рефераты
Главная

Рефераты по рекламе

Рефераты по физике

Рефераты по философии

Рефераты по финансам

Рефераты по химии

Рефераты по хозяйственному праву

Рефераты по цифровым устройствам

Рефераты по экологическому праву

Рефераты по экономико-математическому моделированию

Рефераты по экономической географии

Рефераты по экономической теории

Рефераты по этике

Рефераты по юриспруденции

Рефераты по языковедению

Рефераты по юридическим наукам

Рефераты по истории

Рефераты по компьютерным наукам

Рефераты по медицинским наукам

Рефераты по финансовым наукам

Рефераты по управленческим наукам

Психология и педагогика

Промышленность производство

Биология и химия

Языкознание филология

Издательское дело и полиграфия

Рефераты по краеведению и этнографии

Рефераты по религии и мифологии

Рефераты по медицине

Рефераты по сексологии

Рефераты по информатике программированию

Краткое содержание произведений

Шпаргалка: Финансовый анализ шпоры

Шпаргалка: Финансовый анализ шпоры

1.  Предмет и содержание финансового анализа.

Содержание  и основная целевая установка финансового анализа - оценка финансового состояния и выявление возможности повышения эффективности функционирования хозяйствующего субъекта с помощью рациональной финансовой политики. Финансовое состояние хозяйствующего субъекта - это характеристика его финансовой конкурентоспособности (т.е. платежеспособности, кредитоспособности), использования финансовых ресурсов и капитала, выполнения обязательств перед государством и другими хозяйствующими субъектами.

В традиционном понимании финансовый анализ представляет собой метод оценки и прогнозирования финансового состояния предприятия на основе его бухгалтерской отчетности. Принято выделять два вида финансового анализа - внутренний и внешний. Внутренний анализ проводится работниками предприятия (финансовыми менеджерами). Внешний анализ проводится аналитиками, являющимися посторонними лицами для предприятия (например, аудиторами).

 Под предметом экономического анализа понимаются хозяй­ственные процессы предприятий, объединений, ассоциаций, со­циально-экономическая эффективность и конечные финансо­вые результаты их деятельности, складывающиеся под воздей-

ствием объективных и субъективных факторов, получающие отражение через систему экономической информации.

Как видно из определения, экономический анализ имеет дело с хозяйственными процессами предприятий, объедине­ний, других подразделений и конечными производственно-финансовыми результатами их деятельности. Экономика пред­приятий изучается при этом не только в динамике, но и в ста­тике.

Далее, предметом экономического анализа являются хо­зяйственные процессы и конечные результаты, складывающи­еся под влиянием объективных внешних факторов. Постоянно воздействуя на хозяйственную деятельность, они отражают, как правило, действия экономических законов. В процессе экономического анализа во многих случаях приходится стал­киваться, например, с действием ценового факто­ра — с изменением цен, тарифов, ставок. Ценообразование в рыночных условиях — процесс в Целом стихийный; Цены, на готовые изделия, товары, тарифы за перевозки и ставки за услуги устанавливаются с учетом требований закона стоимо­сти, законов рынка. Цены, тарифы, ставки — это не постоян­ные величины, они постоянно изменяются. Если изменились цены на сырье, материалы, полуфабрикаты, готовую продук­цию, товары, то это повлияет почти на все показатели (особен­но финансовые) промышленных, строительных, сельскохозяй­ственных, торговых и других предприятий. На промышленных предприятиях изменятся показатели валовой, товарной, ре ализованной и чистой продукции, показатели себестоимости и чистого дохода; в торговых — показатели оптового и роз­ничного товарооборота, уровня реализованных скидок, издер­жек обращения и прибыли. Изменения цен, тарифов, ставок вызывают в процессе анализа довольно сложные экономичес­кие расчеты. Фактор цен, не зависящий от того или иного предприятия, исключается путем индексных пересчетов, его действие выявляется особо, вне связи с другими факторами.

Анализ финансового состояния предприятия преследует несколько целей:

ü   определение финансового положения;

ü   выявление изменений в финансовом состоянии в пространственно-временном разрезе;

ü   выявление основных факторов, вызывающих изменения в финансовом состоянии;

ü   прогноз основных тенденций финансового состояния.

Ключевой целью финансового анализа является получение опреде­ленного числа основных (наиболее представительных) параметров, дающих объективную и обоснованную характеристику финансового состояния предприятия. Это относится прежде всего к изменениям в структуре активов и пассивов, в расчетах с дебиторами и кредитора­ми, в составе прибылей и убытков.

Локальные цели финансового анализа:

·          определение финансового состояния предприятия;

·          выявление изменений в финансовом состоянии в пространствен­но-временном разрезе;

·          установление основных факторов, вызывающих изменения в фи­нансовом состоянии;

·          прогноз основных тенденций финансового состояния.

Аналитика и управляющего (финансового менеджера) интересует как текущее финансовое положение предприятия (на месяц, квартал, год), так и его прогноз на более отдаленную перспективу.

Альтернативность целей финансового анализа определяют не толь­ко его временные границы. Она зависит также от целей, которые ста­вят перед собой пользователи финансовой информации.

Цели исследования достигаются в результате решения ряда анали­тических задач:

·          предварительный обзор бухгалтерской отчетности;

·          характеристика имущества предприятия: внеоборотных и оборот­ных активов;

·          оценка финансовой устойчивости;

·          характеристика источников средств: собственных и заемных;

·          анализ прибыли и рентабельности;

·          разработка мероприятий по улучшению финансово-хозяйствен­ной деятельности предприятия.

Данные задачи выражают конкретные цели анализа с учетом орга­низационных, технических и методических возможностей его осуще­ствления. Основными факторами, в конечном счете, являются объем и качество аналитической информации.

Достижение этих целей достигается с помощью различных методов и приемов. 

2.  Метод, приемы и технические средства анализа.

Методика финансового анализа состоит из трех взаимосвязанных блоков:

1.    анализа финансовых результатов деятельности предприятия;

2.    анализа финансового состояния;

3.    анализа эффективности финансово-хозяйственной деятельности.

Практика финансового анализа уже выработала основные правила чтения (методику анализа) финансовых отчетов. Среди них можно выделить 6 основных методов:

горизонтальный (временной) анализ - сравнение каждой позиции отчетности с предыдущим периодом;

вертикальный (структурный) анализ - определение структуры итоговых финансовых показателей с выявлением влияния каждой позиции отчетности на результат в целом;

трендовый анализ - сравнение каждой позиции отчетности с рядом предшествующих периодов и определение тренда, т.е. основной тенденции динамики показателя, очищенной от случайных влияний и индивидуальных особенностей отдельных периодов. С помощью тренда формируют возможные значения показателей в будущем, а следовательно, ведется перспективный прогнозный анализ;

анализ относительных показателей (коэффициентов) - расчет отношений между отдельными позициями отчета или позициями разных форм отчетности, определение взаимосвязей показателей;

сравнительный (пространственный) анализ - это как внутрихозяйственный анализ сводных показателей отчетности по отдельным показателям фирмы, дочерних фирм, подразделений, цехов, так и межхозяйственный анализ показателей данной фирмы с показателями конкурентов, со среднеотраслевыми и средними хозяйственными данными;

факторный анализ - анализ влияния отдельных факторов (причин) на результативный показатель с помощью детерминированных или стохастических приемов исследования. Причем факторный анализ может быть как прямым (собственно анализ), когда дробят на составные части, так и обратным (синтез), когда его отдельные элементы соединяют в общий результативный показатель.

3.  Организация и источники финансового анализа.

Все предприятия и коммерческие организации, являющиеся юридичес­кими лицами, обязаны составлять на основе данных синтетического и аналитического учета бухгалтерскую (финансовую) отчетность. Она выражает единую систему данных об имущественном и финансовом положении предприятия и о результатах его хозяйственной деятельно­сти и формируется по регистрам бухгалтерского учета по установлен­ным формам.

Бухгалтерская отчетность должна представлять объективную и пол­ную картину о финансовом положении предприятия на определенную дату. Достоверной и полной считается отчетность, составленная исходя из правил, установленных нормативными актами по бухгалтерскому учету. Если при разработке бухгалтерской отчетности выявляется недо­статочность данных для формирования полного представления о его фи­нансовом положении, то в отчетность включаются дополнительные по­казатели и пояснения.

Таким образом, финансовая (бухгалтерская) отчетность представляет собой систему обобщенных показателей, характеризующих итоги финансовой деятельности за отчетный период. Она составляется путем подсчета, группировки и специальной обработки данных текущего бухгалтерского учета.

В условиях рынка финансовая (бухгалтерская) отчетность предприятий, организаций является основным средством коммуникации и информационной базой финансового анализа.

Законодательной базой бухгалтерской отчетности в Украине являются: Закон Украины от 16.07.99 г. № 996-Х1У "О бухгалтерском учете и финансовой отчетности в Украине", а также Положения (стан­дарты) бухгалтерского учета - П(С)БУ

К финансовой отчетности предприятия, предусмотренной Законом, относятся:

·          ба­ланс (форма № 1);

·          отчет о финансовых результатах (форма № 2);

·          отчет о движении денежных средств (форма № 3);

·          отчет о собст­венном капитале (форма № 4);

·          примечания к отчетам, подписываемые руководителем и бухгалтером предприятия.

Финансовая отчетность подразделяется на периодическую (квартальную) и годовую. Объем и состав определяются продолжительностью периода.

Квартальный отчет включает 2 типовые формы, которые составляют все хозяйствующие субъекты (кроме банков и малых предприятий) независимо от видов деятельности, организационно-правовых форм хозяйствования и форм собственности: Баланс (форма 1) и Отчет о финансовых результатах (форма 2)

В годовую отчетность входят: Баланс (форма 1); Отчет о финансовых результатах (форма 2); Отчет о движении денежных средств (форма 3); Отчет о собственном капитале (форма 4)

Баланс отражает накопленный эффект от прошлых деловых решений и включает прибыль и убытки за предыдущий период.

Отчет о финансовых результатах сопоставляет доходы и расходы за определенный период, подробно описывает элементы, входящие в состав прибыли или убытков.

Отчет о движении денежных средств – динамический отчет изменений в активах, пассивах, собственном капитале в течение отчетного периода. Он позволяет увидеть схему фондовых вложений и источников, показывает, что амортизация не затрагивает фондов.

Отчет о собственном капитале дает дополнительную информацию об изменениях на счетах собственного капитала между начальными и конечными датами баланса.

4.  Последовательность проведения финансового анализа.

В общем виде программа углубленного анализа финансово-хозяйственной деятельности предприятия выглядит следующим образом.

1.  Предварительный обзор экономического и финансового по­ложения субъекта хозяйствования

1.1.  Характеристика общей  направленности  финансово-хо­зяйственной деятельности

1.2.  Выявление «больных» статей отчетности

2.  Оценка и анализ экономического потенциала субъекта хо­зяйствования

2.1.  Оценка имущественного положения

2.1.1.  Построение аналитического баланса-нетто

2.1.2.  Вертикальный анализ баланса

2.1.3.  Горизонтальный анализ баланса

2.1.4.  Анализ качественных сдвигов в имущественном по­ложении

2.2.  Оценка финансового положения

2.2.1.  Оценка ликвидности

2.2.2.  Оценка финансовой устойчивости

3.  Оценка и анализ результативности финансово-хозяйственной деятельности субъекта хозяйствования

З.1.. Оценка производственной (основной) деятельности

3.2.  Анализ рентабельности

3.3.  Оценка положения на рынке ценных бумаг Информационную основу данной методики составляет систе­ма показателей, приведенных в приложении 2. Пример выполне­ния ряда из указанных выше процедур углубленного анализа бухгалтерской отчетности по данным бухгалтерской отчетности помещен в следующем параграфе.

Дадим краткую характеристику основных показателей, ис­пользуемых в анализе финансово-хозяйственной деятельности предприятия.

Исходные позиции:
     1. Привлекаемая информация достоверна и содержится в полном объеме.
     2. Разработана схема и последовательность проведения финансового анализа в зависимости от условий деятельности конкретного предприятия.
     3. Определен порядок оформления результатов анализа и их оценки.
     Блоки финансового анализа:
     -финансовая устойчивость;
     -ликвидность и кредитоспособность баланса;
     -оборачиваемость оборотных активов;
     -финансовые результаты.
     В завершающей части анализа финансового состояния клиента подробно формулируются основные выводы по результатам вертикального и горизон-тального анализа структуры баланса, оценки удовлетворительности структуры баланса, финансовых результатов и оценки финансовых коэффициентов. В заключение аудитор по желанию клиента может провести анализ финансово-хозяйственной деятельности на перспективу предприятия с полнейшей выкладкой прогнозных данных.

Последовательность проведения финансового анализа
Анализ структуры доходов и расходов. Факторы формирования выручки. Факторы формирования прибыли от реализации продукции. Виды прибыли. Качество прибыли. Анализ безубыточности. Анализ структуры баланса. Ликвидность, устойчивость. Оборотный капитал. Чистые активы. Анализ денежных потоков. Операционный, инвестиционный и финансовый денежный поток. Анализ ликвидности (краткосрочной платежеспособности). Анализ финансовой устойчивости (долгосрочной платежеспособности). Анализ оборачиваемости (эффективности управления). Анализ рентабельности. Рентабельность продаж. Рентабельность собственного капитала. Средневзвешенная стоимость капитала. Анализ рыночной привлекательности. Финансовые критерии принятия управленческих решений.

5.  Анализ производства продукции.

Темпы роста объема производства и реализации продукции, повышения ее качества влияют на величину издержек, прибыль и рентабельность предприятия. Поэтому анализ данных показателей имеет важное значение.

Его основные задачи:

1.    Оценка степени выполнения плана и динамика производства и реализации продукции;

2.    Определение влияния факторов на изменение величины этих показателей;

3.    Выявление внутрихозяйственных резервов увеличения выпуска и реализации продукции;

4.    Разработка мероприятий по освоению выявленных резервов.

Объекты анализа Объем производства и реализации продукции в целом и по ассортименту

Качество продукции

Структура производства и реализации продукции
Ритмичность производства и реализации продукции

Источниками информации для анализа производства и реализации продукции служат: бизнес-план предприятия, оперативные планы-графики, отчетность формы №1-П (годовая) «Отчет по продукции», форма №1-П (квартал) «Квартальная отчетность промышленного предприятия о выпуске отдельных видов продукции в ассортименте», форма №1-П (месячная) «Срочная отчетность промышленного предприятия по продукции», форма №2 («отчет о прибылях и убытках», ведомость №16 «Движение готовых изделий, их отгрузка и реализация»).

Объем производства и реализации продукции может выражаться в натуральных, трудовых и стоимостных измерителях.

Обобщающие показатели объема производства продукции получают с помощью стоимостной оценки.

Основными показателями объема производства служат товарная и валовая продукция.

Валовая продукция – это стоимость всей произведенной продукции и выполненных работ, включая незавершенное производство.

Выражается в сопоставимых и действующих ценах.

Товарная продукция отличается от валовой тем, что в нее не включают остатки незавершенного производства.

Валовая продукция (ВП) – это вся выпущенная продукция и сумма всех произвед-ых работ.

