической деятельности.

1. Изменения парадигм менеджмента, внесенные теорией реальных опционов

1.1. Раскол теории и практики менеджмента

Многие десятилетия теория менеджмента и теория финансов, включая корпоративные финансы, развивались практически независимо друг от друга. В соответствии с этим положением практика общего и стратегического менеджмента, маркетинга, управления персоналом проходила параллельно, но фактически без взаимодействия с практикой финансового менеджмента. Практический финансовый менеджмент состоит из двух компонент: (1) учетной деятельности и контроля за текущими потоками платежей; (2) собственно финансовой деятельности. Последняя включает в себя обоснование инвестиционных проектов, выбор инструментов и источников для финансирования инвестиций, проведение финансовой политики (определение пропорции собственного и долгового финансирования и дивидендную политику).

При таком подходе финансовому менеджменту достается чисто инструментальная роль, причем далекая как от человеческого фактора, так и от собственно производства. При рассмотрении инвестиционных проектов от финансиста требуется лишь их «обоснование», а не равноправное участие в разработке. В многочисленных кейсах по корпоративным и маркетинговым стратегиям, по разработке новых продуктов и т. п., как правило, финансовая компонента отсутствует. Причина ясна: финансовое обоснование проекта требует прогноза потока будущих платежей, а специалист по маркетингу справедливым образом сомневается, что это можно сделать хоть сколько-нибудь реалистично. Поэтому и обращаются к финансисту на последней стадии, когда проект уже содержательно принят и его надо «обосновать». Проблемы финансирования с помощью открытого рынка, конечно, инструментальны и решаются финансистом, но проблемы кредитования, связанные с государством, банками, частными инвесторами, вопрос связей руководства. Как следствие, мы имеем и в теории и на практике своеобразный принцип отделения финансового менеджмента от всех остальных видов менеджмента (аналогичный пресловутому принципу отделения инвестиционных решений от финансовых, который никогда не верен в реальности). Хотя у нас нет инструментария для анализа того, хороша или плоха описанная ситуация с точки зрения теоретических концепций менеджмента, но чисто эвристически такое положение кажется неблагополучным.

Концепция реальных опционов (часто называемая ROA —Real Options Analysis; не путать с финансовыми коэффициентами) дает возможность для сближения позиций разделенных сторон. Однако такое сближение требует их обоюдных шагов навстречу друг другу. Одним из подобных шагов является реалистическое понимание того, что можно ожидать от финансового инструментария. Любопытно отметить, что менеджеры-нефинансисты, обычно принимающие свои решения без использования каких-либо количественных методов, сразу становятся очень строгими к тем числовым данным, которые они получают от финансистов. Правда жизни, однако, заключается в том, что финансисты не являются точной наукой (в отличие от физики), так как числа в финансах зависят от поведения людей, а потому финансы, так же как и менеджмент, являются обществоведческой и поведенческой наукой. Тем не менее ROA дает богатую понятийную среду для принятия решений с использованием в том числе и количественных методов.

1.2. Требования к топ-менеджеру

П. Дракер, крупнейший авторитет в области общего менеджмента, начиная со своей классической работы «Практика менеджмента», опубликованной в оригинале в 1954 г., и кончая футурологическим эссе «Задачи менеджмента в ХХI веке», всегда проводил идею, что характер деятельности топ-менеджера мало зависит от типа организации и отрасли. Основные менеджерские приемы представлялись универсальными.

Актуальность использования реальных опционов для приспособления и роста в неопределенной среде — как в коммерческих, так и в некоммерческих общественных организациях — меняет представление о требованиях, предъявляемых к руководителям. Без знания перспектив отрасли технологии, способов формирования рынка и создания каналов продвижения, маневрирования в использовании и создании уникальных ресурсов и преимуществ размышления о встраивании гибкости будут носить чрезвычайно плоский характер. Применение реальных опционов сведется к использованию некоторых типовых приемов (например, лизинг с правом возврата оборудования), которые никому не могут дать конкурентных преимуществ в силу своей общеизвестности и общедоступности.

Из сказанного вовсе не вытекает, что топ-менеджер (руководитель) обязательно должен быть специалистом по технологии. Чрезвычайную важность приобретает специальный вид интуиции, подобный неявному знанию (tacit knowledge), который по аналогии можно назвать неявной конструктивной интуицией (tacit structural intuition). Речь идет об умении без знания и проектирования технических деталей реализации предсказывать и направлять технологический прогресс, модификацию продукта и переход к новым продуктам, создание и использование ресурсов и компетенций в области деятельности компании. Там, где подробности реализации пока неясны, ставится блок- заглушка, созданием которого будут заниматься специалисты. Это означает, что успешный топ-менеджер должен сделать из своей компании обучающуюся организацию (см. далее п. 1.3). В обучающейся организации группы сотрудников или отдельные сотрудники могут по собственной инициативе подсказывать стратегические решения. Топ-менеджер должен поощрять такое поведение.

Классическим примером менеджера рассматриваемого типа можно считать Вилла Гейтса. Если отбросить историю создания вместе с коллегами интерпретатора языка ВАSIС для первого коммерческого персонального компьютера Аltair, надо честно признать, что Гейтс не вошел в историю как теоретик или практик программирования. Однако ему удалось превратить Мiсrosoft в успешную обучающуюся организацию, определившую на десятилетия стандарты ПО и ПК. Мiсrosoft и ее руководителя подстерегали многочисленные внутренние и внешние трудности и неудачи. Почти 10 лет заняло создание первой работоспособной версии МS Windows. В результате IВМ-совместимый персональный компьютер обрел наглядный графический интерфейс. Но к этому моменту ПК Масintosh от Аррlе Computer и АTARI ST от Atari Computers давно имели более совершенный графический интерфейс 1 (нечего говорить о терминалах «больших» машин, работавших под управлением ОС 2 UNIX в оболочке Х-Windows). Однако очень быстро Гейтс превратил МS Windows из графической оболочки в (реально) многозадачную систему, дающую унифицированный доступ ко всем периферийным устройствам, поддерживающую мультимедийные технологии и интегрированную с работой в Интернете и Интранете. Этого гениального достижения Гейтсу до сих пор не простили, таская Microsoft по американским, а теперь и по европейским судам с обвинениями в монополизме. Имеется обширная экономическая литература pro et contra этого обвинения. Автор полностью согласен с заявлением самого Билла Гейтса о том, что создание ПО, в том числе OC, является высококонкурентной индустрией3, где статический срез с подсчетом доли рынка не дает реальной информации об остроте конкуренции в динамике.

Использование того, что было названо выше неявной конструктивной интуицией, предполагает создание и поддержание динамических способностей компании [Тис, Пизано, Шуен, 2003]. Эта интуиция должна быть более конкретна, чем простое формулирование миссии компании. Она должна давать конструктивные блоки, которые будут наполняться необходимым содержанием сотрудниками компании. Эти блоки должны быть гибкими и допускать множественность реализации, так как не каждый шаг компании оказывается успешным. Классическим примером является совершенствование пакетаMS Internet Explorer, который на первых порах значительно уступал продукту от Netscape.

Рассмотрим другой пример. Невозможно представить, чтобы менеджер, незнакомый с технологией Интернета, создал систему продаж в Интернете типа Аmazon.соm или еВау. Конечно, можно сказать, что после первопроходцев огромное количество компаний начало работать в области электронной коммерции. Однако ни одна из них не смогла потеснить упомянутые компании. В условиях глобального характера сети Интернет важную роль играет то, кто сделал первый ход и насколько конкурентную инфраструктуру создает компания. Если инфраструктура конкурентна, то ниша для вхождения новых участников минимальна. Торговля на еВау осуществляется с помощью аукционов, которые могут проводить все желающие. Продавцу, как правило, выгоднее прийти на уже существующую торговую площадку, чем участвовать в создании новой. Таким образом, менеджер, владеющий лишь организационными приемами имитации новшеств, часто не способен обеспечить эффективное управление компанией. Примером того, что опоздавшему мало что достается, является попыткаBarnes&Noble, доминирующего американского розничного торговца книгами, выйти в Интернете после появления Аmazon.соm.

Отметим, что, хотя здесь были использованы примеры менеджмента в области разработки ПО и Интернета, не следует думать, что это единственные отрасли, где работает указанный подход. Более того, анализ многочисленных провалов стартапов, специализировавшихся в оказании Интернет-услуг, объясняется плохим менеджментом — даже в США не оказалось достаточно хороших менеджеров для инновационной отрасли [Finkelstein, 2001].

Закончим этот подраздел ответом на вопрос: не слишком ли сложен аппарат реальных опционов для менеджера? Приведем мнение практика.

В отличие от журналов по менеджменту мало внимания было уделено реальным опционам на страницах британскогоThe Economist. Это и понятно: реальные понятия чужды представителям экономического мэйнстрима. В выпускеThe Economist от 14 августа 1999 г. в рамках традиционной странички Economics Focus по интерпретации теории было приведено следующее мнение: реальные опционы смогут получить широкое распространение на практике только после того, как большинство менеджеров будет иметь докторскую степень по прикладной математике. Интересно отметить, что оппонентом данного утверждения выступил профессиональный консультант из РА Consulting Group, Cambridge (UК) — в письме, опубликованном в номере от 4 сентября 1999 г., д-р С. Блэк (Stephen Black) пишет:

Большая часть кажущейся трудности в современных подходах к анализу на базе реальных опционов возникает из попыток применить формулы, выведенные для финансоных опционов, к проблемам из реального мира. Обычно это не работает, так как опционы из реального мира весьма отличаются от финансовых опционов. <...>

Этому имеется альтернатива. Простые финансовые модели могут схватывать существо ценности опциона, включая знание неопределенности менеджерами и их возможные решения в будущем. <...>

Было бы очень жалко упустить одно из важнейших продвижений в финансовой технике принятия решений только потому, что академические работники не нашли пути их изложения для практиков.

Настоящие две публикации и представляют собой попытку заполнить образовавшуюся лакуну.

1.3. Требования к знаниям как динамическому ресурсу: обучающаяся организация

В условиях непредсказуемой будущей среды единственная вещь, которую может обеспечить хорошее управление компанией, — это наличие людей (команд) для решения любых будущих проблем. Достичь этого, однако, чрезвычайно трудно. Ни одно конкретное знание, ни одна конкретная квалификация не окажутся однозначно востребованными в будущем. Поэтому важно не просто рассматривать знания как актив фирмы, но и иметь стратегию его постоянного упреждающего обновления. Это выводит на первый план понятие обучающейся организации (lеаrning organization)5 как основного типа конкурентоспособной организации [Мильнер, 2003]. Особая роль в обучающейся организации отводится сегодня работе с информацией:

сбору и поиску, передаче, осмыслению, использованию. В [Гейтс, 2000, с. 248— 250] отмечается, что корпоративный коэффициент интеллекта IQ — это не просто сумма IQ работников. Корпоративный IQ это свобода обмена информацией и мыслями внутри организации.

Начнем с индивидуального приобретения знаний. Проиллюстрируем возникающие проблемы на отрасли ПО. Еще недавно в компьютерном программировании говорили о превалировании специалиста, являющегося программистом на одном- единственном языке, с которого он уже не может переключиться на другие языки программирования. Эту особенность отчасти учитывают при проектировании новых версий языков (так, Turbo Pasсal перетек в Delphi), но концепции программирования меняются чрезвычайно быстро. Тот, кто не освоил в начале 1990-х объектно-ориентированное программирование, выпал из отрасли. В России прогресс массового программиста и пользователя весьма медленный: многие пользователи ПО держатся за бухгалтерский учет в старой версии Fох Рго (страшно сказать о том, до какого года требовалось подавать документацию в формате Сliррег) или верстку в Pages Maker-оба продукта уходят своей идеологией в 1980-е гг.

Эти несчастья возникли в значительной мере из-за неправильной системы обучения, когда преподаватели сами владеют одним-единственным языком программирования без понимания современной архитектуры языков программирования, формулирующей общие фундаментальные принципы, которые должны быть прослеживаемы в различных реализациях. Это наблюдение касается и других областей, а не только создания или использования ПО. Следовательно, при обучении должно быть пересмотрено соотношение между фундаментальными и прикладными дисциплинами.

Например, преподавание учета на рецептурном уровне, соответствующем текущему законодательству, без введения в общетеоретические принципы и связи с финансовым и стратегическим менеджментом, превращает всю дальнейшую жизнь бухгалтера в натаскивание его на бесконечной череде семинаров по изменениям в этом законодательстве. Новые идеи: финансовый учет (учет для собственника), управленческий учет, технологии анализа создания дополнительной экономической ценности — внедряются в лучшем случае формально, без реального применения.

Отставание в потенциале знаний (включая этику бизнеса) учетных работников переходит с индивидуального уровня на корпоративный и сказывается не только в российских компаниях — оно особенно отчетливо выявилось в ходе корпоративных скандалов в США в начале 2000-х гг. В компаниях-рекордсменах были выявлены многомиллиардные приписки. В результате утраты доверия утеряны, по меньшей мере, сотни миллиардов долларов акционерного капитала. Из большой «пятерки» фирм-аудиторов навсегда выпала фирма Arthur Andersen, а в оставшейся «четверке» в начале 2004 г. фирма Ernst&Young была подвергнута Комиссией по ценным бумагам и биржам (SЕС) административному наказанию, согласно которому ей запрещено в течение полугода привлекать новых клиентов 6(наказание, не применявшееся с 1975 г.).

Если вернуться к проблеме использования реальных опционов в обучающейся организации, надо сказать о приоритетной роли обновления стратегии компании. Трудность для руководства компаний привыкнуть к этому обсуждается в [Christensen, 1997]. Соответствующее стратегическое мышление рассматривается как ключевая компетенция. Однако использование карты стратегий выглядит лишь инструментом на короткую и среднюю перспективу. Более интересной является позиция, выраженная в [Кim, Маuborgnе, 1997], которая призывает компанию создавать стратегию не с оглядкой на конкурентов, а с помощью построения независимой от них ценности. По существу, построение, отслеживание и совершенствование своей «кривой ценности» является стратегией обучающейся компании. Вопрос же о том, как этого достичь, выносится при такой постановке за скобки. В качестве продвинутых стратегий, требующих организационного знания, можно упомянуть понятие подрывающих технологий (distruptive technology) (см.: [Christensen, Воwеr, 1996], где развитие субрынков данного вида продукта иллюстрируется на примере производства различных поколений хард-дисков). Другим динамическим подходом является «латание заплат» (patching) [ЕEisenhardt, Вrown, 1999].

Знания и умения сами по себе еще не создают обучающуюся организацию. В [Арджирис, 2004; Гейтс, 2000] приводятся примеры компьютерной компании DЕС и компании по производству специализированных компьютеров для набора текстов Wang Laboratories, возглавлявшихся выдающимися специалистами и менеджерами, которые не смогли приспособиться к эре ПК, хотя, на первый взгляд, должны были быть готовы к этому более других. Нет никакой теории по организационной структуре обучающейся организации. Можно только согласиться с тем, что такая организация должна быть демократической [Гейтс, 2000], так как в противном случае не преодолеть различные «защитные» барьеры [Арджирис, 2004]. Гейтс приводит примеры двух своих собственных просчетов, допущенных в Мiсrоsоft в начале 1990-х гг. Первый случай касается преждевременного развития разработок по цифровому телевидению, а второй первоначальной недооценки Интернета. Оба просчета были достаточно быстро исправлены с минимальными потерями. Гейтс считает, что это удалось сделать благодаря плоской организационной структуре Мiсrоsоft, где любой сотрудник может обратиться к нему по электронной почте, а неофициальные разработки групп энтузиастов (как это было в случае Интернета) не наказываются, а поощряются.

Если попытаться охарактеризовать, чем являются реальные опционы с точки зрения теории знаний [Арджирис, 2004, гл. З], то они могут быть отнесены как к обучению с одинарной петлей (простая ситуация, когда модель не требует пересмотра), так и к обучению с двойной петлей (случай, когда модель должна быть содержательно пересмотрена). Примером обучения с одинарной петлей было улучшение МS Internet Ехрlоrеr под влиянием конкуренции с Netsсаре. Примером обучения с двойной петлей было предшествующее решение о включении поддержки Интернета во все продукты компании. Имеются примеры организаций, которые не способны освоить обучение с одинарной петлей, — это российские коммунальные службы, которые продолжают отопление при 20 градусах по Цельсию на улице и не включают отопление при холодах (не надо упоминать о технологических трудностях переключения — это и должно решаться в рамках организационного научения).

Важную роль в построении обучающей- ся организации играют богатство приемов управления, инновации и информационные технологии (ИТ). Страновые рейтинги конкурентоспособности в указанных направлениях публикуются Всемирным экономическим форумом. Большое значение также имеет качество образования, которое само является реальным опционом для повышения конкурентоспособности. Рейтинги по этому показателю представлены в ОЕСD (проект РISА). Россия занимает во всех упомянутых рейтингах невысокие позиции. Интересно, что первое место в этих рейтингах держит Финляндия. Кстати, в Финляндии реальные опционы целенаправленно внедряются в крупные проекты.

Трудности создания обучающейся организации в России усугубляются тем, что процесс адаптации систем управления, выработанных мировой практикой, начался здесь совсем недавно. Тем не менее другого пути нет: обучающуюся организацию надо строить.Для этого не существует никакого нормативного пути. Проведение административных мероприятий по подбору и повышению квалификации кадров само по себе не помогает ее построению. В российских условиях можно сформулировать следующие необходимые (но не достаточные!) признаки обучающейся организации;

Разработан мотивационный механизм максимизации ценности компании всеми работниками (это необязательно прямое или косвенное материальное вознаграждение; для интеллектуальных работников, например, чрезвычайно важные условия труда: хорошая библиотека, подписка на электронные информационные ресурсы в сети, наличие вспомогательного персонала и т. д.).

Разработан и внедрен кодекс поведения менеджмента; сотрудники должны верить и видеть, что не вся прибыль пропадает в карманах (оффшорах) предпринимателей и топ-менеджеров.

Все работники интеллектуального труда должны принимать участие в разработке стратегии организации.

В случае малого и среднего бизнеса заработки ведущих сотрудников-исполнителей не должны сильно отличаться от заработков топ-менеджеров (что легко определяется по марке машины и уровню жилья) — это показывает, что знания действительно ценятся.

Средние и крупные предприятия должны содержать перспективные подразделения, даже если они не приносят ни текущей прибыли, ни текущей ценности.

В сформулированных критериях нет ни слова о процессе обучения, программах переподготовки и т. п. Их и не может быть, так как формы построения обучающейся организации многообразны [Нонака, Такеучи, 2003]. Важно, что в организации закрепляются люди и подразделения, которые будут точками роста.

В качестве негативного российского примера можно упомянуть петербургскую больницу, из которой молодые хирурги ушли работать в похоронное бюро (привыкли к профессиональной работе с покойниками со студенческих лет). Обратного пути нет. Ушли хирурги не потому, что не было системы переподготовки. Можно также вспомнить ведущую петербургскую стоматологическую клинику, из которой уходят опытные врачи потому, что имеется бюрократически реализованная обязательная система переподготовки не самого высокого уровня (рента для хороших знакомых менеджеров), отнимающая время. Творческий врач — это реальный опцион для пациента, а следовательно, и вклад в ценность корпорации, если менеджмент и владельцы о ней заботятся.

1.4. Отношение к риску и неопределенности как источнику ценности

В [РО, п. 2.3] уже подробно обсуждался вопрос о том, что понимание риска, принятое до недавнего времени в основном в теории финансов, распространяется на общий и стратегический менеджмент. Увеличение неопределенности в развитии компании (до известных пределов) влечет увеличение ценности реальных опционов (в частности, ценности использования левериджа), а значит, и компании. Важная черта реальных опционов (в отличие от финансовых и товарных) состоит в том, что они являются рискованными инструментами, применение которых может привести (с положительной вероятностью) к потерям, хотя ожидаемый (средний) результат всегда предполагается положительным в силу рационального поведения инвестора [РО, п. 5.2].

Сейчас нам необходимо уточнить классификацию типов неопределенности, так как различные типы неопределенности требуют разного подхода к моделированию реальных опционов. Начнем с классификации, предложенной в [Соurtnеу, Кirkland, Viguerie, 1997]:

1-й уровень. Достаточно ясное будущее (единственный прогноз).

2-й уровень. Различные варианты будущего (несколько сценариев).

3-й уровень. Спектр различных вариантов будущего (имеется конечное количество ключевых переменных, но варианты сценариев, соответствующие этим переменным, образуют бесконечный континуум) 4-й уровень. Истинная неопределенность (ничего нельзя предсказать).

Авторы считают, что основные практические случаи укладываются в неопределенность второго и третьего уровней. Только во втором случае предлагается использовать реальные опционы для принятия решений. В третьем случае они предлагают набор инструментов, состоящий из исследования скрытого спроса, предсказания технологий, сценарного планирования. Авторы сводят дело по существу к морально устаревшей концепции стратегического планирования (обоснование этого положения см. в [Катькало, 2003]), причем в чрезвычайно неблагоприятных для ее реализации условиях.

В настоящей публикации предлагается другая классификация, которая позволит нам применить различные подходы к моделированию реальных опционов как универсальному аппарату учета будущей неопределенности. Прежде всего, если мы говорим о существенном событии в будущем, то оно никогда не бывает определенным. Вариант с конечным набором альтернатив будущего отличается от спектра альтернатив не сущностью, а модельными предположениями. Поэтому это не есть реальная неопределенность. Реальная неопределенность может быть хорошо представлена двумя вариантами, которые вводятся и обсуждаются во врезке «Классификация неопределенности».

2. Классификации реальных опционов

2.1. Еще раз о том, что же такое реальный опцион

В [РО] реальный опцион был определен как возможность принятия гибких решений. Так как большинство авторов, пишущих о реальных опционах, избегают точных дефиниций, то есть необходимость вернуться к уточнению этого понятия.