Товарная продукция (ТП) – это ВП минус работы промышл. хар-ра, или это реализов. прод.+ неоплаченная прод.

РП – это продукция подлежащая продажи

Объем реализации продукции определяется или по отгрузке продукции покупателям или по оплате (выручке). Может выражаться в сопоставимых, плановых и действующих ценах.

Важное значение для оценки выполнения производственной программы имеют и натуральные показатели объемов производства и реальной продукции (штуки, метры, тонны и т.д.).

Их используют при анализе объемов производства и реализации продукции по отдельным видам и группам однородной продукции.

Анализ начинается с изучения динамики выпуска и реализации продукции.

Большое влияние на результаты хоз. деятельности оказывают ассортимент и структура производства и реализации продукции.

Ассортимент (номенклатура) – это определенная совокупность производимых продуктов разных по свойству, назначению и количеству.

Структура продукции (состав) – это соотношение отдельных изделий в общем их выпуске.

При формировании ассортимента и структуры выпуска продукции предприятия должны учитывать спрос на данные виды продукции и наиболее эффективное использование ресурсов, имеющихся в его распоряжении.

Оценка выполнения плана по ассортименту продукции производится с помощью коэффициента, который рассчитывается путем деления общего фактического выпуска продукции, зачтенного в выполнение плана по ассортименту на общий плановый выпуск продукции (продукция, изготовленная сверх плана или непредусмотренная планом не засчитывается в выполнение плана по ассортименту).

Важным показателем деятельности промышленных предприятий является качество продукции. Его повышение – одна из форм конкурентной борьбы , завоевания и удержания позиций на рынке. Высокий уровень качества продукции способствует повышению спроса на продукцию и увеличению суммы прибыли не только за счет объема продаж, но и за счет более высоких цен.

Качество продукции – понятие, которое характеризует параметрические, эксплуатационные, потребительские, технологические, дизайнерские свойства изделия, уровень его стандартизации к унификации, надежность и долговечность.

Различают: обобщающие, индивидуальные и косвенные показатели качества продукции.

Обобщающие показатели – характеризуют качество всей произведенной продукции, независимо от ее вида и назначения (удельный вес новой продукции в общем ее выпуске, удельный вес высшей категории качества и т.д.).

Индивидуальные (единичные) показатели характеризуют одно из ее свойств:

1.    Полезность (жирность молока и т.п.);

2.    Надежность (долговечность);

3.    Технологичность – эффективность конструкторских, технологических решений;

4.    Эстетичность изделий.

Косвенные показатели – это штрафы за некачественную продукцию, объем и удельный вес забракованной продукции, удельный вес зарекламированной продукции, потери от брака и другие.

1.    Задача анализа – изучить динамику показателей, выполнение плана по их уровню, причины их изменения и дать оценку выполнения плана по уровню качества продукции.

2.    Задача анализа – определение влияния качества продукции на показатели работы предприятия: выпуск продукции, выручку от реализации и прибыль.

Косвенным показателем качества продукции является брак. Он делится на: исправимый и неисправимый, внутренний (выявленный на предприятии) и внешний (выявленный потребителями).

Выпуск брака ведет к повышению себестоимости продукции, уменьшению объема выпущенной и реализованной продукции, снижению прибыли и рентабельности.

В процессе анализа изучают динамику брака по абсолютной сумме и удельному весу в общем выпуске продукции; определяют потери от брака.

Затем изучаются причины понижения качества и допущенного брака продукции по местам их возникновения и центрам ответственности и разрабатываются мероприятия по их устранению

Основными причинами понижения качества является: плохое качество сырья, низкий уровень технологии и организации производства, квалификации рабочих, аритмичность производства.

6.  Анализ трудоемкости производства.

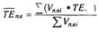
Трудоемкость ~ затраты рабочего времени на единицу или весь объем изготовленной продукции. Трудоемкость единицы про­дукции (ТЕ) рассчитывается делением фонда рабочего времени на изготовление определенного вида продукции на количество изде­лий этого наименования в натуральном или условно-натуральном измерении. Можно рассчитывать и трудоемкость одного рубля про­дукции. Для этого общий фонд рабочего времени на производство всей продукции нужно разделить на стоимость выпуска продукции. Полученный показатель обратный среднечасовой выработке про­дукции.

Снижение трудоемкости продукции - важнейший фактор по­вышения производительности труда. Рост производительности труда происходит в первую очередь за счет снижения трудоемкости про­дукции, а именно за счет выполнения плана оргтехмероприятий (вне­дрение достижений науки и техники, механизация и автоматизация производственных процессов, совершенствование организации произ­водства и труда), увеличения удельного веса покупных полуфа­брикатов и комплектующих изделий, пересмотра норм выработки и т.д.

В процессе анализа изучают динамику трудоемкости, выполне­ние плана по ее уровню, причины ее изменения и влияние на уро­вень производительности труда. Значительный интерес представляет сравнение удельной трудоемкости продукции на разных предприя­тиях. Это дает возможность выявить передовой опыт и разработать мероприятия по его внедрению на анализируемом предприятии.

Плановый прирост производительности труда (часовой выработ­ки) за счет снижения трудоемкости продукции:

Фактический рост производительности труда за счет снижения трудоемкости к уровню прошлого года.

Зная, как изменилась среднечасовая выработка, можно определить изменение трудоемкости продукции:

Как видим, между трудоемкостью продукции и уровнем производительности труда существует обратно пропорциональ­ная зависимость. Поэтому общая удельная трудоемкость продук­ции зависит от тех же факторов, что и среднечасовая выработка рабочих.

Удельную фактическую трудоемкость в сопоставимых с планом условиях можно представить в виде алгоритма:

где ВПф - фактический объем валовой продукции; АВПстр, АВПК соответственно изменение объема валовой продукции за счет струк­туры производства и кооперированных поставок; Тф - фактические затраты рабочего времени на выпуск продукции; Тн - непроизво­дительные затраты времени; Тэ - экономия рабочего времени в связи с внедрением мероприятий НТП.

Изменение среднего уровня удельной трудоемкости может прои­зойти за счет изменения ее уровня по отдельным видам продукции (TEi) и структур, произведена (УДi). При увеличении удельного веса более трудоемких изделий средний ее уровень возрастает и наоборот:

Влияние этих факторов на средний уровень трудоемкости мож­но определить методом цепной подстановки через средневзве­шенные величины

Следует иметь в виду, что изменения в урснне трудетмкости не всегда оцениваются однозначно. Иногда тру;:емкость возрастает при значительном удельном весе вновь осваиваемой продукции или улучшении ее качества. Чтобы добиться гзвышени-' качества, надежности и конкурентоспособности продуки и, требу-: гея допол­нительные затраты труда и средств. Однако ;;;игрыш :: увеличе­ния объема продаж, более высоких цен, как г:авило, Ггэекрывает проигрыш от повышения трудоемкости изде;: и. Поэт: <у взаимо­связь трудоемкости продукции и ее качества, се:естоимо::и, объема продаж и прибыли должна находиться постоян- :> в центг-t внимания аналитиков.

Для всесторонней оценки выполнения пл;-:а по тр аоемкости продукции и выявления резервов роста прои:водитель- :сти труда необходимо анализировать выполнение норл вырабсчки рабо­чими-сдельщиками индивидуально и в срел-гм по предприятию.

В заключение анализа необходимо определить резервы сниже­ния удельной трудоемкости продукции по отдельным изделиям и в целом по предприятию:

7.  Анализ себестоимости продукции.

Важным показателем, характеризующим работу промышленных предприятий, являет­ся себестоимость продукции. От ее уровня зависят финансовые результаты деятельнос­ти предприятий, темпы расширенного вос­производства, финансовое состояние хозяй­ствующих субъектов.

Анализ себестоимости продукции, работ и услуг имеет исключительно важное значе­ние. Он позволяет выяснить тенденции изме­нения данного показателя, выполнения плана по его уровню, определить влияние факторов на его прирост и на этой основе дать оценку работы предприятия по использованию воз­можностей и установить резервы снижения себестоимости продукции.

Объектами анализа себестоимости продукции являются следующие показате­ли:

полная себестоимость товарной продук­ции в целом и по элементам затрат;

затраты на   рубль товарной продукции;

себестоимость сравнимой товарной про­дукции;

себестоимость отдельных изделий;

отдельные элементы и статьи затрат.

С/сть – это стоимость продукции для предприятия. Структура с/сти:

1.    Прямые затраты – отчисления в ФОТ, стоимость материалов и з/п.

2.    Косвенные затраты – отчисления на управление и обслуживание, аренда и т.п.

Выделяют следующие виды анализов с/сти:

1.    Анализ калькуляции затрат на 1р. ТП

2.    Анализ влияния факторов на уровень с/сти.

3.    Анализ факторов и резервов снижения с/сти.

2.  Анализ выполнения плана, динамика и структура затрат на производство и реализацию ТП

При проведении анализа необходимо сравнить плановые и фактические затраты на производство и реализацию продукции. Также анализируют динамику каждой из статей затрат. Рассматривают какие из статей затрат внесли наибольшее изменение в структуре с/сти  и структуре реализации продукции.

3.   Анализ калькуляции и с/сти ед. продукции и затрат на 1р ТП

3.1 Основная задача – установление влияния различных факторов на изменение затрат на 1р ТП и изменение степени выполнения плановой ТП.

ü  Ф-6 годовой отчет “С/сть ГП”

ü  Ф-1 квартальный отчет

Затраты на 1р ТП = полная с/сть всей ТП / ∑ ТП в оптовых ценах предприятия [без налога с оборота]

Объектом анализа явл. разность между фактическими и плановыми затратами на 1р ТП (сверх плановое снижения или повышение этих затрат). При этом необходимо опр. влияние на изменения затрат на 1р ТП следующих факторов:

1)  Сдвиги в структуре продукции

2)  Изменение уровня с/сти

3)  Изменение уровня оптовых цен

3.2 анализ с/сти всей ТП

Осуществляется сравнением фактических и плановых затрат за предыдущий период и показателей других предприятий вырабатывающих такую же продукцию, а так же используется дополнительная информация Ф-7 “Расходы по обслуживанию и управлению” .

Анализ сравнимой ТП проводится:

Опр. стоимости сравнимой ТП по плану и отчету

Опр. абс. изменения стоимости сравнимой ТП (ф-п)

Опр.  относительного изменения стоимости сравнимой ТП (ф/п*100)

Анализ по каждой статьи калькуляции ед. ТП производится аналогично по каждой статье калькуляции.

4. Анализ влияния факторов

4.1 На уровень с/сти влияют следующие факторы

а) изменение V продукции

ср. годовая с/сть за прошлый год * изменение с/сти по плану (в %) / 100

б) изменение структурных сдвигов в ассортименте выпущенной продукции

с/сть ВПпл – ср годовая с/сть ВП за прошлый год  - а) изменение V продукции

в) сверхплановое снижение (повышение) с/сти отдельных видов изделий

ВП по фактической с/сти – ВП по плановой с/сти  = по каждому изделию 

г) ∑ экономии от снижения с/сти по плану

∑ сумма всех факторов и сравнить с абс. изменением с/сти в плановом и факт периуде

4.2 Снижение с/сти и их резерв

ü  увеличение производительности труда

ü  экономия прямых затрат

ü  улучшение технического оборудования

--------

1.Vпроизводства = выпуск_продукции * Цена_продаж

2.Полная_себестоимость = выпуск_продукции * себестоимость_ед-цы.

3.Затраты_на_1_рубль = себестоимость_ед-цы / цена_продаж

4.Относительная_экономия(перерасход) = полная_себестоимость1 – полная_себестоимость0 * индекс_V

Факторный анализ влияния основных факторов на 1 рубль

1.Затраты на 1 рубль товарной продукции

1.1.Предыдущие = (3), 1.2 Отчетный = (3)

2.Фактич.затраты на 1 руб.продукции по цене прошлого года = (кол-во1 * с-с1) / (кол-во1 * цена0)

3.Структура выпуска по стоимости в долях

3.1.Предыдущий = Тр.в.долях

3.2. Отчетный = с-с + цена + структура_выпуска

4.изменен.затрат на 1 рубль=((2)–(1.1.)) * (3.2)

4.1.в т.ч. за счет изменен.с-сти = ((2) -(1.1.))*(3.2)

4.2.Цена =  ((1.2) – (2)) * (3.2)

4.3.Структура выпуска = ((3.2) – (3.1.)) * (1.1)

8.  Анализ себестоимости сравнимой товарной продукции.

К сравнимой товаркой продукции относятся все изделия, произ­водившиеся на предприятии в отчетном году, выпуск которых осу­ществлялся и в прошлом году, если тогда их производство не носило опытного характера и не находилось в стадии освоения. Вновь осваиваемые изделия з ее состав не включаются.

Для анализа себестоимости сравнимой товарной продукции не­обходимо иметь следующие сведения.

1. Затраты на запланированный выпуск товарной продукции по уровню себестоимости, млн руб.:

фактической   прошлого года

плановой отчетного года

экономия (-), перерасход (+) в с^внен. t с

прошлым годом согласно плану:

абсолютная сумма

относительная,%

2.  Затраты на фактический объек лроиз; адства товар­ной продукции по уровню себес-оимос-и, млн руб.:

фактической прошлого года

плановой отчетного года

фактической отчетного года при г'ановь_:

ценах на ресурсы фактической отчетного года при с;ктиче:ких

ценах на ресурсы фактическая сумма перерасхода (-)

в сравнении с прошлым годом: абсолютная сумма относительная, %

3.  Отклонение от планового задан-я:

абсолютное относительное,%

9.  Анализ затрат на производство продукции по элементам и калькуляционным статьям.

Планирование и учет себестоимости на предприятиях ведут п элементам затрат и калькуляционным статьям расходов.

Элементы затрат: материальные затраты (сырье и материа лы, покупные комплектующие изделия и полуфабрикаты, топливо электроэнергия, теплоэнергия и т.д.), затраты на оплату труда, отчие ления на социальные нужды, амортизация основных средств, прочж затраты (износ нематериальных активов, арендная плата обязательные страховые платежи, проценты по кредитам банка налоги, включаемые в себестоимость продукции, отчисления во вне­бюджетные фонды и др.).

Группировка затрат по элементам необходима для того, чтобы изучить материалоемкость, энергоемкость, трудоемкость, фондоем­кость и установить влияние технического прогресса на структуру затрат. Если доля заработной платы уменьшается, а доля аморти­зации увеличивается, то это свидетельствует о повышении техничес­кого уровня предприятия, о росте производительности труда. Удель­ный вес зарплаты сокращается и в том случае, если увеличивается доля покупных комплектующих изделий, полуфабрикатов, что свиде­тельствует о повышении уровня кооперации и специализации.

Группировка затрат по назначению, т.е. по статьям калькуляции, указывает, куда, на какие цели и в каких размерах израсходованы ресурсы. Она необходима для исчисления себестоимости отдельных видов изделий в многономенклатурном производстве, установления центров сосредоточения затрат и поиска резервов их сокращения.

Основные статьи калькуляции: сырье и материалы, возврат­ные отходы (вычитаются), покупные изделия и полуфабрикаты, топ­ливо и энергия на технологические цели, основная и дополнительная зарплата производственных рабочих, отчисления на социальное и медицинское страхование производственных рабочих, расходы на содержание и эксплуатацию машин и оборудования, общепроиз­водственные расходы, общехозяйственные расходы, потери от брака, прочие производственные расходы, коммерческие расходы.

Различают также затраты прямые и косвенные. Прямые за­траты связаны с производством определенных видов продукии (сырье, материалы, зарплата производственных рабочих и др.). Они прямо относятся на тот или иной объект калькуляции. Косвенные расходы связаны с производством нескольких видов продукции и относятся на объекты калькуляции путем распределения пропор­ционально соответствующей базе (основной и дополнительной зар­плате рабочих или всем прямым расходам, производственной площа­ди и т.д.). Примером косвенных расходов являются общепроизвод­ственные и общехозяйственные расходы, затраты на содержание основных средств и др.

В рыночной экономике издержки классифицируют на явные и неявные (имплицитные). Явные издержки - это альтернативные (вмененные), принимающие форму прямых платежей поставщикам факторов производства и промежуточных изделий. В число явных издержек входит зарплата рабочих, менеджеров, служащих, комис­сионные выплаты торговым фирмам, выплаты банкам и другим поставщикам финансовых и материальных услуг, оплата транспорт­ных расходов и многое другое.

Неявные {имплицитные) издержки - это альтернативные издержки использования ресурсов, принадлежащих владельцам фирмы или находящихся в собственности фирмы как юридического лица. Такие издержки не предусмотрены контрактами, обязатель­ными для явных платежей, и не отражаются в бухгалтерской отчет­ности, но от этого они не становятся менее реальными. Например, фирма использует помещение, принадлежащее ее владельцу, при этом она никому ничего не платит. Следовательно, имплицитные издержки будут равны возможности получения денежных платежей за сдачу этого здания кому-либо в аренду.

В зависимости от объема производства все затраты предприятия можно разделить на постоянные и переменные.

Постоянные расходы (амортизация, аренда помещений, налог на имущество, повременная оплата труда рабочих, зарплата и страхо­вание административно-хозяйственного аппарата) остаются стабиль­ными при изменении объема производства, а переменные (сдельная зарплата производственных рабочих, сырье, материалы, технологичес­кое топливо, электроэнергия) изменяются пропорционально объему производства продукции.

Линия затрат при наличии постоянных и переменных расходов представляет собой уравнение первой степени

Y = а + Ьх,

где Y - сумма затрат на производство продукции; а - абсолютная сумма постоянных расходов; b - ставка переменных расходов на

единицу продукции (услуг); х - объем производства  продукции (услуг).

10.    Нормальные источники формирования запасов.

Нормальные источники покрытия запасов (НИПЗ) = собственные оборотные средства + ссуды банка под товары (работы, услуги) + расчеты с кредиторами по товарным операциям.

Доля нормальных источников покрытия запасов в покрытии запасов (ДНИПЗ) = нормальные источники в покрытии запасов /  (запасы + затраты)

Если значение этого показателя ниже 1, то текущее состояние предприятия рассматривается как неустойчивое.

11.  Показательные оценки имущественного положения.

Устойчивость финансового положения предприятия в значительной степени зависит от целесообразности и правильности вложения финансовых ресурсов в активы. Активы динамичны по своей природе. В процессе функционирования предприятия и величина активов, и их структура претерпевают постоянные изменения. Наиболее общее представление об имевших место качественных изменениях в структуре средств и их источников, а также динамике этих изменений можно получить с помощью вертикального и горизонтального анализа отчетности.

Вертикальный анализ показывает структуру средств предприятия и их источников. Можно выделить две основные черты, обуславливающие необходимость и целесообразность проведения вертикального анализа:

1)   переход к относительным показателям позволяет проводить межхозяйственные сравнения экономического потенциала и результатов деятельности предприятия, различающихся по величине используемых ресурсов и другим объемным показателям;

2)   относительные показатели в значительной степени сглаживают негативное влияние инфляционных процессов, которые могут существенно искажать абсолютные показатели финансовой отчетности и тем самым затруднять их сопоставление в динамике.

Вертикальному анализу можно подвергать либо исходную отчетность, либо модифицируемую отчетность.

Горизонтальный анализ отчетности заключается в построении одной или нескольких аналитических таблиц, в которых абсолютные показатели дополняются относительными темпами роста (снижения). Как правило, берутся базисные темпы роста за ряд лет (смежных периодов), что позволяет анализировать не только изменение отдельных показателей, но и прогнозировать их значения.

Горизонтальный и вертикальный анализы взаимодополняют друг друга. Поэтому на практике нередко строят аналитические таблицы, характеризующие как структуру отчетной балансовой формы, так и динамику отдельных ее показателей. Оба эти вида анализа особенно ценны при межхозяйственных сопоставлениях, поскольку позволяют сравнивать отчетность совершенно разных по роду деятельности и объема производства предприятий.

Основные показатели, характеризующие имущественное положение предприятия:

1)   Сумма хозяйственных средств находящихся в распоряжении предприятия – этот показатель дает обобщенную стоимостную оценку активов числящихся на балансе предприятия. Рост этого показателя в динамике свидетельствует о наращивании имущественного потенциала предприятия.

2)   Доля активной части основных средств, равная отношению стоимости активной части основных производственных фондов к стоимости основных производственных фондов. Рост этого показателя в динамике расценивается, как благоприятная тенденция.

ДОС нач. = 2,125 / 2,5 = 0,85

ДОС кон. = 1,615 / 1,9 = 0,85

3)   Коэффициент износа основных средств, равный отношению суммы начисленного износа основных производственных фондов к первоначальной стоимости основных производственных фондов. Этот показатель характеризует долю стоимости основных производственных фондов, оставшуюся к списанию на затраты в последующих периодах.

4)   Коэффициент обновления основных средств, равный отношению первоначальной стоимости поступивших за отчетный период основных производственных фондов к первоначальной стоимости основных производственных фондов на конец отчетного периода. Он показывает, какую часть от имеющихся на конец отчетного периода основных фондов составляют новые основные производственные фонды.

5)   Коэффициент выбытия основных средств, равный отношению первоначальной стоимости выбывших за отчетный период основных производственных фондов к первоначальной стоимости основных производственных фондов на начало отчетного периода. Он показывает, какая часть основных производственных фондов, с которыми предприятие начало деятельность в отчетном периоде выбыло из-за ветхости и по другим причинам.

12.  Ликвидность предприятия и ее показатели.

Ликвидность предприятия - это способность быстро погашать свою задолженность. Ликвидность предприятия обозначает ликвидность его баланса, безусловную платежеспособность, дееспособность и предполагает постоянное равенство между активами и обязательствами, как по общей сумме, так и по срокам поступления погашения.

Показатели ликвидности позволяют определить способность предприятия оплатить свои краткосрочные обязательства. К ним относятся:

1)  Величина собственных оборотных средств (СОС) = собственный капитал + долгосрочные обязательства – внеоборотные активы

2)  Маневренность функционирующего капитала – это коэффициент равный отношению суммы денежных средств и их эквивалентов к функционирующему капиталу.

Этот показатель характеризует ту часть собственных оборотных средств, которая находится находиться в форме денежных средств имеющих абсолютную ликвидность. Рост показателя в динамике рассматривается как положительная тенденция. Нормальное значение 0…1

3)  Коэффициент текущей ликвидности (Ктек.ликв.) = оборотные средства / краткосрочные пассивы.

Коэффициент покрытия характеризует платежные возможности предприятия, оцениваемые при условии не только своевременных расчетов с дебиторами и благоприятной реализацией готовой продукции, но и продажи в случае нужды прочих элементов материальных оборотных средств.

Он показывает, сколько гривен в активах приходится на одну гривну текущих обязательств, и характеризует ожидаемую платежеспособность предприятия на период, равный средней продолжительности одного оборота всех оборотных средств.

Критическое нижнее значение показателя = 2,0

4)  коэффициент быстрой ликвидности (Кб.ликв.) = оборотные активы - запасы / краткосрочные обязательства

Величина ликвидных средств в числителе отражает прогнозируемые платежные возможности предприятия при условии своевременного проведения расчетов с дебиторами.

Нижнее значение показателя 1,0.

5)  Коэффициент абсолютной ликвидности (платежеспособности) =  денежные средства и их эквиваленты / краткосрочные пассивы.

Коэффициент абсолютной ликвидности характеризует платежеспособность предприятия на дату составления баланса.

Этот показатель является наиболее жестким критерием ликвидности предприятия, показывает какая часть краткосрочных заемных обязательств может быть при необходимости погашена немедленно.

Нижняя граница показателя 0,2.

6)  Доля собственных оборотных средств в покрытии запасов (ДСОС) = собственные оборотные средства / (запасы + затраты).

Он показывает, в какой степени материальные запасы покрыты собственными средствами и не нуждаются в привлечении в привлечении заемных.

Его нормативное ограничение от 0,5…0,8

7)  Нормальные источники покрытия запасов (НИПЗ) = собственные оборотные средства + ссуды банка под товары (работы, услуги) + расчеты с кредиторами по товарным операциям.

8)  Доля нормальных источников покрытия запасов в покрытии запасов (ДНИПЗ) = нормальные источники в покрытии запасов /  (запасы + затраты)

Если значение этого показателя ниже 1, то текущее состояние предприятия рассматривается как неустойчивое.

9)  Доля оборотных средств в активах = оборотные активы / имущество предприятия.

10)  Доля собственных оборотных средств в общей их сумме =  собственные оборотные средства /  оборотные активы.

11)  Доля запасов в оборотных активах = (запасы + затраты) / оборотные активы.

Ликвидность и платежеспособность предприятия в целом зависит от типа расчетно-кредитной политики предприятия, которая может быть представлена двумя аспектами:

1.  политика самокредитования

2.  политика поощрения партнеров

Политика самокредитования осуществляется предприятием в том случае, если оборачиваемость дебиторской задолженности выше, чем кредиторской. Политика самокредитования приводит к увеличению входящего денежного потока, за счет чего растут показатели абсолютной ликвидности.

Политика поощрения партнеров имеет широкое распространение за рубежом и используется в виде предоставления скидок покупателям, в т.ч. и за предоплату.

В отечественной практике эта система применяется редко, может применятся предприятием испытывающим трудность со сбытом продукции или стремящимся к наращиванию объема сбыта, но работал при этом с платежеспособными покупателями.

13.  Анализ показателей рентабельности.

Оценка эффективности хозяйственной деятельности оценивается с помощью показателей рентабельности, прибыльности, доходности капитала, ресурсов, продукции, предприятия.

Анализ рентабельности заключается в исследовании уровней и динамики разнообразных финансовых коэффициентов, которые являются относительными показателями финансовых результатов деятельности предприятия.

В данных формулах намеренно не конкретизирован показатель прибыли, поскольку в качестве него может быть взята прибыль от реализации, которая равна нетто-выручке от реализации – себестоимость; балансовая прибыль, она равна доходы – расходы; чистая прибыль = налогооблагаемая прибыль – налог на прибыль = валовой доход – валовой расход – амортизация.

В формулах же конкретизирован также показатель средней за период величины средств предприятия или их источников. В качестве данного показателя могут быть использованы итог баланса, величины мобильных средств, материальных мобильных средств, готовой продукции, дебиторской задолженности, основных средств и прочих внеоборотных активов, собственных средств, перманентного капитала и т.д.

В формулах не конкретизирован показатель прибыли и в качестве него может быть использована:

·     прибыль от реализации, равная разнице между нетто-выручкой от реализации и себестоимостью;

·     балансовая прибыль, равная разнице между доходами и расходами отчетного периода;

·     чистая прибыль, равная разнице между налогооблагаемой прибылью и налогом на прибыль;

·     налогооблагаемая прибыль, равная валовым доходам, уменьшенным на сумму валовых расходов и амортизации.

Показатели рентабельности рассчитываются на основании Баланса и Отчета о финансовых результатах и должны изучаться в динамике.

Рассмотрим наиболее важные финансовые коэффициенты рентабельности.

В качестве прибыли берем Валовую / балансовую прибыль.

1) Рентабельность продаж = Прибыль / Выручку от реализации

Этот показатель показывает сколько прибыли приходится на единицу реализованной продукции.

2) Рентабельность всего капитала фирмы = средний итог баланса-нетто / прибыли

Этот показатель показывает эффективность использования всего имущества предприятия

3) Рентабельность средств или их источников = прибыль / среднегодовую величину активов

Этот показатель отражает эффективность использования основных средств и прочих внеоборотных активов, измеряемую величиной прибыли, приходящейся на единицу стоимости средств.

4) Рентабельность собственного капитала = Прибыль / Среднегодовую стоимость собственного капитала

Определяется общей доходностью деятельности предприятия, зависит от структуры капитала и характера воздействия финансового ливереджа.

Динамика рентабельности собственного капитала оказывает воздействие на котировки акций предприятия на рынке ценных бумаг.

5) Рентабельность перманентного капитала = прибыль / среднюю величину собственного капитала и долгосрочных заемных средств

Отражает эффективность использования капитала вложения в деятельность фирмы на длительный срок.

6) Рентабельность основных средств и других необоротных активов = прибыль / среднегодовую величину основных средств и необоротных активов.

Рост этого показателя при снижении рентабельности активов свидетельствует об убыточном увеличении мобильных средств предприятия, что может быть следствием формирования излишних ТМЦ, затоваренности готовой продукции, чрезмерного роста дебиторской задолженности или денежных средств.

14.  Коэффициенты рентабельности.

Оценка эффективности хозяйственной деятельности оценивается с помощью показателей рентабельности, прибыльности, доходности капитала, ресурсов, продукции, предприятия.

Анализ рентабельности заключается в исследовании уровней и динамики разнообразных финансовых коэффициентов, которые являются относительными показателями финансовых результатов деятельности предприятия.

В данных формулах намеренно не конкретизирован показатель прибыли, поскольку в качестве него может быть взята прибыль от реализации, которая равна нетто-выручке от реализации – себестоимость; балансовая прибыль, она равна доходы – расходы; чистая прибыль = налогооблагаемая прибыль – налог на прибыль = валовой доход – валовой расход – амортизация.

В формулах же конкретизирован также показатель средней за период величины средств предприятия или их источников. В качестве данного показателя могут быть использованы итог баланса, величины мобильных средств, материальных мобильных средств, готовой продукции, дебиторской задолженности, основных средств и прочих внеоборотных активов, собственных средств, перманентного капитала и т.д.

В формулах не конкретизирован показатель прибыли и в качестве него может быть использована:

·     прибыль от реализации, равная разнице между нетто-выручкой от реализации и себестоимостью;

·     балансовая прибыль, равная разнице между доходами и расходами отчетного периода;

·     чистая прибыль, равная разнице между налогооблагаемой прибылью и налогом на прибыль;

·     налогооблагаемая прибыль, равная валовым доходам, уменьшенным на сумму валовых расходов и амортизации.

Показатели рентабельности рассчитываются на основании Баланса и Отчета о финансовых результатах и должны изучаться в динамике.

Рассмотрим наиболее важные финансовые коэффициенты рентабельности.