Классификация неопределенности

Н1. Будущее является неопределенным, но неопределенность носит регулярный характер. Это означает, что заданы некоторые регулярные вероятностные законы, описывающие будущее и вытекающие из общеэкономических закономерностей. Даже если параметры этих законов не меняются, мы имеем множество возможных реализаций. При моделировании иногда будет удобно рассмотреть конечное число реализаций (сценариев), а иногда — бесконечное (что также хорошо просчитываемо с помощью имитационного моделирования), И в том и в другом случае применим аппарат реальных опционов. Неопределенность указанного типа возникает, например, при добыче полезных ископаемых (прежде всего нефти) или, более общим образом, в так называемых сезонных отраслях 7(металлургия, сельское хозяйство и т. п.).

Н2. Будущее является неопределенным, но неопределенность не носит регулярный характер.

Это означает, что невозможно высказать какие-либо гипотезы по поводу вероятностных распределений ключевых параметров будущей ситуации. В этом случае надо создать обучающуюся организацию, которая будет использовать опционы в простейшей агрегированной постановке: дерево решений (как правило, на два периода — «завтра» и «послезавтра»). Интеллектуальная сложность анализа перейдет из области формального моделирования в придумывание опционов, которые дадут гибкость принятия решений. К этому виду неопределенности относится и случай, когда никакой прогноз вариантов невозможен.

Часто реальный опцион определяют как применение теории финансовых опционов к управлению реальными активами (материальными и нематериальными). Это совсем неверно и содержательно, и технически (см.: [РО, разделы З и 5]). Отметим также, что реальный опцион есть виртуальное понятие: он существует только в голове менеджера, и он, как правило, не может быть перепродан другому лицу или организации.

Часто говорят о реальном опционе как о добавке ценности, связанной со встроенной гибкостью, к негибкому проекту.

Таким образом, появляется формула ценности проекта или компании в условиях неопределенности:

Expanded Value = Expected NPV + Value of Real Options,              (1)

или, переходя к русским обозначениям,

Истинная ценность = Ожидаемое NPV + Ценность реальных опционов,   (1a)

т. е. истинная (расширенная) ценность получается как сумма ожидаемой чистой приведенной стоимости и ценности имеющихся у фирмы или встроенных в проект реальных опционов. Другими словами, истинная ценность складывается из ценности проекта (фирмы) без гибкости и ценности реальных опционов, дающих гибкость.

Имеется, по крайней мере, два возражения против универсальности такого подхода. Во-первых, что самое главное: в большинстве случаев фирма без реальных опционов и фирма с реальными опционами являются качественно различными объектами, отличающимися стилем управления и ресурсами. Поэтому в общем случае рассчитывать на возможность представления истинной ценности в виде суммы (1) не приходится неясно, что такое данная фирма без реальных опционов.

Во-вторых, не всегда корректно определение ожидаемогоNPV. Эта величина технически определяется из прогнозного (многовариантного) потока по формуле математического ожидания. В случае отдельного проекта и особенно в случае рассмотрения фирмы в целом в некоторые годы этот поток может быть с положительной вероятностью отрицательным. В случае фирмы это соответствует тем годам, когда свободный денежный поток принимает отрицательное значение — ситуация достаточно часто встречающаяся на практике. Тогда, проводя усреднение для вычисления математического ожидания, в том числе и по этим неблагоприятным годам, мы вообще игнорируем тот факт, что убытки должны быть кем-то профинансированы. При этом какова будет стоимость покрытия убытков, зависит от непредсказуемых возможностей при выборе способа финансирования в будущем. Если способ финансирования не будет найден, то история фирмы может принудительно закончиться в результате банкротства. Теория финансов, впрочем, предполагает, что источник финансирования будет найден, но стоимость финансирования определяется потоком платежей после рассматриваемого момента. Это можно учесть, но получающаяся формула уже не имеет ничего общего с математическим ожиданием. Описанной сложности не возникнет только в самых простых ситуациях, как правило, относящихся к отдельно рассматриваемому проекту крупной фирмы.

Проиллюстрируем идею невозможности разложить ценность в форме (1) примерами. В [РО, п. 3.2] приводится классический пример на оценивание свободного участка земли. С помощью опциона анализируется в целом гибкая ситуация — возможность отложить решение о строительстве на один год. Здесь имеется негибкая ситуация строить немедленно, но расчет ценности опциона невозможно построить на идее «добавки», так как в будущем году качественно меняется структура задачи и ее решение.

Задумаемся также, реалистично ли вычленить реальный опцион как «добавку» на примере аутсорсинга. Что именно является здесь негибким решением? Такого нет в принципе. Как было объяснено в [РО, п. 5.2], ресурсы фирмы, использующей аутсорсинг, отличны от фирмы без аутсорсинга. Таким образом, это «другая» фирма. Стоимость развития собственного инновационного ресурса, по существу, не прогнозируема, но она выражает стоимость уже другого реального опциона, т. е. опять присутствует гибкость. В [Nembhard,Sni,Aktan, 2003] приведена модель аутсорсинга как опциона. Но для того чтобы записать ее в виде опциона, авторам пришлось в дополнение к тому, что были отброшены все стратегические аспекты, которые мы обсуждали в [РО], сделать предположение о мгновенном переключении с аутсорсинга на собственное производство, если полные затраты на аутсорсинг выше переменных затрат на собственное производство, причем какие- либо трансакционные издержки переключения между собственным производством и аутсорсингом, а также лаг при переключении — отсутствуют. Такого рода «инженерное» моделирование не представляет никакой практической ценности.

Возвращаясь к общему случаю, заметим, что упрощение ситуации до состояния «ничего сделать нельзя», а затем прибавление к ней инструментов, говорящих, что «все-таки что-то сделать можно», удается провести только в специальных ситуациях (однако некоторые из них являются важными, см. п. 3.2 ниже).

2.2. Моделирование реальных опционов и их классификации

Таким образом, согласно авторской трактовке, изложенной уже в [РО], реальный опцион понимается как производный инструмент, ценность которого и управление которым зависят от некоторого базисного процесса, описывающего неопределенность. В [Dixit, Pindyck, 1994] показано, что в случае основных моделей базисной неопределенности все такие задачи сводятся к стохастическому линейному дифференциальному уравнению второго порядка с краевыми условиями, полученными из естественных предположений о поведении ценности опциона на границе и формального условия «гладкой склейки<>. Более того, в зтой книге собраны практически все случаи, когда соответствующая задача допускает аналитическое решение в виде формулы. При рассмотрении задачи на дереве, конечно, дифференциальных уравнений не потребуется. Это не означает, что анализ решения упростится, — в математике давно известно, что изучение непрерывного случая чаще технически проще, чем дискретного (даже конечного) случая. Подавляющее большинство работ по реальным опционам использует указанную технику из [Diхit, Рindyck, 1994] в комбинации с приближенными методами и методом Монте-Карло.

Таким образом, для того, чтобы модельно задать реальный опцион, надо проделать следующие шаги (кардинально отличающиеся от «четырехшаговой процедуры оценки реальных опционов» [Copeland,Antikarov, 2001]), представленные во врезке «Моделирование реальных опционов».

Указанный подход позволяет нам избежать моделирования сложных (составных) опционов, так как предложенная техника является универсальной и не нуждается в сведении к некоторым стандартным блокам. Случай радужных опционов также охватывается указанной методикой. Поэтому представляется, что из традиционных классификаций, приведенных в [РО, п. 4.1], содержательны только классификации по действию и по стороне баланса.

Изложенный подход показывает, что из всех рассмотренных классификаций наиболее важны классификации по типу неопределенности и возможности реплицирования.

Однако важнейшей классификацией является также классификация по отраслевому признаку, о которой мы должны задуматься уже на шаге 1. Именно, надо оценить тип рынка (совершенная конкуренция, олигополия, монополистическая конкуренция, монополия), а также явление сезонности. Многочисленные примеры и приложения рассмотрены в [Diхit, Рindyck, 1994]. Это поможет определить, какие величины, хотя бы в первом приближении, можно считать нестохастическими, так как в противном случае мы излишне усложним задачу.

Стоимость гибкости — это не только первоначальные инвестиции, но и затраты на поддержание гибкости. Отметим, что это не аналог вариационной маржи на опционной бирже, так как типичный управленческий опцион — это колл опцион, а обладание финансовым или товарным колл опционом не заключает в себе дальнейшего риска отрицательного результата, а поэтому и не облагается вариационной маржей.

При определении ценности опциона следует учитывать затраты на перебалансировку трекингового портфеля. Эти затраты можно разделить на традиционные трансакционные издержки, связанные с комиссионными и несовершенством информации, и на специальный вид трансакционных издержек, введенных в [Bukhvalova, 2003] как издержки мониторинга, связанные с дискретными моментами наблюдения за портфелем. Это издержки на наблюдение и принятие решений. Оба момента являются особенно важными в случае реальных опционов. Как показывает модельный анализ (в рамках мак- симизации полезности инвестора, имеющего экспоненциальную функцию полезности по Мертону), эти два вида издержек следует различать, так как их учет качественно различные последствия. Традиционные трансакционные издержки были рассмотрены в работе [Constantinides, 1986], где было показано, что издержки мало влияют на премию за ликвидность, но существенно изменяют формирование портфеля.

Моделирование реальных опционов

Шаг 1. Необходимо оценить тип неопределенности в соответствии с Н1 или Н2.

Шаг 2а. Если неопределенность имеет вид Н1, надо выбрать базисный случайный процесс. Прежде всего он должен быть выбран содержательно. Этот процесс или процессы должны отражать основную неопределенность задачи. Примером двух таких процессов могут быть цены на продукцию фирмы и цены на факторы производства. Важно отметить, что эти величины должны быть наблюдаемы на рынке независимо от фирмы. Примером неудачного выбора может оказаться объем реализации монополистического конкурента или прибыль фирмы. Такие параметры проще всего поддаются мониторингу, но они зависят как от рыночных условий, так и от того, насколько хорошо управляется фирма. Эти два влияния трудно разделить. Однако если на некотором периоде времени фирма показывала существенный рост, то указанные параметры могут играть роль эталонных. Таким образом, для нового продукта указанный выбор процессов неудачен, а для успешного в прошлом брэнда, желающего повторить свой успех, является вполне приемлемым. В случае стартапа нужен какой-то косвенный процесс, показывающий изменение возможного спроса. Например, фирма, обслуживающая иномарки, может отслеживать количество иномарок в регионе и количество лет их эксплуатации.

Шаг 2б. Если неопределенность имеет вид Н2, надо опять выбрать содержательно базисный процесс, в результате мониторинга которого принимаются решения, связанные с реальными опционами. Выбор процесса привязывается к спроектированным реальным опционам. В модельном плане этот процесс должен быть деревом, в котором вероятности исходов являются экспертными оценками.

Шаг 3а. Надо выбрать математическую модель базисных процессов и их взаимной зависимости. Возможности подробно обсуждены в [Dixit,Pindyck , 1994]. Все они предполагают бесконечную реплицируемость проекта (см.: [РО, п. 3.1]). Если реплицируемости нет или она ограничена, то целесообразно использовать технику моделирования на бинарных деревьях и/или имитационное моделирование. Здесь каждая задача будет требовать индивидуального подхода.

Шаг 36. Надо построить модель двоичного дерева, как правило, на два периода, так как более глубокое прогнозирование ходов или моделирование вариантов при этом типе неопределенности нереалистично.

Шаг 4а. Находим аналитическое или численное решение задачи. Надо содержательно осмыслить правила принятия решений в терминах базисного процесса, за которым осуществляется мониторинг.