В качестве прибыли берем Валовую / балансовую прибыль.

1) Рентабельность продаж = Прибыль / Выручку от реализации

Этот показатель показывает сколько прибыли приходится на единицу реализованной продукции.

2) Рентабельность всего капитала фирмы = средний итог баланса-нетто / прибыли

Этот показатель показывает эффективность использования всего имущества предприятия

3) Рентабельность средств или их источников = прибыль / среднегодовую величину активов

Этот показатель отражает эффективность использования основных средств и прочих внеоборотных активов, измеряемую величиной прибыли, приходящейся на единицу стоимости средств.

4) Рентабельность собственного капитала = Прибыль / Среднегодовую стоимость собственного капитала

Определяется общей доходностью деятельности предприятия, зависит от структуры капитала и характера воздействия финансового ливереджа.

Динамика рентабельности собственного капитала оказывает воздействие на котировки акций предприятия на рынке ценных бумаг.

5) Рентабельность перманентного капитала = прибыль / среднюю величину собственного капитала и долгосрочных заемных средств

Отражает эффективность использования капитала вложения в деятельность фирмы на длительный срок.

6) Рентабельность основных средств и других необоротных активов = прибыль / среднегодовую величину основных средств и необоротных активов.

Рост этого показателя при снижении рентабельности активов свидетельствует об убыточном увеличении мобильных средств предприятия, что может быть следствием формирования излишних ТМЦ, затоваренности готовой продукции, чрезмерного роста дебиторской задолженности или денежных средств.

15.  Анализ деловой активности.

Деловая активность предприятия измеряется с помощью системы ко­личественных и качественных критериев.

Качественные критерии — широта рынков сбыта (внутренних и внешних), деловая репутация предприятия, его конкурентоспособ­ность, наличие постоянных поставщиков и покупателей готовой про­дукции (услуг) и др. Данные критерии целесообразно сопоставлять с аналогичными параметрами конкурентов, действующих в отрасли или сфере бизнеса.

Количественные критерии деловой активности характеризуются абсолютными и относительными показателями. Среди абсолютных по­казателей необходимо выделить объем продажи готовой продукции, товаров, работ и услуг (оборот), прибыль, величину авансированного капитала(активов).

Целесообразно сравнивать эти параметры в динамике за ряд перио­дов (кварталов, лет).

Показатели этой группы характеризуют результаты и эффективность текущей основной производственной деятельности. Оценка деловой активности на качественном уровне может быть получена в результате сравнения деятельности данного предприятия и родственных по сфере приложения капитала предприятий. Такими качественными (т.е. неформализованными) критериями являются: широта рынков сбыта продукции; наличие продукции поставляемой на экспорт; репутация предприятия, выражается, в частности, в известности клиентов, пользующихся услугами предприятия, и другое.

Количественная оценка делается по двум направлениям:

-  степень выполнения плана (установленного вышестоящей организацией или самостоятельно) по основным направлениям, обеспечение заданных темпов роста;

-  уровень эффективности использования ресурсов предприятия.

Для реализации первого направления анализа целесообразно также учитывать сравнительную диагностику основных показателей. В частности, оптимально следующее их соотношение:

Тп б > Тр > Так > 100% , где:

Тп б – темп изменения прибыли

Тр – темп изменения реализации

Та к – темп изменения авансированного капитала.

Эта зависимость обозначает, что:

1.  Экономический потенциал предприятия возрастает.

2.  По сравнению с увеличением экономического потенциала объем реализации возрастает более высокими темпами, т.е. ресурсы предприятия используются более эффективно.

3.  Прибыль возрастает опережающими темпами, что свидетельствует, как правило, об относительном снижении издержек производства и обращения.

Приведенное соотношение можно условно назвать «золотым правилом экономики предприятия» (по аналогии с «золотым правилом механики»). Однако возможны отклонения от этой идеальной зависимости, причем не всегда их следует рассматривать как негативные. В частности весьма распространенными причинами являются: освоение новых перспективных направлений приложения капитала, реконструкция и модернизация действующих производств и т.п. Такая деятельность всегда сопряжена со значительными вложениями финансовых ресурсов, которые по большей части не дают сиюминутной выгоды, но в перспективе могут окупиться с лихвой.

Для реализации второго направления могут быть рассчитаны различные показатели, характеризующие эффективность использования материальных, трудовых и финансовых ресурсов. Основные из них – выработка, фондоотдача, оборачиваемость производственных запасов, продолжительность операционного цикла, оборачиваемость авансируемого капитала.

Деловая активность предприятия в финансовом аспекте проявляется прежде всего в скорости оборота его средств. Анализ деловой активности заключается в исследовании уровней и динамики разнообразных финансовых коэффициентов оборачиваемости, которые являются относительными показателями: финансовых результатов деятельности предприятия.

1. Коэффициент оборачиваемости активов (коэффициент трансформации) = нетто-выручка от реализации / средняя величина активов

Коэффициент характеризует эффективность использования предприятием всех имеющихся ресурсов, независимо от  источников их привлечения, он показывает сколько раз за год совершается полный цикл производства и обращения приносящий соответствующий эффект в виде прибыли или сколько денежных единиц реализованной продукции принесла денежная единица активов.

Длительность одного оборота активов (в днях)

Д 0 = 1 / Ктр. * 360

2. Коэффициент оборачиваемости текущих активов = нетто-выручка от реализации / средняя величина текущих активов

Показывает сколько раз в текущем отчетном периоде затраты предприятия на формирование оборотного капитала находят свое возмещение в виде выручки от реализации.

Длительность одного оборота текущих активов (в днях)

Д 0 = средняя величина текущих активов / нетто-выручку от реализации * 360 = 360 / КТА

Показывает за сколько дней происходит полный цикл оборота текущих активов.

По отдельным группам оборотного капитала:

1) коэффициент оборачиваемости запасов = нетто-выручка от реализации / средняя величина запасов за период

Длительность одного оборота запасов:

Д З =360 / К З

2) Длительность одного оборота НЗП = (Среднегодовая величина НЗП / себестоимость реализованной продукции)

3) Коэффициент оборачиваемости готовой продукции = нетто-выручка от реализации / среднегодовая величина остатков готовой продукции

4) Коэффициент оборачиваемости дебиторской задолженности = нетто-выручка от реализации / средняя дебиторская задолженность

Длительность оборота дебиторской задолженности = Средняя дебиторская задолженность / нетто-выручку от реализации * 360

5) Коэффициент оборачиваемости кредиторской задолженности = Нетто-выручка от реализации ± изменение остатков производственных запасов / среднегодовую величину краткосрочной задолженности

6) Коэффициент оборачиваемости основных фондов = нетто-выручка от реализации / среднегодовую стоимость основных фондов

7) Коэффициент оборачиваемости собственного капитала = нетто-выручка от реализации / среднегодовая величина собственного капитала

Все эти показатели важны, так как оборачиваемость активов влияет не только на ликвидность, но и на уровень доходности, т.к. кругооборот средств приводит к получению финансового результата от реализации продукции.

16.  Коэффициент деловой активности.

Деловая активность предприятия измеряется с помощью системы ко­личественных и качественных критериев.

Качественные критерии — широта рынков сбыта (внутренних и внешних), деловая репутация предприятия, его конкурентоспособ­ность, наличие постоянных поставщиков и покупателей готовой про­дукции (услуг) и др. Данные критерии целесообразно сопоставлять с аналогичными параметрами конкурентов, действующих в отрасли или сфере бизнеса.

Количественные критерии деловой активности характеризуются абсолютными и относительными показателями. Среди абсолютных по­казателей необходимо выделить объем продажи готовой продукции, товаров, работ и услуг (оборот), прибыль, величину авансированного капитала(активов).

Целесообразно сравнивать эти параметры в динамике за ряд перио­дов (кварталов, лет).

Показатели этой группы характеризуют результаты и эффективность текущей основной производственной деятельности. Оценка деловой активности на качественном уровне может быть получена в результате сравнения деятельности данного предприятия и родственных по сфере приложения капитала предприятий. Такими качественными (т.е. неформализованными) критериями являются: широта рынков сбыта продукции; наличие продукции поставляемой на экспорт; репутация предприятия, выражается, в частности, в известности клиентов, пользующихся услугами предприятия, и другое.

Количественная оценка делается по двум направлениям:

-  степень выполнения плана (установленного вышестоящей организацией или самостоятельно) по основным направлениям, обеспечение заданных темпов роста;

-  уровень эффективности использования ресурсов предприятия.

Для реализации первого направления анализа целесообразно также учитывать сравнительную диагностику основных показателей. В частности, оптимально следующее их соотношение:

Тп б > Тр > Так > 100% , где:

Тп б – темп изменения прибыли

Тр – темп изменения реализации

Та к – темп изменения авансированного капитала.

Эта зависимость обозначает, что:

4.  Экономический потенциал предприятия возрастает.

5.  По сравнению с увеличением экономического потенциала объем реализации возрастает более высокими темпами, т.е. ресурсы предприятия используются более эффективно.

6.  Прибыль возрастает опережающими темпами, что свидетельствует, как правило, об относительном снижении издержек производства и обращения.

Приведенное соотношение можно условно назвать «золотым правилом экономики предприятия» (по аналогии с «золотым правилом механики»). Однако возможны отклонения от этой идеальной зависимости, причем не всегда их следует рассматривать как негативные. В частности весьма распространенными причинами являются: освоение новых перспективных направлений приложения капитала, реконструкция и модернизация действующих производств и т.п. Такая деятельность всегда сопряжена со значительными вложениями финансовых ресурсов, которые по большей части не дают сиюминутной выгоды, но в перспективе могут окупиться с лихвой.

Для реализации второго направления могут быть рассчитаны различные показатели, характеризующие эффективность использования материальных, трудовых и финансовых ресурсов. Основные из них – выработка, фондоотдача, оборачиваемость производственных запасов, продолжительность операционного цикла, оборачиваемость авансируемого капитала.

Деловая активность предприятия в финансовом аспекте проявляется прежде всего в скорости оборота его средств. Анализ деловой активности заключается в исследовании уровней и динамики разнообразных финансовых коэффициентов оборачиваемости, которые являются относительными показателями: финансовых результатов деятельности предприятия.

1. Коэффициент оборачиваемости активов (коэффициент трансформации) = нетто-выручка от реализации / средняя величина активов

Коэффициент характеризует эффективность использования предприятием всех имеющихся ресурсов, независимо от  источников их привлечения, он показывает сколько раз за год совершается полный цикл производства и обращения приносящий соответствующий эффект в виде прибыли или сколько денежных единиц реализованной продукции принесла денежная единица активов.

Длительность одного оборота активов (в днях)

Д 0 = 1 / Ктр. * 360

2. Коэффициент оборачиваемости текущих активов = нетто-выручка от реализации / средняя величина текущих активов

Показывает сколько раз в текущем отчетном периоде затраты предприятия на формирование оборотного капитала находят свое возмещение в виде выручки от реализации.

Длительность одного оборота текущих активов (в днях)

Д 0 = средняя величина текущих активов / нетто-выручку от реализации * 360 = 360 / КТА

Показывает за сколько дней происходит полный цикл оборота текущих активов.

По отдельным группам оборотного капитала:

1) коэффициент оборачиваемости запасов = нетто-выручка от реализации / средняя величина запасов за период

Длительность одного оборота запасов:

Д З =360 / К З

2) Длительность одного оборота НЗП = (Среднегодовая величина НЗП / себестоимость реализованной продукции)

3) Коэффициент оборачиваемости готовой продукции = нетто-выручка от реализации / среднегодовая величина остатков готовой продукции

4) Коэффициент оборачиваемости дебиторской задолженности = нетто-выручка от реализации / средняя дебиторская задолженность

Длительность оборота дебиторской задолженности = Средняя дебиторская задолженность / нетто-выручку от реализации * 360

5) Коэффициент оборачиваемости кредиторской задолженности = Нетто-выручка от реализации ± изменение остатков производственных запасов / среднегодовую величину краткосрочной задолженности

6) Коэффициент оборачиваемости основных фондов = нетто-выручка от реализации / среднегодовую стоимость основных фондов

7) Коэффициент оборачиваемости собственного капитала = нетто-выручка от реализации / среднегодовая величина собственного капитала

Все эти показатели важны, так как оборачиваемость активов влияет не только на ликвидность, но и на уровень доходности, т.к. кругооборот средств приводит к получению финансового результата от реализации продукции.

17.  Оценка финансовой.устойчивости.

Финансовая устойчивость является отражением стабильного превышения доходов над расходами. Она обеспечивает свободное маневрирование денежными средствами предприятия и способствует бесперебойному процессу производства и реализации продукции. Финансовая устойчивость формируется в процессе всей производственно-хозяйственной деятельности и может считаться главным компонентом общей устойчивости предприятия.

Анализ устойчивости финансового состояния на ту или иную дату позволяет ответить на вопрос, насколько правильно предприятие управляло финансовыми ресурсами в течение периода, предшествующего этой дате. Важно, чтобы состояние финансовых ресурсов соответствовало требованиям рынка и отвечало потребностям развития предприятия. Недостаточная финансовая устойчивость может привести к неплатежеспособности предприятия и отсутствию у него средств для развития производства, а избыточная – препятствовать развитию, отягощая затраты предприятия излишними запасами и резервами. Таким образом, сущностью финансовой устойчивости является эффективное формирование, распределение и использование финансовых ресурсов.

Абсолютными показателями финансовой устойчивости являются показатели, характеризующие уровень обеспеченности оборотных активов источниками их формирования.

Для характеристики источников формирования запасов определяют три основных показателя.

1.      Наличие собственных оборотных средств (СОС).

2.      Наличие собственных и долгосрочных заемных источников формирования запасов и затрат (в готовой продукции) (НИПЗ) 

3.      Общая величина основных источников формирования запасов и затрат (OS), определяем путем увеличения предыдущего показателя на сумму краткосрочных заемных средств (LSR ): OS = SOL + LSR .

Оценить другой аспект финансовой устойчивости можно, выяснив, насколько предприятие обеспечено источниками формирования запасов. Это помогут сделать следующие показатели.

1.      Излишек (+) или недостаток (-) собственных оборотных средств (DСОС): DСОС = СОС – МЗ, где МЗ – запасы.

2. Излишек (+) или недостаток (-) собственных и долгосрочных источников формирования запасов (DНИПЗ): DНИПЗ = НИПЗ –МЗ.

3.  Излишек (+) или недостаток (-) общей величины основных источников формирования запасов (D OS): DOS = OS –МЗ.

При дальнейшем анализе финансовой ситуации на предприятии с использованием названных показателей выделяют четыре типа финансовой устойчивости.