Шаг 4б. Находим решение задачи (это в данном случае тривиально). Надо содержательно осмыслить правила принятия решений в терминах базисного процесса, за которым осуществляется мониторинг.

В [Вukharova, 2003] показано, что издержки мониторинга существенно влияют как на премию за ликвидность, так и на формирование портфеля. Согласно [Leland, 1985], трансакционные издержки по формированию портфеля влекут не единственность безарбитражной цены для опционов, что еще раз подчеркивает условность использования реальных опционов для нужд оценки ценности, а не принятия решений.

2.3. Классификация реальных опционов по области применения

Настоящий раздел посвящен классификации реальных опционов по областям применения, которую мы совмещаем с обзором литературы. Отметим, что количество академических публикаций по предмету составило уже около тысячи, а если учесть интернетовские публикации, то намного больше. В связи с этим приводимый список никак не может претендовать на полноту. Также практически полностью исключены ссылки на работы, помещенные в Интернете.

Прежде всего напомним, что применения вне экономики были кратко обсуждены в [РО, с. 15]. Исследования по теоретической экономике до сих пор постоянно игнорируют динамику, неопределенность и существование теории финансов. В связи с этим количество работ по чистой экономике, где используются реальные опционы, значительно меньше того количества случаев, где их необходимо было бы использовать. Приложения к теории макроэкономического роста см. в [Тurnovsky, 1995]; к государственному долгу и сеньоражу — [Смирнов, 1998; 2000]; к политике «налоговых каникул» — [Аркин, Сластников, Шевцова, 1999]; к теории фирмы и теории отраслевой организации — [Dixit,Pindyck 1994]. Моделированию изменения функции спроса и равновесия под влиянием существующих реальных опционов посвящена работа [Williams, 1993].

В табл.1 приведена классификация использования реальных опционов в менеджменте вместе с библиографией. Ограничимся кратким комментарием.

Теории стратегического менеджмента посвящены работы [Bowman,Нurrу, 1993; Bowman, Moskowitz, 2001; Kogut, 1991; Kogut, Kulatilaka, 1994; 2001; Kulatilaka, Регоtti, 1998].

В отличие от большинства работ, исследующих феномен обучающейся организации, в которых моделируется либо процесс целенаправленного изменения производственных возможностей фирмы, либо процесс приспособления к внешней среде, в работе [Веrnardо, Сhowdhry, 2002] моделируется процесс того, как фирма, реализуя инвестиционные проекты, изучает свои собственные ресурсы (понимаемые в смысле теории стратегического менеджмента). В качестве приложения выведены условия, на каких этапах жизненного цикла фирма будет стремиться к диверсификации или, наоборот, к концентрации на определенном направлении.

Работы [Моеl, Тufanо, 2002; Quigg, 1993] посвящены не моделированию реальных опционов, а косвенной эмпирической проверке того, что менеджеры интуитивно используют аппарат реальных опционов.

3. Опцион прекращенияи безвозвратные затраты

3.1. Теоретический анализ опциона прекращения

В [РО] уже была высказана мысль, что традиционное понимание опциона прекращения (option to abandon) не является интересным для приложений. В случае убытков остановка производства часто является однозначной реальностью, а не опционом. Высказанное автором мнение, что об опционе прекращения имеет смысл говорить, только если удается спасти основную часть затрат (такой опцион придется серьезно проектировать), может вызвать два теоретических возражения. Во-первых, сущность реальных опционов связана с необратимостью инвестиций (irreversibility), на чем настаивают многие авторы, включая [Dixit,Pindyck, 1994]. Во-вторых, прошлые затраты в микроэкономике, а за ней и в теории инвестиций, принято называть безвозвратными или утопленными (sunk costs).

Оба довода являются ошибочными. Прошлые затраты часто можно вернуть — целиком или частично. По существу, постоянные затраты на проект (fixed costs) можно разделить на по-настоящему безвозвратные (sunk cost) и те, которые можно вернуть. При этом возвращается тем большая часть, чем более ценный опцион прекращения удалось спроектировать. В [РО] в связи с этим был рассмотрен кейс IВМ—Нitachi. Учебное изложение материала о различии между постоянными и безвозвратными затратами см. в [Wang,Yang , 2001].

Опцион прекращения должен быть тесно связан с анализом опционов роста — при рассмотрении последних нельзя не учитывать возможность банкротства (которым часто заканчивается «рост»). Здесь надо отметить трудность адекватного моделирования банкротства — этот вопрос мы рассмотрим далее.

3.2. Процедуры, связанные с несостоятельностью, и применение реальных опционов к разработке законодательства

В этом пункте рассматривается новый класс приложений реальных опционов, связанный с построением моделей, способствующих проектированию законодательства. Кстати, это будет пример, когда сравниваются ситуации различной гибкости, в том числе — абсолютно негибкая. Многие законодательные акты предоставляют компаниям гибкость принятия решений, которую можно трактовать как реальный опцион. При этом моделирование дает возможность определить некоторые важные количественные параметры, регулируемые законом. Эта процедура во многом аналогична идеям экспериментальной экономики, за которую была присуждена Нобелевская премия по экономике 2002 г., но автор не встречал примеров использования в этом контексте аппарата реальных опционов в существующей литературе.

В соответствии с темой раздела остановимся на проблемах, связанных с несостоятельностью и банкротством. Банкротство является не только событием неприятным для собственников и менеджеров — банкротство также социально нежелательно, так как оно наносит урок многим другим стейкхолдерам (кредиторам, потребителям, работникам и т. д.). В связи с этим в законодательстве любой страны заложены многие правила, затрудняющие процесс банкротства. Одна часть правил служит заслоном от недобросовестного банкротства, а другая призвана помогать компаниям, временно попавшим в трудную ситуацию. Примером правила второго типа является глава 11 (Сhapter 11) американского закона о банкротстве. Согласно этому закону, испытывающая сложности с платежами компания имеет право обратиться в SЕС с просьбой о защите от кредиторов на срок один год (и более) в том случае, если ценность активов превосходит стоимость пассивов. Предполагается, что в течение этого периода компания подвергается реструктуризации с продажей части ликвидных активов для погашения долга. После успешной реструктуризации компания становится меньше, но при этом лишена «плохих долгов». Наличие в законодательстве США главы 11 дает фирмам реальный опцион продолжения. Результат является неопределенным по двум причинам: неясно, соответствует ли оценка активов рыночной ситуации, и невозможно предсказать итоги работы кризисного предприятия в течение этого года (не исключено, что причины кризиса кроются глубоко в стратегии фирмы).

Можно задать теоретический вопрос, имеющий практическую важность для законотворчества: как влияет наличие подобного закона на частоту банкротств и потери кредиторов?

другим законодательным актом, связанным с убытками компаний, является регулирование переноса налоговой льготы по инвестиционному долгу и амортизации. Это правило налогового учета в различной форме существует в большинстве стран. Разъясним суть правила в случае амортизации.8 Если   — ставка налога на прибыль, А годовая сумма амортизационных отчислений, то величина (1 — ) А составляет налоговую льготу. Если прибыль превышает эту величину, то налоговая льгота остается у предприятия. Если же прибыль недостаточна или вообще отрицательна, то налоговой льготой в данном году не воспользоваться. В связи с этим закон может предусматривать правило переноса использования льготы на m лет назад и n лет вперед. В первом случае льгота будет выплачена государством (в пределах прибылей за соответствующие годы), а во втором — льготой можно будет воспользоваться в будущем, как только прибыль превысит текущую льготу. Ясно, что по сравнению с негибкой ситуацией, когда льгота просто пропадает, если ее нельзя использовать в данном году, такое правило переноса представляет собой реальный опцион, встроенный законодателем в процесс налогообложения. Действие закона, однако, зависит от того, возможен ли перенос в обе стороны или только вперед, а также чему равны m и n. При этом очевидно, что увеличение m и n создает ценность для фирмы. Правила и параметры меняются от страны к стране. Кроме того, они несколько раз менялись за последние годы. Так, в конце 1990-х гг. в США 9 был возможен перенос и вперед и назад, причем m = З и n= 15, а в Канаде m=З и n=7. В то время условия в странах Европы были более жесткими. Однако сейчас во Франции и Великобритании допускается бесконечное перенесение вперед, а в Германии имеются существенные количественные ограничения. В России возможен перенос только вперед, причем n = 5, и имеются некоторые ограничения. Как при этом меняется ценность опциона? Как влияет изменение параметров на частоту банкротств (в предположении неизменности функционирования предприятий)? Каково влияние на величину инвестиций?

для ответа на последний вопрос чисто эконометрические исследования различий хотя и проводились, но они мало интересны, так как относились к разным странам с различной эффективностью бизнеса и, возможно, с разной культурной традицией по отношению к банкротству.

Теория реальных опционов и имитационное моделирование (simulation) дают подход к ответу на все три вопроса. Трудность в значительной мере заключается в сложности моделирования процесса принятия решения о банкротстве самой компанией. Известно, что не только в России имеются компании, которые в течение многих лет подряд имели убытки, что не мешает им не только существовать, но и иметь изрядную капитализацию. Поэтому эвристический (экзогенный) принцип, предполагающий, что через некоторое фиксированное число лет убыточное предприятие, или предприятие, не приносящее ожидаемой отдачи на капитал, закроется, является упрощенным. В рамках теории опционов эндогенная модель банкротства была впервые предложена в [Leland, Toft, 1996]. Эта работа является продолжением [Leland, 1994], где рассматривается также влияние правила переноса, о котором говорилось выше. В настоящее время автором данной статьи произведены только пробные расчеты по модели правила переноса с упрощенным моделированием банкротства и деревом альтернатив для выручки, представленным в соответствии с упрощенной моделью ценообразования на опционы Кокса—Росса—Рубинштейна [Сох, Rоss, Rubinstein, 1979], и в предположении линейности функции затрат. Технические детали и результаты станут предметом другой публикации.

Процедура применения главы 11 законодательства США о банкротстве в корпорациях Enron и WorldCom

Когда в начале декабря 2001 г. корпорация Enron обратилась к главе 11 Закона о банкротстве, то, согласно последнему балансовому отчету, ее активы составляли порядка 62 млрд долл., тогда как пассивы — 50 млрд долл. Однако скоро выяснилось, что деятельность аудитора фирмы Arthur Andersen была недобросовестной по многим направлениям, включая завышение оценки активов (в частности, материальной их части — трубопроводов). Кроме того, кризис рынка электроснабжения в США продолжался, что не позволило провести реструктуризацию компании. Однако данный случай не компрометирует саму идею, которая часто дает спасение компаниям и полноценное вознаграждение кредиторам.

Например, последовавший вскоре за событиями в Enron скандал во второй по размеру в США телекоммуникационной (междугородняя телефонная связь) корпорацииWorldCom, уличенной в крупнейшем бухгалтерском подлоге за всю американскую историю, так же как и у Еnron, закончился обращением к главе 11 (21 июля 2002 г.). Однако эта история имеет более счастливый конец: 19 апреля 2004 г. компания закончила реструктуризацию и объявила о прекращении процедур, предусмотренных главой 11, выйдя на фондовый рынок под новым именем МСI Inс. В чем причина различия в этих двух историях? Во-первых, имеет значение отраслевая принадлежность. Электроэнергетика в США переживала и переживает кризис. Например, вскоре после Еnron в середине 2002 г. была на грани банкротства и Dynegу — основной конкурент Еnron. Телекоммуникации, наоборот, находятся на подъеме. Кроме того, кризисным управляющим в WorldComстал М. Капеллас (Michael D. Capellas) — знаменитый президент компании Соmpaq, который после поглощения Соmpaq корпорацией Hewlett-Packard не сумел выдержать психологического бремени быть только вторым человеком в корпорации (он стал Председателем Совета директоров объединенной компании, но быстро ушел в отставку). Ему удалось снизить долговые обязательства WorldCom с 41 до б млрд долл. для этого пришлось продать часть активов: выручка сократилась с 32 млрд долл. в 2002 г. до 21—22 млрд долл. в 2003 г. Капеллас сформулировал новую миссию компании: предоставление корпоративным клиентам единой сети для местных и междугородних звонков и выхода в Интернет.

4. Брэнд как реальный опцион

4.1. Что такое брэнд?

После введения д. Лакером [Аа1ег, 1991] понятия активов торговой марки интенсифицировались академические исследования и консалтинговая деятельность по управлению брэндами, их рейтингованию и определению их ценности. Русскоязычному читателю доступны более поздние книги самого Аакера [Лакер, 2003; Лакер, Йохимштайлер, 2003] и популярное введение в проблему [Дэвис, 2001]. Концептуальная позиция, по-видимому, лучше всего представлена «десяткой показателей» капитала брэнда [Аакер, 2003, с. 380]. Стержневым из этих показателей является «лояльность к брэнду», оценивать которую предлагают прежде всего с помощью выявления эластичности спроса по цене, полученной в результате опросов. При этом часто более корректный показатель эластичности заменяют на ценовую премию брэнда, которая сразу предполагает, что товар, имеющий брэнд, продается по более высокой цене, чем у конкурентов или компаний, продающих базовый/обычный (generic) товар. Ценность брэнда воспринимается в координатах «качество—ценность», измеряемых в ходе опросов.

Представляется, что десятка показателей Аакера скорее характеризует возможные следствия того, что мы имеем дело с брэндом, чем сущностные свойства брэнда, особенно брэнда как актива. Из указанных показателей необходимым признаком брэнда как продукта на рынке монополистической конкуренции является только его узнаваемость (осведомленность покупателей о брэнде). Систематическая критика показателей Аакера не является целью данной статьи. Отметим только некоторые существенные моменты, касающиеся первой основной группы признаков. Ценовая премия («единственный и лучший из имеющихся индикаторов марочного капитала)) в соответствии с [Ланер, 2003, с. 382]) как показатель лояльности к брэнду не выдерживает никакой критики, так как на рынке имеется сколько угодно великих брэндов, имеющих как положительную, так и отрицательную ценовую премию к обыкновенным товарам того же вида (а не только к отдельным конкурентам, сравнение с которыми предлагает проводить Аакер). достаточно отметить, что отрицательную ценовую премию имеет такой лидер рынка ПК, как Dell.

По поводу критерия удовлетворенности потребителя/лояльности к брэнду можно указать на то, как быстро улетучивается лояльность при малейшем качественном отставании. Примерами являются неудачи (резкое снижение продаж, убытки) столь сильных брэндов, как Мotorolа на рынке мобильной телефонии середины 1990-х, Sоnу на рынке аудио- и видеоэлектроники в последние годы, IВМ на рынке ПК в начале 1990-х. Надо отметить, что опросы (с построением сложных или агрегированных индикаторов на их базе, см.:

[Аакер, 2003, с. 379—401]) вообще не могут рассматриваться в качестве надежного инструментария прогнозирования спроса. действительно, в приведенных выше примерах проведенные ранее опросы показывали высокую лояльность, но при испытании делом (при снижении качества по сравнению с конкурентами) потребитель не стал проявлять лояльность. Может быть, правильным вопросом для определения того вида лояльности, о котором говорит Лакер, был бы такой: «Останетесь ли Вы потребителем данной продукции, если она будет очевидным образом хуже по критерию цена/качество, чем продукция конкурентов?»Так как брэнд, безусловно, имеет и эмоциональную компоненту, то такая ситуация теоретически возможна и встречается у части потребителей. Таким образом, лояльность в терминах цены — ложный признак брэнда.

Критерий узнаваемости сам по себе играет все меньшую роль. Президент аналитической компании Аmerica’s Rasearch Group Б. Бимер (Britt Beemer) в интервью газете New York Times(December 10, 2003), анализируя новые тенденции в связи с очередным сезоном рождественских покупок, отмечает: «Покупатели мало интересовались тем, кто производитель товара. Они просто хотели этот товар». Согласно результатам опросов, проведенных той же компанией, за три последние года количество покупателей, считающих, что брэнд «чрезвычайно важен», упало с 48 до 32%.

Представляется, что понятие брэнда или, по крайней мере, брэнда как актива хорошо описывается в терминах теории реальных опционов. Уже общепринято понимание того, что брэнд является реальным опционом производителя. Независимо от наличия ценовой премии брэндированный товар предполагает более высокие прибыли по сравнению с обычным товаром. Таким образом, колл опцион производителя заключается в выборе, производить товар, имеющий брэнд, или обычный товар (в дальнейшем опционные возможности проявляются в технике поддержания и развития брэнда; см., напр.: [Dias, Ryals, 2002]). Затраты на продвижение брэнда относятся к числу безвозвратных. Если брэнд создан на продажу, то создатель брэнда окупает эти затраты и получает прибыль, но сами затраты на раскрутку брэнда переносятся на нового собственника. Подчеркнем, что это случай опциона с возможностью отрицательного результата, если продвигаемый товар не найдет признания потребителя.

Однако товар может стать брэндом, только если он будет признан таковым потребителем. У потребителя всегда есть возможность выбора между товаром, имеющим брэнд, и обычным товаром. Этот колл опцион потребителя определяет спрос. Таким образом, идентификация и дифференциация от конкурентов выступают лишь как пререквизит для ценностного выбора потребителя. Выбор в пользу брэнда будет сделан, только если брэнд предлагает ожидаемую ценность (и здесь ожидания могут не реализоваться).

Поясним более подробно два типа опционов, возникающих у потребителя в связи с брэндом. Начнем с того, что не является реальным опционом. Сам по себе выбор «этот брэнд, или другой брэнд, или обычный товар» не является опционом, хотя здесь и возникает неопределенность, связанная с тем, оправдается ли ожидаемое качество. Если мы купили мыло Сamау, то мы его используем и осуществим новый выбор при покупке следующего куска мыла. Сам факт выбора не связан в этом случае с трансакционными издержками (теоретически это обуславливает невысокую лояльность, хотя имеется также эмоциональная составляющая, которая важна для выбора; например, Наrlеу-Davidson или Соса-Соlа). Здесь нет реального опциона (или можно сказать, что он существует в таком вырожденном виде, что не полезен для анализа).

Первый тип опциона потребителя дает пример, связанный с микропроцессорами для ПК. В 1980-х гг. существовало лишь два варианта выбора: процессор фирмы Intel(тогда IВМ-совместимый ПК) или процессор фирмы Моtоrolа (тогда ПК Масintosh). Процессор является продуктом, используемым сначала производителем материнских плат, затем сборщиком ПК и, наконец, конечным пользователем. Переход с одного вида процессора на другой означал абсолютно различную технологию для производителей материнских плат и ПК. Но и для конечного пользователя разница была велика, как в навыках, таки в полной несовместимости ПО, являющимся крупным вложением, связанным с ПК. Таким образом, на всех ступенях имелись высокие трансакционные (безвозвратные) издержки. В этом случае возникает опцион типа переключения. Сейчас для IВМ-совместимых компьютеров конкурируют процессоры фирм Intel и АМD. В этой ситуации трансакционные издержки переключения имеются у производителей материнских плат, но пользовательские качества ПК не зависят от брэнда процессора.

Вера в надежность товара не создает реального опциона (у потребителя нет возможности активного действия). Наличие вторичного рынка брэндированного товара (в отличие от небрэндированного) дает потребителю опцион прекращения. Такого рода примеры можно множить.

Второй тип опциона потребителя возникает в более интересных для нас (и для разработчиков брэндов) случаях, когда товар имеет встроенные опционы, связанные с возможностями его использования потребителем в различных ситуациях. Например, знаменитый набор отверток Philips Screwdriver содержит большое количество насадок, многие из которых никогда в жизни не понадобятся, но набор создает у потребителя уверенность, что у него есть решение на все случаи жизни. Это опцион потребителя, так как он может предпринять активное действие, если понадобится смена насадок. Такого рода опционы встроены во многие виды бытовой техники.

Так как каждый брэнд проектируется на определенный ценовой сегмент потребителей, то основным видом неопределенности, ассоциированным с рассмотренными реальными опционами потребителя, является не цена, а качество, понимаемое в самом широком смысле. Это качество часто допускает эталонную оценку (бенчмаркинг). Н.пример, в случае процессоров имеются стандартные программы, оценивающие производительность ПК при использовании различного ПО.

Таким образом, в широком круге случаев товар или услуга является брэндом, если это реальный опцион потребителя. Чем больше ценность этого опциона для потребителя, тем выше лояльность потребителя к данному брэнду. Этот опцион должен быть заметен потребителю в течение срока пользования товаром. Потребитель должен видеть, как фирма совершенствует этот опцион по ходу развития жизненного цикла продукта. Потребитель должен верить, что фирма будет и дальше работать над этим опционом. На выявление этого и должны быть направлены вопросы при анкетировании. Важно подчеркнуть, что именно опцион потребителя первичен (не в каузальном, а в ценностном смысле) — опцион производителя является опционом на опцион потребителя.

Можно задаться вопросом: что практически дает предложенное теоретическое понимание? Развернутый ответ потребовал бы нескольких публикаций. Здесь мы ограничимся двумя частными аспектами.

Так как лояльность потребителя определяется ценностью товара для потребителя, то к методике измерения капитала брэнда [Аакер, 2003, с. 397—398] надо добавить соответствующие вопросы. Например: «(Является ли набор разнообразных возможностей, предоставляемых товаром, решающим для Вашего выбора? Переключитесь ли Вы на другой брэнд, если он будет предлагать больший выбор?», «(Является ли продолжительность гарантийного срока, скорость обслуживания при ремонте, обещание замены и т. п. решающим для вашего выбора? Переключитесь ли Вы на другой брэнд, если он будет предлагать лучшие соответствующие параметры?» Естественно, что в реальном опроснике должны быть отражены специфические достоинства товаров.

другим важным моментом является решение о вертикальном расширении брэнда. Рассмотрим, например, расширение брэнда вниз, при котором возможны две опасности: снижение репутации исходного брэнда и миграция части потребителей к более дешевому брэнду. Ограничимся здесь описанием только второй возможности. Для анализа подходит простейшая опционная модель (опцион производителя). Модель приведена на врезке «Расширение брэнда вниз».