Классификация типов финансовой устойчивости по абсолютным показателям

Тип финансовой устойчивости Признаки
Абсолютная устойчивость

МЗ < СОС + K, где К – кредиты банка под товарно-материальные ценности с учетом кредитов под товары отгруженные и части кредиторской задолженности, зачтенной банком при кредитовании

Нормальная устойчивость

МЗ = СОС + K

Неустойчивое финансовое состояние

МЗ = СОС + K + И, где И – источники, ослабляющие финансовую напряженность, по данным баланса неплатежеспособности

Устойчивое финансовое состояние

МЗ > СОС  + K ; денежные средства, краткосрочные ценные бумаги и дебиторская задолженность не покрывают кредиторской задолженности и просроченных ссуд

Финансовая неустойчивость считается нормальной (допустимой), если величина привлекаемых для формирования запасов краткосрочных кредитов и заемных средств не превышает суммарной стоимости сырья, материалов и готовой продукции, т.е. если выполняются условия:

СМ + ГП ³ LSR ;

НП + РБП £ SOL,

где СМ – сырье, материалы; ГП – готовая продукция; LSR – краткосрочные кредиты и займы для формирования запасов; НП –незавершенное производство; РБП – расходы будущих периодов.

Потолок текущих хозяйственных операций меняет определенное однажды состояние финансовой устойчивости, будучи причиной перехода из одного типа устойчивости в другой. Задача экономиста – так спланировать финансовые и материальные потоки, чтобы их следствием было улучшение финансового состояния предприятия. Для этого необходимо умение определять предельные границы изменения источников средств для покрытия вложений капитала в основные фонды или производственные запасы.

Относительные показатели устойчивости предприятия

Финансовая устойчивость является отражением стабильного превышения доходов над расходами. Она обеспечивает свободное маневрирование денежными средствами предприятия и способствует бесперебойному процессу производства и реализации продукции. Финансовая устойчивость формируется в процессе всей производственно-хозяйственной деятельности и может считаться главным компонентом общей устойчивости предприятия.

Анализ устойчивости финансового состояния на ту или иную дату позволяет ответить на вопрос, насколько правильно предприятие управляло финансовыми ресурсами в течение периода, предшествующего этой дате. Важно, чтобы состояние финансовых ресурсов соответствовало требованиям рынка и отвечало потребностям развития предприятия. Недостаточная финансовая устойчивость может привести к неплатежеспособности предприятия и отсутствию у него средств для развития производства, а избыточная – препятствовать развитию, отягощая затраты предприятия излишними запасами и резервами. Таким образом, сущностью финансовой устойчивости является эффективное формирование, распределение и использование финансовых ресурсов.

Показатели финансовой устойчивости характеризуют степень защищенности интересов инвесторов и кредиторов. Базой их расчета является стоимость имущества, поэтому в целях анализа финансовой устойчивости более пристальное внимание должно быть обращено на пассивы предприятия.

Важнейший показатель данной группы индикаторов – коэффициент концентрации собственного капитала. Его называют также коэффициентом независимости, автономии. Он показывает долю собственных средств в стоимости имущества предприятия и рассчитывается как отношение собственного капитала к итогу баланса.

Величиной, обратной К1, является коэффициент финансовой зависимости. Он рассчитывается как отношение итога баланса к собственному капиталу.

Значение показателя равно 1,52грн. – это означает, что в каждом 1,52грн. вложенных в активы предприятия 52 копейки заемные. Это означает, что владельцы на 79% сами финансируют свое предприятие.

Коэффициент маневренности собственного капитала показывает, насколько мобильны собственные источники средств с финансовой точки зрения. Он рассчитывается как отношение собственных оборотных средств к собственному капиталу.

Чем больше его значение, тем лучше финансовое состояние. Оптимальное значение коэффициента = 0,5.

Зависимость предприятия от внешних займов характеризует соотношение заемных и собственных средств. Это отношение определяется с помощью коэффициента заемного капитала. Он рассчитывается как отношение заемного капитала к итогу баланса.

Чем больше значение показателя, тем выше степень риска акционеров, поскольку в случае невыполнения платежных обязательств возрастает возможность банкротства предприятия. Нормальное значение показателя составляет 0,5 – 1. Превышение суммы задолженности над суммой собственных средств сигнализирует о том, что финансовая устойчивость предприятия вызывает сомнение.

Данные о задолженности предприятия необходимо сопоставлять с долгами дебиторов. Их удельный вес в стоимости имущества рассчитывается по формуле:

Уд  = Дебиторская задолженность / Итог баланса

Долю долгосрочных пассивов в составе внеоборотных активов определяет коэффициент структуры долгосрочных вложений. Он определяется отношением долгосрочных пассивов к внеоборотным активам.

Коэффициент долгосрочного привлечения заемных средств = Долгосрочные пассивы / (Долгосрочные пассивы + Собственный капитал)

Для характеристики соотношения заемных средств и других элементов капитала рассчитываются:

1)       коэффициент структуры заемного капитала = Долгосрочные пассивы / Заемный капитал

2)       коэффициент соотношения заемных и собственных средств = Заемный капитал / Собственный капитал.

На финансовую устойчивость предприятия влияет огромное многообразие факторов. Их можно классифицировать по месту возникновения – на внутренние и внешние, по важности результата – на основные и второстепенные,  по структуре – на простые и сложные, по времени действия – на постоянные и временные.

Внутренние факторы зависят от организации работы самого предприятия. Внешние же от решений руководства и коллектива предприятия по понятным причинам не зависят. Компетенция и профессионализм менеджеров предприятия, их умение учитывать изменения внутренней и внешней среды, слаженность работы коллектива являются почти во всех случаях самыми важными факторами финансовой устойчивости. Кроме того, к основным внутренним факторам относятся:

·          состав и структура выпускаемой продукции и оказываемых услуг, выручка в неразрывной связи с затратами производства (их динамика), потенциальная возможность предприятия занять определенную долю рынка;

·          оптимальный состав и структура активов (в том числе – размер оплаченного уставного капитала), а также правильный выбор стратегии управления ими;

·          состав и структура, состояние имущества, финансовых ресурсов, правильный выбор стратегии и тактики управления ими;

·          средства, дополнительно мобилизуемые на рынке ссудных капиталов;

·          резервы как одна из форм финансовой гарантии платежеспособности хозяйствующего субъекта, а также отраслевая принадлежность субъекта хозяйствования.

К внешним факторам относится влияние общих экономических и социальных условий хозяйствования: уровень развития техники и технологии в отрасли, платежеспособный спрос населения, экономическая политика правительства, ее стабильность и обоснованность, законодательно-правовая база хозяйственной деятельности.

Коэффициенты финансовой устойчивости удобны тем, что они позволяют определить влияние различных факторов на изменение финансового состояния предприятия, оценить его динамику. Каждая группа коэффициентов  отражает определенную сторону финансового состояния предприятия. Однако нельзя забывать, что относительные финансовые показатели являются лишь ориентировочными индикаторами финансового состояния предприятия, его платежеспособности и кредитоспособности.

18.  Прогнозирование банкротства. Критерии Альтмота.

Банкротство является результатом кризисного развития предприя­тия, когда оно проходит путь от эпизодической до хронической неплате­жеспособности перед кредиторами. Поэтому можно сделать предполо­жение, что предпосылки банкротства зарождаются внутри предприятия, в том числе и в структуре его капитала.

При экспресс-диагностике финансового состоя­ния предприятия для предупреждения его возможного банкротства, целесообразно использовать дополнительные показатели.

1. Коэффициент текущей ликвидности (КТЛ):

Из краткосрочных обязательств (знаменателя дроби) исключаются такие статьи раздела V бухгалтерского баланса, как Доходы будущих периодов; Резервы предстоящих расходов и платежей; Задолженность участникам (учредителям) по выплате доходов. Рекомендуемое значе­ние показателя 2,0.

2. Коэффициент обеспеченности собственными средствами (КОСО):

где СК — собственный капитал; ДО — долгосрочные обязательства; ВОА — внеоборотные активы; ОА — оборотные активы. Рекомендуемое значение показателя 0,1 (или 10%).

3. Коэффициент восстановления (утраты) платежеспособности (КВП) характеризуется отношением расчетного КТЛ к его нор­мативному значению, равному двум.

Расчетный КТЛ определяется как сумма его фактического состояния на конец отчетного периода и изменения этого показателя между окон­чанием и началом отчетного периода в перерасчете на установленный период восстановления (утраты) платежеспособности (6 и 3 месяца).

где КВП — коэффициент восстановления (утраты) платежеспособно­сти за период б месяцев; КТЛКП и КТЛНП — фактическое значение ко­эффициентов текущей ликвидности на конец и начало отчетного пе­риода; КТЛно м •- нормативное значение коэффициента = 2,0; Т — расчетный период, мес.

Рекомендуемое значение КВП = 1,0. КВП > 1,0 и рассчитанный на период 6 месяцев свидетельствует о наличии у предприятия реальной возможности восстановить свою платежеспособность. КВП, принима­ющий значение < 1,0 и рассчитанный на период б месяцев, свидетель­ствует о том, что у предприятия в ближайшее время нет реальной воз­можности восстановить свою платежеспособность.

Фундаментальная диагностика банкротства осуществляется с по­мощью общепринятых коэффициентов финансовой устойчивости, платежеспособности и ликвидности, рассчитанных по бюджету по ба­лансовому листу (прогнозному балансу активов и пассивов).

Помимо рассмотренных коэффициентов, позволяющих установить несостоятельность предприятия, существуют и другие критерии, даю­щие возможность прогнозировать потенциальное банкротство.

К их числу относятся:

1) неудовлетворительная структура активов (имущества) предприя­тия, которая выражается в росте доли труднореализуемых активов (сомнительной дебиторской задолженности; запасов с длительны­ми сроками хранения; готовой продукции, не пользующейся спро­сом у покупателей);

2) замедление оборачиваемости оборотных активов и ухудшение со­стояния расчетов с поставщиками, покупателями и другими парт­нерами;

3) сокращение периода погашения кредиторской задолженности при замедлении оборачиваемости оборотных активов;

4) тенденция к вытеснению в составе обязательств дешевых заем­ных средств более «дорогими» и их неэффективное размещение в активе баланса;

5) наличие просроченной кредиторской задолженности и увеличе­ние ее доли в составе краткосрочных обязательств;

6) значительные суммы непогашенной дебиторской задолженности (с истекшими сроками исковой давности), относимой на убытки;

7) тенденция опережающего роста срочных обязательств по сравне­нию с изменением высоколиквидных активов;

8) резкое падение коэффициентов ниже рекомендуемых значений;

9) нерациональное размещение денежных ресурсов предприятия, т. е. формирование долгосрочных активов за счет краткосрочных обязательств;

10) наличие на балансе значительных убытков, что увеличивает зна­чение коэффициента финансового риска (более 10% от общего объема капитала предприятия).

Критерий Альтмана

Этот метод предложен в 1968 г. известным западным экономистом Альтманом (Edward I. Altman). Индекс кредитоспособности построен с помощью аппарата мультипликативного дискриминантного анализа (Multiple-discriminant analysis – MDA) и позволяет в первом приближении разделить хозяйствующие субъекты на потенциальных банкротов и не банкротов.   

При построении индекса Альтман обследовал 66 предприятий промышленности, половина из которых обанкротилась в период между 1946 и 1965 г., а половина работала успешно, и исследовал 22 аналитических коэффициента, которые могли быть полезны для прогнозирования возможного банкротства. Из этих показателей он отобрал пять наиболее значительных для прогноза и построил многофакторное регрессивное управление. Таким образом, индекс Альтмана представляет собой функцию от некоторых показателей, характеризующих экономический потенциал предприятия и результаты его работы за истекший период. В общем виде индекс кредитоспособности (Z) имеет вид:

Z = 3,3 * K1 + 1,0 * K2  + 0,6 * K3 + 1,4 * K4 + 1,2 * K5,

где показатели К1, К2, К3, К4, К5 рассчитываются по следующим алгоритмам:

К1 = Прибыль до выплаты %, налогов / Всего активов

К1  = 42 / 69,8  = 0,6

К2 = Выручка от реализации / Всего активов

К2  = 470,8  / 69,8 = 6,74

К3 = Собственный капитал / Привлеченный капитал

К3  = 56,8 / 13,7 = 4,15

К4 = Реинвестированная прибыль / Всего активов

К4  = 25,2 / 69,8 = 0,36

К5 = СОС / Всего активов

К5  = 65,4 / 69,8  = 0,94

Z  = 3,3*0,6 + 1,0*6,74 + 0,6*4,15 + 1,4*0,36 + 1,2*0,94 = =12,842

Критическое значение индекса Z рассчитывалось Альтманом по данным статистической выборки и составило 2,675. С этой величиной сопоставляется расчетное значение индекса кредитоспособности для конкретного предприятия. Это позволяет провести границу между предприятиями и высказать суждение о возможном в обозримом будущем (2-3 года) банкротстве одних (Z < 2,675) и достаточно устойчивом финансовом положении других (Z > 2,675). 

Известны и другие подобные критерии, в частности, британские ученные Тафлер и Тишоу предложили в 1977г. четырехфакторную прогнозную модель.

Приведенная методика имеет один, но весьма серьезный недостаток – по существу ее можно рассматривать лишь в отношении крупных компаний, котирующих свои акции на биржах. Именно для таких компаний можно получить объективную рыночную оценку собственного капитала (показатель К3).

Тем не менее имеется опыт расчета индекса Z для отчетных компаний нефтегазового комплекса.

19.  Система    формализации    и    реформализации    критериев    при    прогнозирования банкротства.

Расчет индекса кредитоспособности в наиболее законченном виде возможен лишь для компаний, котирующих свои акции на фондовых биржах. Кроме того, ориентация на какой-то один .критерий, даже весьма привлекательный с позиции теории, на практике не всегда оправданна. Поэтому многие крупные ауди­торские фирмы и другие компании, занимающиеся аналитичес­кими обзорами, прогнозированием и консультированием, испо­льзуют для своих аналитических оценок системы критериев. Без­условно, в этом есть и свои минусы — гораздо легче принять решение в условиях однокритериальной, чем в условиях много­критериальной задачи. Вместе с тем любое прогнозное решение

подобного рода независимо от числа критериев является субъек­тивным, а рассчитанные значения критериев носят скорее харак­тер информации к размышлению, нежели побудительных стиму­лов для принятия немедленных решений волевого характера.

В качестве примера можно привести рекомендации Комитета по обобщению практики аудирования (Великобритания), содер­жащие перечень критических показателей для оценки возможного банкротства предприятия. Основываясь на разработках западных аудиторских фирм и преломляя эти разработки к отечественной специфике ведения бизнеса, можно рекомендовать следующую двухуровневую систему показателей.

К первой группе относятся критерии и показатели, неблагоп­риятные текущие значения которых или складывающаяся дина­мика изменения свидетельствуют о возможных в обозримом будущем значительных финансовых затруднениях, в том числе и банкротстве. К ним относятся:

повторяющиеся существенные потери в основной производст­венной деятельности;

превышение некоторого критического уровня просроченной кредиторской задолженности;

чрезмерное использование краткосрочных заемных средств в качестве источников финансирования долгосрочных вложений;

устойчиво низкие значения коэффициентов ликвидности;

хроническая нехватка оборотных средств;

устойчиво увеличивающаяся до опасных пределов доля заем­ных средств в общей сумме источников средств;

неправильная реинвестиционная политика;

превышение размеров заемных средств над установленными лимитами;

хроническое невыполнение обязательств перед инвесторами, кредиторами и акционерами (в отношении своевременности воз­врата ссуд, выплаты процентов и дивидендов);

высокий удельный вес просроченной дебиторской задолжен­ности;

наличие сверхнормативных и залежалых товаров и производ­ственных запасов;

ухудшение отношений с учреждениями банковской системы;

использование (вынужденное) новых источников финансовых ресурсов на относительно невыгодных условиях;

применение в производственном процессе оборудования с ис­текшими сроками эксплуатации;                 

потенциальные потери долгосрочных контрактов;

неблагоприятные изменения в портфеле заказов.

Во вторую группу входят критерии и показатели, неблагопри­ятные значения которых не дают основания рассматривать теку­щее финансовое состояние как критическое; вместе с тем они указывают, что при определенных условиях, обстоятельствах или непринятии действенных мер ситуация может резко ухудшиться. К ним относятся:

потеря ключевых сотрудников аппарата управления;

вынужденные остановки, а также нарушения ритмичности производственно-технологического процесса;

недостаточная диверсификация деятельности предприятия, т.е. чрезмерная зависимость финансовых результатов деятель­ности предприятия от какого-то одного конкретного проекта, типа оборудования, вида активов и др.;

излишняя ставка на возможную и прогнозируемую успеш­ность и прибыльность нового проекта;

участие предприятия в судебных разбирательствах с непред­сказуемым исходом;

потеря ключевых контрагентов;

недооценка необходимости постоянного технического и тех­нологического обновления предприятия;

неэффективные долгосрочные соглашения;

политический риск, связанный с предприятием в целом или его ключевыми подразделениями.

Не все из рассмотренных критериев могут быть рассчитаны непосредственно по данным бухгалтерской отчетности, нужна дополнительная информация. Что касается критических значений

этих критериев, то они должны быть детализированы по отрас­лям и подотраслям, а их разработка может быть выполнена после накопления определенных статистических данных.

20.  Анализ оборачиваемости дебиторской и кредиторской задолженности.

Уровень дебиторской и кредиторской задолженности определяется многими факторами в том числе:

- виды выпускаемой продукции

- емкость рынка

- степень насыщенности рынка данной продукцией

- принятая на предприятии система расчетов

Контроль за дебиторской и кредиторской задолженностью включает в себя: ранжирование задолжености по срокам ее возникновения. Наиболее распространенным является классификация предусмотрена след-я группировка (дней): 1) 0-30 2) 31-60 3) 61-90 4) 91-120

 5)121-360 6) свыше года 7 безнадежная

Контроль безнадежных долгов осуществляется с целью образования необходимого резерва, а также для своевременности погашения задолженности.

Контроль уровня Д и К задолженностей можно проводить с помощью абсолютных и относительных показателей рассматриваемых в динамике.

Самыми распространенными являются коэфициенты погашения задолженности.

К. пог. Деб. Зад. = ( Задолженность за товары и услуги по векселям полученным и авансы выданные поставщикам)/ нетто выр от реализ

Критическое значение данного коэфициента 1/26, если выше то проблемы с дебиторами.

Анологично кредиторская

В зависимости от размеров анализ ур-ня задолженности как сплошным, так и выборочным методом.

Общая схема контроля и анализа уровня Деб зад-ти включает этапы:

1.     Задается критический уровень дебиторской задолженности. Все расчетные документы относ-ся к задолженности превышают критический уровень подвергаются проверке в обязательном порядке.

2.     Из оставшихся расчетных документов делается контрольная выборка т.е. проверяются например каждый документ или по времени возникновения задолжености и по ден. измерителю.

3.     Проверяется реальность сумм дебиторской задолжености в отобранных расчетных документах

4.     Оценивается существенность выявленных ошибок, т.е. опред. Отклонения между учетной и подтвержденной в рез-те контрольной проверки суммами:

- превыш 10% - существенное

- 5-10% - решение о существенности на усмотрение

- менее 5% несущественное.

21.  Цена капитала: базовая концепция.

Любое предприятие нуждается в источниках средств, чтобы финансировать свою деятельность. В зависимости от длительности существования в данной конкретной форме активы предприятия, равно как и источники средств, можно подразделить на кратко- и долгосрочные. Привлечение того или иного источника финансиро­вания связано для предприятия с определенными затратами: акционерам нужно выплачивать дивиденды, банкам — проценты за предоставленные ими ссуды и др. Общая сумма средств, которую нужно уплатить за использование определенного объема финансо­вых ресурсов, выраженная в процентах к этому объему, называется гиеной капитала. В идеале предполагается, что текущие активы финансируются за счет краткосрочных, а средства длительного пользования — за счет долгосрочных источников средств. Благода­ря этому оптимизируется общая сумма расходов по привлечению средств.

Концепция цены капитала является одной из базовых в те­ории капитала. Она не сводится только к исчислению процентов, которые нужно уплатить владельцам финансовых ресурсов, но также характеризует ту норму рентабельности инвестированного капитала, которую должно обеспечивать предприятие, чтобы не уменьшить свою рыночную стоимость.

Следует различать два понятия — цена капитала данного пред­приятия и цена предприятия в целом как субъекта на рынке капи­талов. Первое понятие количественно выражается в сложившихся на предприятии относительных годовых расходах по обслужива­нию своей задолженности перед собственниками и инвесторами. Второе может характеризоваться различными показателями, в частности величиной собственного капитала. Оба эти понятия количественно взаимосвязаны. Так, если предприятие участвует в инвестиционном проекте, доходность которого меньше, чем цена капитала, цена предприятия по завершении этого проекта умень­шится. Таким образом, цена капитала является ключевым элемен­том теории и практики решений инвестиционного характера.

Анализ структуры пассива баланса, характеризующего источ­ники средств, показывает, что основными их видами являются: внутренние источники (средства собственников или участников в виде уставного капитала, нераспределенной прибыли и фондов собственных средств), заемные средства (ссуды и займы банков и прочих инвесторов), временно привлеченные средства (кредито­ры). Причины их образования, а также величина и доля в общей сумме источников средств могут быть различными.

Уставный капитал изначально формируется как основа стар­тового капитала, необходимого для создания предприятия. При этом владельцы или участники предприятия формируют его ис­ходя из собственных финансовых возможностей и в размере, достаточном для выполнения той деятельности, ради которой оно создается. Фонды собственных средств, представляющие со­бой по сути отложенную к распределению прибыль, формируют­ся либо вынужденно (например, резервный фонд), либо осознан­но владельцы предполагают, что достигаемое таким образом расширение объемов деятельности представляет собой более вы­годное размещение капитала, чем изымание прибыли и направле­ние ее на потреб л ение или в другую сферу бизнеса. Временно привлеченные средства образуются на предприятии, как правило, в результате временного лага между получением товарно-мате­риальных ценностей и их оплатой.

Цена каждого из приведенных источников средств различна, поэтому цену капитала предприятия находят по формуле средней арифметической взвешенной. Основная сложность заключается в исчислении стоимости единицы капитала, полученного из конкретного источника средств. Для некоторых источников ее можно вычислить достаточно легко (например, цена банковского кредита), по другим источникам это сделать довольно трудно, причем точное исчисление в принципе невозможно. Тем не менее даже приблизительное знание цены капитала предприятия весьма полезно как для сравнительного анализа эффективности авансирования средств в его деятельность, так и для осуществления его собственной инвестиционной политики.

Таким образом, экономическая интерпретация показателя «цена капитала» очевидна — он показывает, какую сумму следу­ет заплатить за привлечение единицы капитала из данного источ­ника. Показатель исчисляется в процентах и, как правило, по годовым данным.

22.  Цена основных источников капитала.

Можно выделить три основных источника капитала: заемный капитал; акционерный капитал; отложенная прибыль (фонды соб­ственных средств и нераспределенная прибыль).

Основными элементами заемного капитала являются ссуды банка и выпущенные предприятием облигации. Цена первого эле­мента должна рассматриваться с учетом налога на прибыль. Дело в том, что проценты за пользование ссудами банка включаются в себестоимость продукции. Поэтому цена единицы такого источ­ника средств (Кбс) меньше, чем уплачиваемый банку процент (р):

где Н— ставка налога на прибыль.

Цена такого источника средств, как облигации хозяйствующе­го субъекта, приблизительно равна величине уплачиваемого про­цента.

В некоторых странах проценты по облигациям также раз­решено относить на прибыль до налогообложения. Поэтому цена этого источника иногда уточняется. Для вновь планируемого выпуска облигационного займа при расчете его цены необходимо учитывать влияние возможной разницы между ценой реализации облигаций и их нарицательной стоимостью (последняя нередко. может быть выше, в частности, за счет расходов по выпуску облигаций и продажи их на условиях дисконта):

где Коб — цена облигационного займа как источника средств предприятия; р — ставка процента (в долях единицы); С„ — величина займа (нарицательная стоимость); Ср — реализационная цена облигаций; к — срок займа (количество лет); Н — ставка налога на прибыль (в долях единицы).

онерам. Поскольку по привилегированным акциям выплачивает­ся фиксированный процент, цена источника средств «привилеги­рованные акции» (Кпа) рассчитывается по формуле:

где Д — размер фиксированного дивиденда (в денежных единицах); Una — текущая (рыночная) цена привилегированной акции.

Приведенная оценка может искажаться, если было несколько выпусков акций, в ходе которых они продавались по разной цене. В этом случае можно воспользоваться формулой средней арифметичес­кой взвешенной. Если предприятие планирует увеличить свой капитал за счет дополнительного выпуска привилегированных акций, то цена этого источника средств также рассчитывается по формуле (7.3), однако полученную оценку необходимо уточнить на величину расходов по организации выпуска, как это было приведено выше.

Размер дивидендов по обыкновенным акциям заранее не опре­делен и зависит от эффективности работы предприятия. Поэтому цену источника средств «обыкновенные акции» (Коа) можно рас­считать с меньшей точностью. Существуют различные методы оценки, из которых наибольшее распространение получили опи­санные в гл. 4: а) модель Гордона; б) модель САРМ.

Из формулы (5.8):

где Дп — прогнозное значение дивиденда на ближайший период; Цоа — текущая (рыночная) цена обыкновенной акции; g — прогнозируемый темп прироста дивидендов.

Такой i горитм расчета имеет ряд недостатков. Во-первых, он может быть реализован лишь для компаний, выплачивающих дивиденды. Во-вторых, показатель Коа очень чувствителен к изменению коэффициента g. В-третьих, здесь не учитывается фактор риска.

Эти недостатки в известной Степени снимаются, если приме­няется модель САРМ. Однако и этот подход может быть ре­ализован лишь при определенных условиях. В частности, необ­ходимо иметь информацию о рынке ценных бумаг: премия за риск, норма дохода в среднем на рынке, ^-коэффициенты.

Отложенная к выплате прибыль нередко может занимать боль­шой удельный вес в общей сумме источников собственных средств. Цена этого источника также может рассчитываться различными методами. Один из наиболее распространенных подходов основан на следующей идее. Голосуя за реинвестирование части своей прибыли, акционеры неформально предполагают, что для них более выгодны изъятие прибыли и вложение ее в какие-то другие рыночные активы. В некотором смысле такая операция равносиль­на приобретению ими новых акций. Таким образом, цена источ­ника средств «отложенная к выплате прибыль» численно равна цене источника средств «обыкновенные акции».

Собственный капитал

-   добавочный капитал - не имеет стоимости и не может быть использован как источник инвестиционных ресурсов, так как, в основном, этот капитал формируется как результат переоценки активов предприятия;

-   привилегированные акции – оцениваются по уровню фиксированного дивиденда, который выплачивается ежегодно практически при любых обстоятельствах;

-   обыкновенные акции – их цена измеряется на основе различных методов, но наиболее распространенным является расчет, основанный на измерении прогнозируемого уровня дивиденда или дивиденда, выплаченного в отчетном периоде, скорректированного на прогнозируемый прирост дивидендов, то есть

Kоа = (Дотч./Арын.об.акц) + DТоа

Коа – стоимость обыкн.акц.,

Дотч. – дивиденды, выплаченные в отчетном периоде,

Арын.об.акц. – рын.стоимость обыкн.акций,

Тоа – прогнозируемый прирост дивидендов по обыкновенным акциям

-   нераспределенная прибыль (отложенная к выплате), то есть та прибыль, которая существует для капитализации, реинвестирования. Этот источник не является бесплатным, так как на ЧП, оставшуюся после выплаты налогов и дивидендов по привилегированным акциям, претендуют обыкновенные акционеры. Наиболее распространенным способом оценки стоимости нераспределенной прибыли является ее оценка по уровню дивидендов, выплаченных по обыкновенным акциям.

23.  Взвешенная цена капитала

На практике любое предприятие финансирует свою деятель­ность, в том числе и инвестиционную, из различных источников. За пользование авансированными в деятельность предприятия фина­нсовыми ресурсами оно уплачивает проценты, дивиденды, вознаг­раждения и т. п., т. е. несет некоторые обоснованные расходы на поддержание своего экономического потенциала. Как было пока­зано выше, каждый источник средств имеет свою цену как сумму расходов по обеспечению данного источника. Показатель, характе­ризующий относительный уровень общей суммы этих расходов, как раз и составляет цену авансированного капитала (СС). Этот показатель, отражает сложившийся на предприятии минимум возврата на вложенный в его деятельность капитал, его рентабель­ность и рассчитывается по формуле средней арифметической взвешенной по нижеприведенному алгоритму.

где k; — цена i-ro источника средств;

di — удельный вес j-го источника средств в общей их сумме.

дивидендной политике составляет 13,8%. Экономический смысл этого показателя заключается в следующем: предприятие может принимать любые решения инвестиционного характера, уровень рентабельности которых не ниже текущего значения показа­теля СС. Именно с ним .сравнивается показатель IRR, рас­считанный для конкретного проекта, при этом связь между ними такова.

Если IRR > СС, то проект следует принять; IRR < СС, то проект следует отвергнуть; IRR = СС, то проект ни прибыльный, ни убыточный.

Какова же возможная вариация компаний по показателю «цена капитала»? Статистика по отечественным предприятиям, естественно, отсутствует. Можно привести пример из западной практики.' Так, по данным о 177 американских компаниях, опуб­ликованным в журнале «Fortune», 16,8% компаний из анализиру­емой выборки имели цену капитала до 11%; 65% компаний — от 11% до 17%; 19,2% компаний — свыше 17%.

Показатель взвешенной цены капитала может использоваться для оценки цены предприятия в целом. Один из возможных подходов для такой оценки заключается в следующем.

Вспомним, что цена любого финансового актива (Ца) при заданном уровне приемлемой доходности (г) и прогнозируемых по годам доходах (Д,) определяется по формуле.

Если доходы по годам одинаковы (Д), то эта формула транс­формируется следующим образом:

Предположим, что предприятие генерирует по годам один и тот же уровень доходов, используемых, естественно, для покры­тия расходов по обслуживанию источников капитала. Таковых два — собственный капитал и заемный капитал. Обслуживание первого источника равносильно выплате дивидендов; обслужива­ние второго источника сводится к выплате процентов. Если для простоты предположить, что вся чистая прибыль распределяется между акционерами, то обобщенной характеристикой уровня расходов является показатель взвешенной цены капитала (СС). Обобщенной характеристикой дохода, используемого для обслу­живания источников капитала, в этом случае является валовой доход, уменьшенный на величину налога на прибыль и других обязательных отчислений от прибыли (рис. 7.1).