4.2. Ценность брэнда

В [Fernandez, 2002] приведен ретроспективный обзор модельных расчетов стоимости брэндов компаний Соса-Соlа иKellogg’s, опубликованных профессором Школы бизнеса им. Стерна Нью-Йоркского университета А. Дамодараном (А.Damodaran) в учебниках по оцениванию, вышедших в первой половине 1990-х гг. Надо отдать должное профессору Дамодарану, практически единственному профессору финансов из числа работающих в ведущих школах бизнеса США, пытающемуся перекинуть мостик от финансовой теории к проблемам финансового менеджмента в фирме. Однако попытки свести финансовую оценку к арифметике, как мы увидим ниже, явно не увенчались успехом.

Подход Дамодарана предполагает, что ценность брэнда можно вычислить как добавку к ценности, генерируемой производством того же продукта, если бы он не был брэндом [Дамодаран, 2004, с. 739— 741]. Для этого требуется спрогнозировать скорость роста на период быстрого роста брэнда и скорость стационарного роста в последующем периоде. При этом Дамодаран предполагает, что ценность брэнда обуславливается более высокой ценой брэндированного товара, что не всегда имеет место. Отметим, что в рассуждениях Дамодарана не содержится идей об опционах, так как он вообще игнорировал неопределенность.

К критике подхода Дамодарана, приведенной в монографии [Fernandez, 2002], добавим, что сама идея об оценке стоимости брэнда как добавки к стоимости аналогичной компании, производящей обычный продукт, несостоятельна.

Расширение брэнда вниз

Предположим, что фирма имеет успешно растущий брэнд в среднем ценовом сегменте, характеризующийся фиксированной ценой Р и величиной g (>1) роста продаж в год. Обозначим через Q объем продаж в натуральном выражении, С — переменные затраты на единицу продукции и F — постоянные затраты, включая продвижение брэнда. Будем считать для простоты, что функционирование имеющегося брэнда не содержит неопределенности. Теперь рассмотрим новый брэнд, являющийся расширением исходного брэнда вниз и характеризующийся аналогичными параметрами  (считаем, что все величины с индексом 1 меньше соответствующих величин без индекса). Имеется экспертная оценка  нового спроса на этот брэнд. Затраты на запуск нового брэнда, включая стартовую рекламу, составляют I. для расчетов понадобится также ставка дисконтирования r.

Будем считать, что вся неопределенность связана с миграцией потребителей вниз (та же схема применима и если мы добавим неопределенность по новому спросу, но моделирование по двум параметрам создаст больше технических трудностей). Эту миграцию будем описывать с помощью параметра а, указывающего долю потребителей, мигрировавших от старого брэнда к новому. Очевидно, О < а < 1, причем имеет место скошенность к нулю. Таким образом, выручка старого брэнда составит  (1 — а), а нового —  . В простейшем случае можно предположить два сценария для а. Узнать величину а мы сможем только в случае создания нового брэнда, поэтому опцион ожидания не может быть использован. Однако можно использовать опцион прекращения проекта нового брэнда через год, если миграция слишком велика. Затраты на продвижение в основном станут безвозвратными, хотя охват нового сегмента рынка может привести к тому, что часть новых потребителей мигрирует теперь к более дорогому брэнду. При разумной технологии (опять реальный опцион) мощности нового брэнда должны допускать переключение на основной брэнд.

Б результате мы получили классическую схему с деревом глубины два: текущий момент — 0, через год (момент 1) мы имеем два брэнда, наблюдаем миграцию (два варианта) и принимаем решение о продолжении или прекращении нового брэнда. В следующем периоде (момент 2) мы выходим на стационарную ситуацию (один брэнд или два брэнда). Описанная схема легко просчитывается на уровне арифметики.

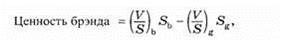
Компания, производящая небрэндированный продукт, сталкивается с другим спросом, а ее функция предложения иная, чем в случае брэнда, так как для при построении брэнда требуются, как правило, отличные технологические и дистрибьютерские решения, дополнительные вложения в интеллектуальный капитал, продвижение и рекламу, что меняет производственную функцию и функцию затрат. Следовательно, оптимальный объем производства небрэндированного продукта будет отличаться от объема производства продукта, являющегося брэндом (в этом случае фирма действует как монопольный конкурент, причем это уже «другая фирма», так как изменяются производственная функция и функция затрат). Значит, не только неверна формула, приведенная на с. 739 в [Дамодаран, 2004), но и требует иной интерпретации правильная формула для вычисления ценности брэнда в [Fernandez, 2002, формула (23.10)1:

где V/S мультипликатор «ценность/объем продаж» фирмы; S — объем продаж в денежном выражении; индекс b (соответственно, ) — означает брэндированный (соответственно, небрэндированный) товар.

Методика вычисления мультипликатора дана в [Дамодаран, 2004;Fernandez, 2002]: V = рыночная ценность собственного капитала + рыночная ценность долга — денежные средства. При вычислении мультипликатора Дамодаран использует вариант формулы Гордона постоянного роста. При определении указанного отношения в двух рассматриваемых случаях, в частности, неверно предполагать, что требуемая доходность (а тогда и WАСС — взвешенная средняя стоимость капитала) и доля свободного денежного потока, идущая на выплату дивидендов, совпадают для случаев производства брэндированного и небрэндированного продуктов. Кроме того, фондовые опционы менеджеров и работников, как правило, составляющие большие суммы в случае брэнда, должны быть отнесены на затраты 10, а тогда высокие темпы роста чистой прибыли в этом случае должны быть соответствующим образом понижены (ничто из этого не учтено в табл. 23.3 из [Fernandez, 2002], воспроизводящей ранние расчеты Дамодарана, и в иллюстрации 20.8 в [Дамодаран, 2004], представляющей последний апгрейд авторской оценки брэнда Соса-Соlа). В[Fernandez, 2002] указано, что сделанные Дамодараном прогнозы роста не оправдались на периоде с 1994—2000 гг. ни для одной из рассматриваемых компаний (Дамодаран рассматривал 5-летний период быстрого роста, укладывающийся в этот срок)11. Таким образом, зачастую некритически повторяющиеся в книгах по маркетингу оценки брэнда Соса-Соlа на уровне до 100 млрд долл., что якобы составляет от70 до 90% стоимости компании, не имеют под собой реального основания.

Отметим, что оценивание брэнда как отдельной составляющей ценности компании является чисто умозрительной задачей. Для акционеров, потенциальных покупателей и кредиторов важно получить адекватную оценку компании, имеющей брэнды, в целом. При этом мы уходим также от другой проблемы, возникающей при подходе Дамодарана, — от многобрэндовости многих компаний, которая делает расчеты по вышеприведенной формуле нереалистичными и неадекватными (последнее мы объясним ниже прирассмотрении портфелей брэндов).

Если мы рассматриваем брэнд как реальный опцион, то этот опцион имеет свою ценность. Однако не надо забывать, что эта ценность постоянно меняется, поэтому с ней ассоциирован риск, причем напоминаем, что в отличие от финансовых опционов есть положительная вероятность потерь (катастрофическая неудача, кратковременный спад, постепенная деградация).

На наш взгляд, практическая неудача с опубликованными Дамодараном оценками заключается в том, что он использовал формулу Гордона с постоянным ростом, неадекватность которой каким-либо реальным задачам неоднократно отмечалась в литературе. Однако в принципе подход представляется правильным. Только вместо формулы Гордона надо использовать реальные опционы и методы имитационного моделирования, основанные на реальной статистике брэндированного и небрэндированного продуктов, а также учесть замечания по уточненной интерпретации формулы ценности брэнда, сделанные выше.

4.3. Портфель брэндов

Если мы рассматриваем возможности формирования портфеля из двух рискованных ценных бумаг, причем эти бумаги имеют отрицательную корреляцию (рост доходности одной из них означает в среднем падение доходности другой), то такого рода портфель будет хеджирующим, так как он позволяет значительно снизить риск портфеля при ожидаемой доходности, не меньшей, чем минимальная доходность рассматриваемых активов. Это осторожная, но вполне разумная стратегия. В случае портфеля компании, состоящего из двух ее брэндов, положение может существенным образом отличаться от рассмотренной ситуации. Если брэнды не конкурируют друг с другом, то эффект отрицательной корреляции даст то же самое, что и на рынке ценных бумаг.

Интересно, что такой же эффект возникает при классическом подходе к брэндингу, который использовался, например, Р&G и Generals Motors, когда несколько аналогичных брэндов (мыла или автомобилей), рассчитанных на сходный потребительский рынок, конкурировали друг с другом (см.: [Аакер, Иохимштайлер, 2003, с. 20]). Наличие нескольких аналогичных брэндов (дома брэндов) хеджирует позицию компании на данном рынке. Ослабление одного брэнда за счет другого не будет ухудшать эту позицию. Более того, имеется возможность гибкого перераспределения ресурсов (синергии) в силу общности значительной части компетенций и технологии, а также увеличения общего спроса за счет разницы во вкусах. Формирование такого портфеля брэндов является реальным колл опционом компании. Формальное объяснение в различии поведения портфеля, состоящего из финансовых активов, и портфеля, состоящего из брэндов, заключается в том, что финансовый рынок предполагается абсолютно ликвидным, тогда как для товарного рынка это не так.

Однако зачастую брэнды конкурируют друг с другом, хотя на первый взгляд это и не видно. Такая ситуация разрушает ценность портфеля брэндов.

Известно, что японская фирма Зону, когда-то лидер и инноватор на рынке аудио- и видеотехники, сейчас переживает глубокий кризис именно в этом направлении своей деятельности. Сама фирма Sоnу не дает в своих годовых отчетах серьезного отраслевого анализа. Типичные объяснения сводятся к насыщенности данного потребительского рынка и жесткой конкуренции со стороны южнокорейских гигантов LG и Samsung вкупе с огромным количеством средних и малых фирм из стран Юго-Босточной Азии, которые производят хорошего класса электронику и не боятся пробовать новые решения. Это, однако, не снимает вопрос, почему LG и Samsung растут, тогда как Sony падает. Ниже предлагается объяснение, основанное на рассмотрении портфеля основных направлений деятельности Sony(агрегируя, считаем каждое направление одним брэндом).

В ходе своего развития Sonу, компания, чьи ключевые компетенции видели в миниатюризации, и знаменитая выведением на рынок линейки портативных магнитофонов Walkman(начиная с детского Му First Sony), естественным образом обратила свои взоры на звукозаписывающие компании и киностудии. В результате Sonу стала крупнейшим обладателем прав на популярную музыку и собственником значительной части Голливуда (Columbia Pictures Gruop). Казалось, что речь идет о целесообразной вертикальной интеграции в области аудио и видео, которая органично связана с бизнесом по производству игровых приставок и компьютеров класса ноутбук. Всюду Sonу назначала высокие цены, используя силу брэнда. Во врезке «Портфель брэндов Sony» проанализирован результат данной стратегии, который стал одной из причин спада.

Портфель брэндов Sonу

Рассмотрим три направления деятельности Зону как агрегированные брэнды: электроника, музыка, кинопродукция. Согласно годовым отчетам компанииSony, электроника по-прежнему остается крупнейшим брэндом, превосходящим по выручке в 4—5 раз суммарную выручку двух других брэндов. Отметим, что до 1998—1999 гг. все три направления быстро увеличивали объемы. После 2001 г. доходы от электроники существенно упали, а в 2002 г. прибыль по этому направлению оказалась даже отрицательной. Совокупное производство музыки и кинопродукции продолжало расти вместе с ростом прибылей.