Показатель ДР имеет следующую экономическую интерпрета­цию: он характеризует общую сумму средств в год, затраченных на обслуживание, собственного и нривлеченного капитала и чис­ленно равных: а) сумме процентов, уплаченных за год за испольт зование привлеченных источников средств; б) сумме выплаченных дивидендов; в) сумме реинвестированной прибыли.

Исходя из сделанных предпосылок цена предприятия (Цп) может быть найдена по формуле

Средневзвешенная стоимость капитала - обобщающий показатель, характеризующий относительный уровень затрат или общую сумму всех расходов, возникающих в связи с привлечением и использованием капитала, и в то же время можно сказать, что это минимум возврата на вложенный капитал.

Формула средневзвешенной стоимости капитала основывается на средневзвешенной арифметической величине, где весами выступают доли отдельных источников в общей сумме, а сам показатель средневзвешенной величины выражает среднегодовую стоимость, выраженную в %.

ССК = S di * ki    , где

-   di - удельный вес каждого источника в общей сумме,

-   ki цена i-го источника, выраженная в процентах в среднегодовом исчислении

24.  Предельная цена капитала.

Цена существующей структуры капитала — это оценка по данным истекших периодов. Очевидно, что цена отдельных ис­точников средств, равно как и структура капитала, постоянно меняется. Поэтому и взвешенная цена капитала не является постоянной величиной — она меняется с течением времени, нахо­дясь под влиянием многих факторов. Одним из них является расширение объема новых инвестиций. Наращивание экономичес­кого потенциала предприятия может осуществляться как за счет

собственных средств (реинвестирование части прибыли), так и за счет привлеченных средств. Первый источник средств относитель­но дешевый, но ограничен в размерах. Второй источник в принци­пе не ограничен сверху, но цена его может существенно меняться в зависимости от структуры авансированного капитала. Относи­тельный рост в динамике второго источника, как правило, при­водит к возрастанию цены капитала в целом как платы за возрастающий риск.

Исходя из вышесказанного вводится понятие предельной цены капитала, рассчитываемой на основе прогнозных значений рас­ходов, которые компания вынуждена будет понести для воспро­изводства требуемой структуры капитала при сложившихся усло­виях фондового рынка. Например, компания планирует участие в крупном инвестиционном проекте, для реализации которого по­требуются дополнительные источники финансирования, которые можно будет получить лишь на фондовом рынке. В этом случае прогнозная цена капитала, которая и будет являться предельной, может существенно отличаться от текущей цены.


25.  Леверидж и его роль в финансовом менеджменте.

Количественная оценка риска и факторов, его обусловивших, осу­ществляется на основе анализа вариабельности прибыли. В терминах финансов взаимосвязь между прибылью и стоимостной оценкой зат­рат активов или фондов, понесенных для получения данной прибы­ли, характеризуется с помощью показателя «леверидж». В букваль­ном понимании леверидж означает действие небольшой силы (рычага), с помощью которой можно перемещать довольно тяжелые предметы. В приложении к экономике он трактуется как некоторый фактор, небольшое изменение которого может привести к существенному изменению ряда результативных показателей.        

Прежде всего отметим, что можно выделить несколько показателей прибыли, благодаря чему удается иденти­фицировать и количественно измерить влияние тех или иных факторов, в том числе и факторов, обусловливающих тот или иной вид рис­ка. Точно так же возможны различное представление расходов компа­нии и различная их группировка.

          Термин «леверидж» представляет собой варваризм, т.е. прямое заимствование американского термина «lеvеrage», уже достаточно широко используемый в отечественной специальной литературе; отметим, что в Великобритании для той же цели применяется термин «Gearing». В некоторых монографиях используют термин «рычаг», что вряд ли следует признать удачным даже в лингвистическом смысле, поскольку в буквальном перево­де в английском рычагом является «lever», но никак не «1еverege».

Леверидж  в приложении к финансовой сфере трактуется как определенный фактор, небольшое изменение которого может привести существенному изменению результирующих показателей.

В финансовом менеджменте различают следующие виды левериджа:

-   финансовый

-   производственный (операционный)

-   производственно-финансовый

Всякое предприятие является источником риска. При этом риск возникает на основе факторов производственного и финансового характера. Эти факторы формируют расходы предприятия. Расходы производственного и финансового характера не являются взаимозаменяемыми, однако, величиной и структурой затрат производственного и финансового характера можно управлять. Это управление происходит в условиях свободы выбора источников финансирования  и источников формирования затрат производственного характера. В результате использования  различных источников финансирования  складывается определенное соотношение между собственными и заемным капиталом, а, так как заемный капитал является платным, и по нему образуются финансовые издержки, возникает необходимость измерения влияния этих издержек на конечный результат деятельности предприятия. Поэтому финансовый леверидж характеризует влияние структуры капитала на величину прибыли предприятия, а разные способы включения кредитных издержек в себестоимость оказывают влияние на уровень чистой прибыли и чистую рентабельность собственного капитала.

Итак, финансовый леверидж характеризует взаимосвязь между изменением чистой прибыли и изменением прибыли до выплаты % и налогов.

Финансовый риск находит отражение в соотношении собственных и заемных средств как источников долгосрочного финансирова­ния, целесообразности и эффективности использования последних.              Ис­пользование заемных средств связано для коммерческой организаций с определенными, порой значительными издержками. Каково долж­но быть оптимальное сочетание между собственными и привлечен­ными долгосрочными финансовыми ресурсами и как это повлияет на прибыль?                                                                                                        Именно эта взаимосвязь характеризуется категорией   финан­сового левериджа.

 Количественно эта характеристика измеряется соотношением меж­ду заемным и собственным капиталом; уровень финансового леверид­жа прямо пропорционально влияет на степень финансового риска ком­пании и требуемую акционерами норму прибыли. Чем выше сумма процентов к выплате, являющихся, кстати, постоянными обязатель­ными расходами, тем меньше чистая прибыль. Таким образом, чем выше уровень финансового левериджа, тем выше финансовый риск компании.

Компания, имеющая значительную долю заемного капитала, на­зывается компанией с высоким уровнем финансового левериджа, или финансово зависимой компанией (highly 1еуеred сотрапу) компания,  финансирующая свою деятельность только за счет собственных средств, называется финансово независимой (ип1еvered сотрапу).

Итак, сложившийся в компании уровень финансового левериджа — это характеристика потенциальной возможности влиять на чистую прибыль коммерческой организации путем изменения объема и структуры долгосрочных пассивов.

Производственный леверидж зависит от структуры издержек производства и, в частности, от соотношения условно-постоянных и условно-переменных затрат в структуре себестоимости. Поэтому производственный леверидж характеризует взаимосвязь структуры себестоимости, объема выпуска и продаж и прибыли. Производственный леверидж показывает изменение прибыли в зависимости от изменения объемов продаж.

Если доля постоянных расходов велика, говорят, что компания имеет высокий уровень производственного левериджа. Для такой компании иногда даже незначительное изменение объемов производства может привести к существенному изменению прибыли, поскольку постоянные расходы компания вынуждена нести в любом случае, производится продукция или нет. Изменчивость прибыли до вычета процентов и налогов, обусловленная изменением операционного левериджа, количественно выражает производственный риск. Чем выше уровень производственного левериджа, тем выше производственный риск компании.                               

Производственно-финансовый леверидж оценивает совокупное влияние производственного и финансового левериджа. Здесь происходит мультипликация рисков предприятия.

26.  Метод «мертвой точки».

Метод критического объема продаж, или «мертвой точки» (в терминологии И.Шера), в приложении к оценке и достижению приемлемого уровня левериджа заключается в определении для каждой конкретной ситуации объема выпуска, обеспечивающего безубыточную деятельность. В зависимости от того, производственный или финансовый леверидж оценивается, термин «безубыточная деятельность» имеет разную интерпретацию. В первом случае под безубыточной понимается деятельность, обеспечивающая валовой доход; отметим, (то здесь вовсе не гарантируется прибыль, поскольку теоретически, например при неблагоприятных условиях, весь валовой доход может быть использован на оплату процентов по ссудам и займам. При анализе левериджа оценивается трансформация валового дохода в частую прибыль.

          Модель зависимости рассматривается показателей может быть построена графически или аналитически. Графическое построение модели приведено ниже.

Построение графической зависимости затруднено, так как требует тщательного разделения издержек по видам.

    Аналитическое представление рассматриваемой модели основывается на следующей базовой формуле:

                       S= VС+ FС+GL                   

где S реализация в стоимостном выражении;

   VС-— переменные производственные расходы;

   FС — условно-постоянные производственные расходы;

   GLприбыль до вычета процентов и налогов.

   Поскольку в основу анализа заложен принцип прямо пропорциональной зависимости показателей, имеем:

                                             VC = к  * S

где K— коэффициент пропорциональности.

Используя формулу , а также условие, что критическим счи­тается объем реализации, при котором валовой доход равен нулю, имеем:

                                             S = k * S +FC.

Показатель S в этой формуле характеризует критический объем реализации в стоимостном выражении, поэтому, обозначив его Sт, име­ем:

     SM =FС

       IК  ,

 Формулу  можно представить в более наглядном виде путем перехода к натуральным единицам измерения. Для этого введем следующие дополнительные обозначения:

 Q — объем реализации в натуральном выражении;

  р — цена единицы продукции;

 v — переменные производственные расходы на единицу продукции;

 Q c — критический объем продаж в натуральных единицах.

 Преобразуя формулу , имеем:

Q cFC

      P - V

Знаменатель дроби в вышестоящей формуле  называется удельной маржиналь­ной прибылью (с= р - v) и характеризует величину маржинальной при­были, приходящейся на единицу продукции. Можно привести и дру­гую интерпретацию этого показателя, кстати, широко распространен­ную в управленческом учете и финансовом менеджменте: он дает количественную оценку вклада единицы продукции в величину гене­рируемой маржинальной прибыли. Таким образом, экономический смысл критической точки предельно прост: она характеризует количе­ство единиц продукции, реализация которой обеспечит получение мар­жинальной прибыли, равной сумме условно-постоянных расходов.

Очевидно, что формула может быть легко трансформирована в формулу для определения объема реализации в натуральных едини­цах (Q,), обеспечивающего заданное значение прибыли до вычета про­центов и налогов (GL):

Q i = FC + GL

        p-v

27.  Оценка производственного левериджа.

Производственный леверидж является весьма важной характери­стикой деятельности компании; в частности, его высокий уровень го­ворит о том, что даже незначительное изменение в объемах произ­водства может привести к существенной финансовой нестабильнос­ти. Имеется в виду, что при некоторых обстоятельствах небольшое падение выручки от реализации может иметь катастрофические по­следствия в плане получения прибыли. Иными словами, относитель­но больший уровень производственного левериджа влечет за собой и большую колеблемость прибыли. Известны три основные меры про­изводственного левериджа:

• доля постоянных производственных расходов в общей сумме рас­ходов, или, что равносильно, соотношение постоянных и перемен­ных расходов (DOLd);

отношение чистой прибыли к постоянным производственным расходам (DOLр);

• отношение темпа изменения прибыли до вычета процентов и налогов к темпу изменения объема реализации в натуральных едини­цах (D0Lr).

В принципе данные показатели могут применяться как для динами­ческих, так и для межхозяйственных сопоставлений, однако основное их предназначение — контроль и анализ в динамике. При прочих равных условиях рост в динамике показателей DOLr и DOLd а также снижение показателя DOLp означают увеличение уровня производственного левериджа и повышение риска достижения заданного уровня прибыли.

Первые два показателя легко интерпретируются и не требуют ка­ких-то дополнительных пояснений. Несколько сложнее обстоит дело с показателем DOLr. Как следует из определения, показатель может быть рассчитан по формуле

                                          DOLr = TGI

                                     TQ

где TGI -темп изменения прибыли до вычета процентов и налогов (в процентах);

       TG -темп изменения объема реализации в натуральных единицах (в процен­тах).

Путем несложных преобразований формулы  ее можно привес­ти к более простому в вычислительном плане виду. Для этого используем вышеприведенные обозначения и иное представление формулы :

р • Q = v Q+ FC + QL   или с • Q = FC +GL.

Отсюда следует, что при изменении объема реализации в натураль­ных единицах, например, с Qo на Q1 соответствующее изменение GL составит:

^ GL = GL1- GL0 =   с •Q- c*Q = с* Q

Поэтому:

DOL r =   ^GL : GL= (c* Q) : (c * Q –FC) = c * Q

          ^ Q  : Q      ^Q:Q                 GL

 Экономический смысл показателя DOLr довольно прост — он показывает степень чувствительности прибыли до вычета процентов и налогов коммерческой организации к изменению объема производ­ства в натуральных единицах. А именно, для коммерческой организа­ции с высоким уровнем производственного левериджа незначитель­ное изменение объема производства может привести к существенно­му изменению прибыли до вычета процентов и налогов. Значение того показателя не является постоянным для данной коммерческой организации и зависит от базового уровня объема производства, от которого идет отсчет. В частности, наибольшие значения показатель DOLr имеет при изменении объема производства с уровней, несущественно превышающих критический объем продаж, в этом случае даже незначительное изменение объема производства приводит к существенному относительному изменению прибыли до вычета процентов и налогов; причина состоит в том, что базовое значение прибыли в этом случае близко к нулю.

Отметим, что пространственные сравнения уровней производственного левериджа возможны лишь для компаний, имеющих одинаковый базовый уровень выпуска продукции.

Более высокое значение этого показателя обычно характерно для компаний с относительно более высоким уровнем технической оснащенности. Точнее, чем выше уровень условно-постоянных расходов по отношению к уровню переменных расходов, тем выше уровень производственного левериджа. Таким образом, предприятие, повышающее технический уровень с целью снижения удельных переменных расходов, одновременно увеличивает уровень производственного левериджа.

Коммерческие организации с относительно более высоким уровнем производственного левериджа рассматриваются как более рисковые с позиции производственного риска. Под последним понимается риск неполучения прибыли до вычета процентов и налогов, т.е. возможность ситуации, когда предприятие не сможет покрыть свои расходы производственного характера.

            В заключение можно отметим, что уровень производственного леверид­жа —достаточно инерционный показатель, его резкие изменения прак­тически крайне редки, поскольку часто связаны с радикальными изменениями в структуре материально-технической базы предприятия, ориентированной на специфику производственной деятельности. Сде­лав вложения во внеоборотные активы, предприятие оказывается в известной степени заложником выбранной ранее стратегии развития в том смысле, что постоянные расходы в размере амортизационных отчислений должны учитываться при исчислении финансовых резуль­татов, несмотря на то, пользуется ли успехом производимая им про­дукция. Если маржинальная прибыль невысока, предприятие должно попытаться прежде всего найти возможности ее увеличения, а не идти на сокращение условно-постоянных расходов, например путем про­дажи части внеоборотных активов. Безусловно, в реальной жизни возможны различные варианты, в том числе и связанные с изменени­ем состава и структуры основных средств, однако, если руководство уверено в выбранной стратегии развития своей компании, к действи­ям, затрагивающим материально-техническую базу предприятия, при­бегают лишь в самом крайнем случае.