Представляется, что в значительной мере разнонаправленный эффект от различных направлений связан с маркетинговой политикой компании Sony, нацеленной на извлечение максимального эффекта от прав на музыку и видеопродукцию. Этот эффект проявился именно в указанные годы в связи с появлением стандарта видеодисков с повышенным качеством видео и аудио, которые называются DVD. Технической особенностью стандарта, поддерживаемой через институт обязательного лицензирования проигрывающей аппаратуры в DVD Сору Control Association, явилось то, что каждый DVD-диск соответствует определенной географической зоне, причем он проигрывается только на DVD-плеере, поддерживающем эту зону. Идея этого правила заключается в максимальном извлечении средств сначала от проката кинопродукции, а затем от продажи DVD для домашнего просмотра. При этом потребителям не предоставляется никакой гибкости относительно зон, что выглядит странно во времена распространяющейся глобализации. Вскоре все основные производители, кроме японских фирм, стали выпускать многозонные проигрыватели для продажи во всех странах, кроме США и Японии. Кроме того, и в последнем случае возможно превращение проигрывателя в многозонный с помощью простого проигрывания специального компакт-диска, переписывающего память контролирующего устройства. В случае же японских фирм необходима сложная и дорогостоящая модификация «железа».

В этих условиях брэнд кинопродукции пришел у Sonу в конфликт с брэндом электроники. Потребитель получал от других производителей гибкое многозонное решение, тогда как японские фирмы продолжали использовать негибкость в соответствии с обсуждавшимся в [РО] принципом: реальный опцион у потребителя есть опцион в пассивах компании, чего не надо допускать. Но здесь мы приходим к противоречию с формулировкой идеологии брэнда как опциона у потребителя. То, что выигрывается на рынке кинопродукции за счет негибкости для потребителя, стократно проигрывается на рынке электроники, где потребитель уходит к конкуренту. Таким образом, один брэнд в портфеле Зону не только наносит вред другому, но и создает преимущества для конкурентов. Это не единичный пример. Sonу отстала от Аррle Computer  с его популярным проигрывателем iРоd (существующим с 2001 г.) в области продажи музыки в Интернете для проигрывания на специальном устройстве, рассмотрев для себя эту возможность лишь в начале 2004

Причина та же: жалко терять сверхприбыли от продажи аудиодисков.

5. Информационные технологии как опцион выживания

Бум информационных технологий (ИТ),охвативший реинжиниринг внутренних компаний, а также внешние В2В и В2С отношения, потребовали астрономических капиталовложений.В [Фаррелл, Тервиллигер, Вебб, 2003] указано, что в период 1995—2000 гг. американские компании потратили на ИТ более1,2 трлн долл. Чрезвычайно трудно сопоставить этим затратам реальные доходы.

Имеются два различных направления использования ИТ в организации. Во-первых, ИТ используются для информационной поддержки и принятия решений, касающихся внутренних бизнес-процессов; во-вторых-для предоставления услуг поставщикам и потребителям продукции компании, В принципе, оба направления должны создавать ценность. Парадокс заключается в том, что ценность создается в редких случаях когда ИТ дают (временные) уникальные преимущества. В большинстве случаев этого не происходит, а тогда нет и дополнительной ценности. Обычные критерии принятия решений о капиталовложениях (неважно, с опционами или нет) не подходят в случае ИТ, в силу того, что, как правило, невозможно выделить поток доходов, связанный непосредственно с внедрением ИТ.

В ряде работ (см., напр: [Кumar, 1996;Taudes, 1998]) построены интересные модели реальных опционов для ИТ. Так как ИТ представляют собой последовательность инвестиций с неопределенным исходом (сначала строим компьютерную сеть, потом ее эксплуатируем и т. п.), то авторы применяют интересную версию формулы Блэка—Шоулза, где один рисковый актив обменивается на другой рисковый актив (последовательные проекты), принадлежащую [Маrgrabe, 1978]. Однако методика оценки результата представляется более чем спорной (все абнормальные прибыли после внедрения ИТ относятся на счет ИТ, хотя могут быть разнообразные другие улучшения управления, вызывающие этот эффект). За исключением явных случаев внедрения ИТ в производственные технологии, как в чрезвычайно успешной системе сопровождения товаров в Wal-Mart, не стоит пытаться выявить отдельный позитивный эффект. На самом деле, скорее всего, его просто нет в силу публичности ИТ и имитируемости любых решений. И все же вряд ли возможна сегодня компания или даже магазин без компьютера.

Можно сказать, что ИТ представляют собой опцион выживания (новый тип опционов, укладывающийся в классификацию по действию),12 так как без ИТ ни одна современная компания существовать не может. Этот опцион не приносит ценности, но альтернативой является уход с рынка или банкротство. В связи с этим затраты на ИТ должны сравнивать- ся с ценностью компании за вычетом ее ликвидационной стоимости (без ИТ мы ее теряем) и требуемой отдачей на капитал. Это объясняет в глобальном смысле оправданность тех высоких расходов на ИТ в целом, с упоминания о которых был начат этот раздел.

Проиллюстрируем сказанное. Например, в случае предоставления услуг в Интернете традиционным коммерческим банком (iBanking) мы имеем в основном эффект от повышения качества предлагаемых услуг. Так как в развитых странах все банки предоставляют стандартный набор таких услуг (который легко имитируем), то сравнительного преимущества ни у кого возникнуть не может. В случае чистого Интернет-банкинга (iBanking), когда банк не имеет отделений, чем достигается значительная экономия на альтернативной модели организации бизнес-процессов, проявляется эффект снижения издержек, что позволяет таким банкам вести агрессивную ценовую политику (при этом такие банки в США, при выполнении соответствующих условий, также подпадают под закон о защите банковских депозитов ФРС).

Имеется целый ряд интересных реальных опционов, связанных с апгрейдами системы и переходом на новые версии продукта. При выборе поставщика ПО и/или КИС приходится находить компромисс между ценой продукта и укорененностью поставщика на рынке, которая рассматривается как гарантия дальнейших апгрейдов (не надо переучивать персонал) и скидок на новые версии.

Заключение

Целью двух последовательных статей о реальных опционах было одновременно введение в предмет и нащупывание конструктивного подхода к управлению фирмой, использующей реальные опционы для достижения долгосрочных стратегических преимуществ. Трудность разработки второй темы заключается в том, что, с одной стороны, любые слишком конкретные рецепты принципиально не могут оказаться работающими, а, с другой стороны, абстрактные истины представляют весьма ограниченный интерес. Особую важность имеет тема соотношения между характером неопределенности среды, в которой действует фирма, и ее организационной структурой. Однако надо сказать, что в рамках концепции фирмы, ориентированной на создание ценности, среда и тип неопределенности во многом определяются самой фирмой. Есть ли в этом случае лучшая организационная структура?

Безусловно, большая степень конкретизации желательна в концепции обучающейся организации вообще и в динамическом аспекте, в частности.

Представляется, что практически вся современная теория стратегического менеджмента и вся контрактная теория фирмы могут быть адекватно изложены на языке реальных опционов, после чего ко многим конкретным задачам можно будет применить аппарат реальных опционов. Исследования такого рода только начинаются.

Сегодня теория реальных опционов накопила богатый понятийный и инструментальный аппарат. Однако имеющееся множество работ составляет пока фрагментарную картину. Можно ли на этой базе построить общее видение всего здания проблем экономической теории и теории менеджмента, связанных с неопределенностью и динамикой? Можно ли в адекватных с информационной и операционной точек зрения терминах сформулировать алгоритмы решения задач, которые являются блоками прикладного анализа реальных опционов? Например, удастся ли реально продвинуть теорию оценивания, трудности к подходу к которой описаны в этой статье? Ответы на эти вопросы покажет будущее.

И наконец, последнее по порядку, но не по важности. Читатель может задаться вопросом: почему все изложение построено почти исключительно на нероссийских примерах? Используются ли реальные опционы в России? Готовы ли российские менеджеры к гибким решениям? Рассмотренные мини-кейсы, многие из которых впервые введены в академический оборот автором, действительно посвящены известным иностранным фирмам. Причин тому несколько. Во-первых, это позволяет не занимать место тривиальными деталями, что делает изложение основных идей более выпуклым. Кроме того, зарубежные примеры управления лучше документированы. Во-вторых, стратегические реальные опционы проявляются в значительной временной перспективе, которая еще слишком коротка в России. В-третьих, самый распространенный (и наиболее часто предлагающийся практиками в ходе лекций и семинаров) реальный опцион в России — это оппортунистическое поведение. Однако заострять здесь внимание на применениях подобного рода не хотелось принципиально. Тем не менее в течение последних лет автором накоплено значительное количество российских кейсов, дающих примеры удачного или неудачного использования или неиспользования реальных опционов в неопределенной среде. Этому будут посвящены отдельные публикации.

Сноски

Отметим, что первая компания непрерывно теряет свою и так незначительную долю рынка ПК (кстати, в середине 1980.х гг. Apple отказалась от совместной с Microsoft разработки открытой операционной системы), а вторая уже давно не существует.

ОС — операционная система.

Достаточно вспомнить провал такого монстра, как IBM, с системами IBM DOS (продававшейся в начале 1990.х по цене вдвое выше, чем современная ей MS DOS 5.0, под лозунгом «наша система лучше») и особенно OS/2 — системы, на безуспешное продвижение которой IBM потратила много лет. Этот печальный опыт заставляет с осмотрительностью относиться к перспективам внедрения системы Linux (безусловно, достойной в техническом отношении) силами IBM.

Отношение рынка к этим двум конкурентам хорошо иллюстрирует их капитализация на фондовом рынке, которая в начале 2004 г. была более чем в 100 раз выше у Amazon.com4, чем у холдинга Barnesandnoble.com, который полностью управлял частной компанией под тем же названием, осуществлявшей электронную торговлю на сайте http://www.bn.com. При этом холдинг владел 29,8% акций частной компании. Данные взяты с http://www.nasdaq.com.

Тот же термин переводится на русский язык и как научающаяся организация [Арджирис, 2004].

New York Times, April 17, 2004. Отметим, что при рассмотрении аудита никуда не денешься от использования реальных опционов. Возможность оппортунистического поведения при аудите (от прямого обмана до совмещения аудита с консультированием) является ценным реальным опционом аудиторской компании. Этот опцион имеет, однако, риск, что деятельность аудитора будет прекращена или приостановлена.

Необходимо подчеркнуть, что термин «сезонность» означает только, что имеются меняющиеся мировые цены на однородную продукцию. Фирмы в отрасли вынуждены следовать мировым ценам. Длину циклов сезонности предсказать нельзя, но можно построить случайные процессы, имитирующие эти цены, которые далее используются для моделирования реальных опционов.

Напомним, что амортизационные отчисления не представляют собой реально существующий поток наличности: полная стоимость обо. рудования уже уплачена, а политика финансирования замены оборудования — дело самой компании. Однако налоговая льгота представляет собой реально существующий поток платежей.

Правило считается важным — возможность наследования налоговой льготы рассматривается в руководствах по слияниям и поглощениям.

До настоящего времени это положение не включено в GAAP, но сейчас в связи с многочисленными корпоративными скандалами в США рассматривается предложение о том, чтобы ввести это правило в бухучет. В данном случае проблема не имеет ничего общего с правилами учета, так как при определении ценности нас интересуют затраты в экономическом смысле слова.

Любопытно, что в обоих случаях рост как продаж, так и прибылей базового продукта значительно превысил фактический рост рассма. триваемых брэндов. Это полностью подрывает методику расчета, так как брэнд и его ценность в данных случаях все.таки существуют. Тот факт, что рассчитанная ценность не подтверждается ex post, не смущает теорию финансовой оценки: говорится, что имела место лучшая возможная оценка при данной информации. Однако ситуация, когда «лучшие» оценки регулярно не подтверждаются, не способствует доверию к институту оценки.

К той же категории относятся и другие опционы, связанные с поддержанием инфраструктуры компании, например капиталовложения в экологию.

Список литературы

Аакер Д. А. 2003. Создание сильных брендов. М.: Издательский Дом Гребенникова.

Аакер Д. А., Йохимштайлер Э. 2003. Брендлидерство: новая концепция брендинга. М.: Издательский Дом Гребенникова.

Арджирис К. 2004. Организационное научение. М.: ИНФРА.М.

Аркин В., Сластников А., Шевцова Э. 1999. Налоговое стимулирование инвестиционных проектов в российской экономике. Российская программа экономических исследований WP 99/03R. http://www.eerc.ru

Бухвалов А. В. 2004. Реальные опционы в менеджменте: введение в проблему. Российский журнал менеджмента 2 (1): 3–32.

Выгон Г. В. 2001. Оценка фундаментальной стоимости нефтяных месторождений: метод реальных опционов. Экономика и математические методы 37 (2): 54–69.

Гейтс Б. 2000. Бизнес со скоростью мысли. М.: ЭКСМО.Пресс.

Дамодаран А. 2004. Инвестиционная оценка. Инструменты и техника оценки любых активов. М.: Альпина Бизнес Букс.

Дорофеев Е. А. 2000а. Облигации с переменным купоном: принципы ценообразования. Экономика и математические методы 36 (1): 55–62.

Дорофеев Е. А. 2000б. Моделирование спредов на покупку и продажу с помощью опционов. В сб.: Финансы и политика корпораций. СПб.: Изд.во СПбГУ; 48–71.

Дэвис С. М. 2001. Управление активами торговой марки. СПб.: Питер.

Катькало В. С. 2003. Исходные концепции стратегического управления и их современная оценка. Российский журнал ме. неджмента 1 (1): 7–30.

Ковалишин Е. А., Поманский А. Б. 1999. Реальные опционы: оптимальный момент инвестирования. Экономика и математические методы 35 (2): 50–60.

Мильнер Б. З. 2003. Управление знаниями. М.: ИНФРА.М.

Смирнов А. Д. 1998. Оптимальная стабилизация государственного долга. Экономический журнал ВШЭ 2 (1): 3–30.

Смирнов А. Д. 2000. Модель динамики государственного долга России. Экономический журнал ВШЭ 4 (1): 157–183.

Нонака И., Такеучи Х. 2003. Компания — создатель знания. М.: ЗАО «Олимп–Бизнес».

Тис Д. Дж., Пизано Г., Шуен Э. 2003. Динамические способности фирмы и стратегическое управление. Вестник С..Петербургского ун.та. Сер. Менеджмент (4): 133–185.

Фаррелл Д., Тервиллигер Т., Вебб А. 2003. Оправданные технологии. Вестник McKinsey (3): 89–101.

Aaker D. 1991. Managing Brand Equity: Capitalizing on the Value of a Brand Name. Free Press: N. Y.

Amram M., Kulatilaka N. 1999. Real Options: Managing Strategic Investment in an Uncertain World. Harvard Business School Press: Boston, MA.

Bernardo A. E., Chowdhry B. 2002. Resources, real options, and corporate strategy. Journal of Financial Economics 63 (2): 211–234.

Bollen N. P. 1999. Real options and product life cycles. Management Science 45 (5): 670–684.

Bowman E. H., Hurry D. 1993. Strategy through the options lens: An integrated view of resource investments and the incremental.choice process. Academy of Management Review 18 (4): 760–782.

Bowman E. H., Moskowitz G. T. 2001. Real options analysis and strategic decision making. Organization Science 12 (6): 730–743.

Brennan M. J., Schwartz E. S. 1985. Evaluating natural resource investments. Journal of Business 58 (2): 135–157.

Brennan M. J., Trigeorgis L. (eds). 2000. Project Flexibility, Agency, and Competition: New Developments and Applications of Real Options. Oxford University Press: N. Y.

Bukhvalova B. 2003. To Think or Not to Think: Portfolio Choice. Mimeo, UC Berkeley.

Capel J. 1997. A real options approach to economic exposure management. Journal of International Financial Management and Accounting 8 (2): 87–113.

Childs P. D., Triantis A. J. 1999. Dynamic R&D investment policies. Management Science 45 (10): 1359–1377.

Christensen C. M. 1997. Making strategy: Learning by doing. Harvard Business Re. view 75 (6): 5–12.

Christensen C. M., Bower J. L. 1996. Customer power, strategic investment, and the failure of leading firms. Strategic Management Journal 17 (3): 197–218.

Constantinides G. M. 1986. Capital market equilibrium with transaction costs. Journal of Political Economy 94 (4): 842–862.

Copeland T., Antikarov V. 2001. Real Options: A Practitioner’s Guide. Texere: N. Y.

Cortazar G., Schwartz E., Casassus J. 2001. Optimal exploration investments under price and geological uncertainty: A real options model. R&D Management Journal 31 (2): 181–189.

Cortazar G., Schwartz E. S., Salinas M. 1998. Evaluating environmental investments: A real options approach. Management Science 44 (8): 1059–1070.

Courtney H. G., Kirkland J., Viguerie S. P. 1997. Strategy under uncertainty. Harvard Business Review 75 (3): 67–79.

Cox J. C., Ross S. A., Rubinstein M. 1979. Option pricing: A simplified approach. Journal of Financial Economics 7 (3): 229–263.

Dias S., Ryals L. 2002. Options theory and options thinking in valuing returns on brand investments and brand extensions. Journal of Product & Brand Management 11 (2): 115–128.

Dixit A. K., Pindyck R. S. 1994. Investment under Uncertainty. Princeton University Press: Princeton, MA.

Eisenhardt K. M., Brown S. L. 1999. Patching: Restitching business portfolios in dynamic markets. Harvard Business Review 77 (3): 71–82.

Fernandez P. 2002. Valuation Methods and Shareholder Value Creation. Academic Press: San Diego, CA.

Finkelstein S. 2001. The myth of managerial superiority in Internet startups: An autopsy. Organizational Dynamics 30 (2): 172–185.

Grenadier S. R., Wang N. E. 2003. Incentives and Investment Timing: Real Options in a Principle.Agent Setting. SSRN Working paper. http://www.ssrn.com.

Grinblatt M., Titman S. 2002. Financial Markets and Corporate Strategies. 2nd edMcGraw.Hill: N. Y.

Kim W. Chan, Mauborgne R. 1997. Value innovation: The strategic logic of high growth. Harvard Business Review 75 (1): 103–112.

Kogut B. 1991. Joint ventures and the real option to expand and acquire. Management Science 37 (1): 19–33.

Kogut B., Kulatilaka N. 1994. Operating flexibility, global manufacturing, and option value of a multinational network. Management Science 40 (1): 123–139.

Kogut B., Kulatilaka N. 2001. Capabilities as real options. Organization Science 12 (6): 744–758.

Kulatilaka N., Marcus A. J. 1994. Valuing employee stock options. Financial Analysts Journal 50 (6): 46–56.

Kulatilaka N., Perotti E. C. 1998. Strategic growth options. Management Science 44 (8): 1021–1031.

Kumar R. L. 1996. A note on project risk and option values of investments in information technologies. Journal of Management Information Systems 13 (1): 187– 193.

Leland H. E. 1985. Option pricing and replication with transaction costs. Journal of Finance 40 (5): 1283–1301.

Leland H. E. 1994. Corporate debt value bond covenants, and optimal capital structure. Journal of Finance 49 (4): 1213–1252.

Leland H. E., Toft K. B. 1996. Optimal capital structure, endogenous bankruptcy, and the term structure of credit spreads. Journal of Finance 51 (3): 987–1019.

Margrabe W. 1978. The value of an option to exchange one asset for another. Journal of Finance 33 (1): 177–186.

McDonald R., Siegel D. 1986. The value of waiting to invest. The Quarterly Journal of Economics 101 (4): 705–727.

Milne A., Whalley A. E. 2000. ‘Time to build, option value and investment decisions’: A comment. Journal of Financial Economics 56 (2): 325–332.

Moel A., Tufano P. 2002. When are real options exercised? An empirical study of mine closings. Review of Financial Studies 15 (1): 35–64.

Mun J. 2002. Real Options Analysis: Tools and Techniques for Valuing Strategic Investments & Decisions. John Wiley and Sons: Chichester.

Myers S. 1977. Determinants of corporate borrowing. Journal of Financial Economics 5: 147–175.

Nembhard H. B., Shi L., Aktan M. 2003. A real options design for product outsourcing. The Engineering Economist 48 (3): 199–217.

Quigg L. 1993. Empirical testing of real option-pricing models. Journal of Finance 48 (3): 621–639.

Sarkar S. 2000. On the investment-uncertainty relationship in a real options model. Journal of Economic Dynamics & Control 24: 219–225.

Schwartz E. S., Moon M. 2001. Rational pricing of internet companies revisited. Financial Review 36 (4): 7–26.

Sick G. 1995. Real options. In Finance. Handbook in Operations Research and Management Science. Jarrow R. A., Maksimovich V., Ziemba W. T. (eds). Elsevier: Amsterdam; 631–691.

Takalo T., Kanniainen V. 2000. Do patents slow down technological progress? Real options in research, patenting, and market introduction. International Journal of Industrial Organization 18 (7): 1105– 1127.

Taudes A. 1998. Software growth options. Journal of Management Information Systems 15 (1): 165–186.

Titman S. 1985. Urban land prices under uncertainty. American Economic Review 75 (3): 505–514.

Trigeorgis L. (ed.). 1995. Real Options in Capital Investment: Models, Strategies, and Applications. Praeger: Westport, CO.

Trigeorgis L. 1996. Real Options: Managerial Flexibility and Strategy in Resource Allocation. MIT Press: Cambridge, MA.

Turnovsky S. 1995. Methods of Macroeconomic Dynamics. MIT Press: Cambridge, MA.

Vonnegut A. 2000. Real option theories and investment in emerging economies. Emerging Markets Review 1 (1): 82–100.

Wang X. H., Yang B. Z. 2001. Fixed and sunk costs revisited. Journal of Economic Education 32 (2): 178–188.

Williams J. T. 1993. Equilibrium and options on real assets. Review of Financial Studies 6 (4): 825–850.

Для подготовки данной работы были использованы материалы с сайта http://www.cfin.ru


© 2012 Рефераты, курсовые и дипломные работы.