28.    Оценка финансового левериджа.

По аналогии с производственным левериджем уровень финансо­вого левериджа {ОРЬ} может измеряться несколькими показателями;

наибольшую известность получили два из них:

• соотношение заемного и собственного капитала (DFLp)

отношение темпа изменения чистой прибыли к темпу измене­ния прибыли до вычета процентов и налогов (DFLr).

Первый показатель, имеющий достаточно простую интерпретацию чаще всего используется для характерис­тики компании, а также в сравнительном анализе, поскольку он не только легко вычисляется, но и обладает пространственно-временной сопоставимостью. Второй показатель более сложен в расчетах и ин­терпретации; его лучше применять в динамическом анализе. Относи­тельно изменения этих показателей для конкретной компании можно сделать вывод: при прочих равных условиях их рост в динамике не­благоприятен (в смысле увеличения финансового левериджа, т.е. по­вышения финансового риска).

Как следует из определения, значение DFLr может быть рассчита­но по формуле                   

DFLr = TNI

       TGI

          TNI— темп изменения чистой прибыли процентах);

где    TGI—  изменения прибыли до вычета процентов и налогов (в процентах).

Используя вышеприведенные обозначения и схему взаимосвязи доходов и левериджа, формулу (7) можно преобразовать в более удобный в вычислительном плане вид:

            DFLr = GL

                 GL-In

Коэффициент DFLr имеет весьма наглядную интерпретацию — он показывает, во сколько раз прибыль до вычета процентов и налогов превосходит налогооблагаемую прибыль. Нижней границей коэффи­циента является единица. Чем больше относительный объем привле­ченных предприятием заемных средств, тем больше выплачиваемая по ним сумма процентов, выше уровень финансового левериджа, бо­лее вариабельна чистая прибыль. Таким образом, повышение доли заемных финансовых ресурсов в общей сумме долгосрочных источ­ников средств, что по определению равносильно возрастанию уровня финансового левериджа, при прочих равных условиях приводит к боль­шей финансовой нестабильности, выражающейся в определенной непредсказуемости величины чистой прибыли. Поскольку выплата процентов в отличие, например, от выплаты дивидендов является обязательной, то при относительно высоком уровне финансового ле­вериджа даже незначительное снижение маржинальной прибыли может иметь весьма неприятные последствия по сравнению с ситуа­цией, когда уровень финансового левериджа невысок.

Как и в случае с затратами, взаимосвязь здесь имеет более слож­ный характер, а именно, эффект финансового левериджа состоит в том, что чем выше его значение, тем более нелинейный характер приобретает связь между чистой прибылью и прибылью до вычета процентов и налогов. Одно очевидно — незначительное изменение (возраста­ние или убывание) прибыли до вычета процентов и налогов в усло­виях высокого финансового левериджа может привести к значитель­ному изменению чистой прибыли.

Пространственные сравнения уровней финансового левериджа возможны лишь в том случае, если базовая величина валового дохода сравниваемых коммерческих организаций одинакова.

Из приведенных рассуждений понятно, почему понятие финан­сового риска тесно переплетается с категорией финансового леве­риджа. Финансовый риск — это риск, связанный с возможным не­достатком средств для выплаты процентов по долгосрочным ссудам и займам. Возрастание финансового левериджа сопровождается по­вышением степени рискованности данной коммерческой организа­ции. Это проявляется в том, что для двух организаций, имеющих оди­наковый объем производства, но разный уровень финансового леве­риджа, вариация чистой прибыли, обусловленная изменением объема производства, будет неодинакова — она будет больше у коммерчес­кой организации, имеющей более высокое значение уровня финансо­вого левериджа.

29.    Основы теории структуры капитала.

В теории финансового менеджмента различают два понятия: «финансовая структура» и «капитализированная структура» пред­приятия. Под термином «финансовая структура» подразумевают способ финансирования деятельности предприятия в целом, т. е. структуру всех источников средств. Второй термин относится к более узкой части источников средств — долгосрочным пассивам (собственные источники средств и долгосрочный заемный капитал). Собственные и заемные источники средств различаются по целому ряду параметров, основные из которых приведены в табл.

Признак СК ЗК

1. Право на участие в управлении

 предприятием

дает нет

1.Право на получение части прибыли и

имущества

по остаточному принципу

практически дает

первоочередное право

3. Срок возврата капитала не установлен по договору
4. Льготы при налогообложении нет

есть, в зависимости

от вида ЗК

Из приведенной таблицы видно, что структура капитала оказывает влияние на результаты финансово-хозяйственной деятельности предприятия. Соотношение между собственны­ми и заемными источниками средств служит одним из клю­чевых аналитических показателей, характеризующих степень риска инвестирования финансовых ресурсов в данное пред­приятие.

Одним из показателей, характеризующих степень финансово­го риска, является показатель покрытия расходов по обслужива­нию заемного долгосрочного капитала (УПз)

Коэффициент Упз измеряется в долях единицы и показывает, во сколько раз валовой доход предприятия превосходит сумму годовых процентов по долгосрочным ссудам и займам. Сниже­ние величины этого коэффициента свидетельствует о повышении степени финансового риска. Этот показатель тесно связан с уров­нем финансового левериджа. Как правило, низкое значение пока­зателя Упз соответствует высокой доле заемного капитала. Вме­сте с тем сочетания значений этих показателей варьируют по отраслям. Доля заемного капитала, рискованная для одной от­расли, может не быть таковой для другой отрасли. Так, по данным американских источников, показатель «доля заемного капитала» (в данном случае рассматривается вся кредиторская задолженность) и коэффициент Упз Для различных подотраслей имели соответственно вид:

Вопросы возможности и целесообразности управления струк­турой капитала давно дебатируются среди ученых и практиков. Существуют два основных подхода к этой проблеме: а) традици-

онный; б) теория Модильяни — Миллера (Modigliani and Miller approach).

Последователи первого подхода считают, что: а) цена капита­ла зависит от его структуры; б) существует «оптимальная струк­тура капитала». При этом приводятся следующие аргументы. Как было описано в п. 7.3, цена предприятия в целом может быть найдена по формуле

В свою очередь, взвешенная цена капитала зависит от цены его составляющих, обобщенно подразделяемых на два вида — собственный и заемный капитал. В зависимости от структуры капитала цена каждого из этих источников меняется, причем темпы изменения различны. Многочисленные исследования показали, что с ростом доли заемных средств в общей сумме источников долгосрочного капитала цена собственного капи­тала постоянно увеличивается возрастающими темпами, а це­на заемного капитала, оставаясь сначала практически неизмен­ной, затем тоже начинает возрастать. Поскольку цена заем­ного капитала (С3) в среднем ниже, чем цена собственного капитала (Сс), существует структура капитала, называемая оп­тимальной, при которой показатель СС имеет минимальное значение, а следовательно, цена предприятия будет максималь­ной.

Основоположники второго подхода Модильяни и Миллер (1958 г.) утверждают как раз обратное - - цена капитала не зависит от его структуры, а следовательно, ее нельзя опти­мизировать. При обосновании этого подхода они вводят ряд ограничений: наличие эффективного рынка; отсутствие налогов; одинаковая величина процентных ставок для физических и юри­дических лиц; рациональное экономическое поведение; возмо­жность "идентификации предприятий с одинаковой степенью риска и др. В этих условиях, утверждают они, цена капитала всегда выравнивается путем перекачивания капитала за счет кредитов, предоставляемых компаниям физическими лицами.

В полном объеме описанные методики могут быть реализова­ны лишь при наличии развитого рынка ценных бумаг и статисти­ки о нем. Ни того, ни другого в России пока нет. Кроме того, удельный вес акционерных предприятий, котирующих свои ценные бумаги на рынке, также еще невелик. Тем не менее понимание финансового механизма функционирования капитала представляет значительный интерес для бизнесменов любого уровня.

30.  Политика п/п в области оборотного капитала.

При формировании политики управления предприятием существует следующая классификация оборотных активов: 1) с точки зрения их участия в процессе производства и в сфере обращения,  2) с точки зрения их ликвидности и отражения в учете,  3) с точки зрения их отношения к изменениям объемов производства и случайных факторов, возникающих в процессе деятельности предприятия.

Рассмотрим классификацию №3. Оборотные активы подразделяются на:

1.   постоянный капитал (системная часть оборотного капитала);

2.   переменная часть оборотных активов (варьирующая часть).

В теории финансового менеджмента существуют 2 трактовки понятия системной части оборотного капитала. Согласно первой трактовки постоянный капитал – эта та часть денежных средств, дебиторской задолженности, производственных запасов, потребность в которых относительно постоянна в течении всего операционного цикла. Это может быть усредненная по временному параметру величина оборотных активов, находящихся в свободном ведении предприятия.

Согласно второй трактовки системная часть может быть определена как минимум оборотных активов, необходимый для осуществления текущей деятельности. Это означает, что предприятию необходим минимум денежных средств на расчетном счете, как некий аналог резервного капитала.

Варьирующая часть (переменная) возникает в связи с дополнительными потребностями предприятия и формируемыми активами.

Например: В пиковые моменты деятельности, связанные либо с форс-мажорными обстоятельствами либо со страхованием от таких обстоятельств или же с сезонностью производственной деятельностью.

Целевой установкой политики управления оборотными активами являются:

1.   определение объема и структуры оборотных активов,

2.   определение источников их покрытия,

3.   определение соотношения между источниками покрытия, достаточного для обеспечения долгосрочной производственной и эффективной финансовой деятельности предприятия ,

4.   поддержание оборотных средств в размере, оптимизирующем управление текущей деятельности и, в частности, поддержание определенного уровня ликвидности оборотных активов,

5.   заключается в том, что оборотный капитал, с одной стороны должен быть достаточно доходным, а с другой стороны быстрооборачиваемым. Если достигается высокая рентабельность производства готовой продукции, то это означает, что мы достигаем высокой рентабельности продаж.

Основной целью управления оборотным капиталом является достижение компромисса между ликвидностью, доходностью и оборачиваемостью.

31.  Виды стратегии финансирования текущих активов.

В теории финансового менеджмента принято выделять различные стратегии финансирования текущих активов в зависимости от отношения менеджера к выбору величины чистого оборотного капитала. Известны четыре модели поведения: идеальная, агрессивная, консервативная, компромиссная. Выбор той или иной модели стратегии финансирования сводится к установлению величины долгосрочных пассивов и расчету на ее основе величины чистого оборотного капитала как разницы между долгосрочными пассивами и внеоборотными активами (ОК=ДП-ВА). Следовательно, каждой стратегии поведении соответствует свое базовое уравнение.   

Идеальная модель основана на взаимном соответствии категорий «текущие активы» и «текущие обязательства». Модель означает, что текущие активы по величине совпадают с краткосрочными обязательствами, т.е. чистый оборотный капитал равен нулю. В реальной жизни такая модель практически не встречается. Кроме того, с позиции ликвидности она наиболее рискованна. Суть этой стратегии состоит в том, что долгосрочные пассивы устанавливаются на уровне внеоборотных активов, т.е. базовое балансовое уравнение (модель) будет иметь вид: ДП=ВА

Агрессивная модель означает, что долгосрочные пассивы служат источниками покрытия внеоборотных активов, т.е. того их минимума, который необходим для осуществления хозяйственной деятельности. В этом случае оборотный капитал в точности равен этому минимуму (ОК=СЧ). Базовое балансовое уравнение будет иметь вид: ДП=ВА+СЧ.

Консервативная модель предполагает, что варьирующая часть текущих активов также покрывается долгосрочными пассивами. В этом случае краткосрочной кредиторской задолженности нет, отсутствует риск потери ликвидности. Чистый оборотный капитал равен по величине текущим активам (ОК=ТА). Эта стратегия предполагает установление долгосрочных пассивов на уровне, задаваемом следующим базовым балансовым уравнением: ДП=ВА+СЧ+ВЧ.

Компромиссная модель наиболее реальна. В этом случае внеоборотные активы, системная часть текущих активов и приблизительно половина варьирующей части текущих активов покрывается долгосрочными пассивами. Чистый оборотный капитал равен по величине сумме системной части текущих активов и половине их варьирующей части (ОК=СЧ+0,5*ВЧ). Стратегия предполагает установление долгосрочных пассивов на уровне, задаваемом следующим базовым балансовым уравнением: ДП=ВА+СЧ+0,5*ВЧ.   

32.  Компоненты оборотного капитала.

Основные составляющие оборотного капитала:

-  производственные запасы предприятия;

-  дебиторская задолженность;

-  денежные средства и ценные бумаги;

-  краткосрочная кредиторская задолженность.

Производственные запасы предприятия включают в себя: сырьё и материалы, незавершённое производство, готовую продукцию и прочие запасы. Достаточно большой запас сырья и материалов спасает предприятие от прекращения процесса производства или покупки более дорогостоящих материалов-заменителей. Предприятие предпочитает иметь достаточный запас готовой продукции, который позволяет дольше и более экономно управлять производством.

Дебиторская задолженность - важный компонент оборотного капитала. Неоплаченные счета за поставленную продукцию (или счета к получению) и составляют большую часть дебиторской задолженности. Специфический компонент дебиторской задолженности - векселя к получению, являющиеся по существу ценными бумагами (коммерческие ценные бумаги).

Денежные средства и ценные бумаги - наиболее ликвидная часть текущих активов. К денежным средствам относятся деньги в кассе, на расчётных и депозитных счетах. Ценные бумаги составляющие краткосрочные финансовые вложения, включают: ценные бумаги других предприятий, государственные казначейские билеты, государственные облигации и ценные бумаги, выпущенные местными органами власти.

Краткосрочная кредиторская задолженность - это банковские ссуды и неоплаченные счета других предприятий. В условиях рыночной экономики основным источником ссуд являются коммерческие банки. Банки требуют документального подтверждения обеспеченности запрашиваемых кредитов товарно-материальными ценностями заёмщика. Альтернативный вариант заключается в продаже предприятием части своей дебиторской задолженности финансовому учреждению с предоставлением ему возможности получить деньги по долговому обязательству.

33.  Управление денежными средствами и их эквивалентами.

Управление денежными средствами включает:

1.     расчет времени обращения денежных средств (финансовый цикл),

2.     анализ денежного потока,

3.     прогнозирование денежного потока,

4.     определение оптимального уровня денежных средств на расчетном счете и в кассе.

В процессе управления денежными средствами учитываются три следующих фактора:

1)     рутинность (денежные средства используются для выполнения текущих операции и, поскольку между входящими и исходящими денежными потоками всегда имеется временной лаг, то предприятию необходимо на расчетном счете держать свободный остаток денежных средств);

2)     предосторожность (поскольку предприятие подвержено влиянию неопределенности в своей деятельности, то ему необходимы денежные средства для совершения непредвиденных платежей);

3)     спекулятивность (денежные средства необходимы предприятию по спекулятивным соображениям, поскольку существует практически ненулевая вероятность того, что может представится возможность выгодного инвестирования).

Финансовый цикл = операционный цикл - время обращения кредиторской задолженности

Операционный цикл = время обращения запасов + время обращения дебиторской эадолженности

Для расчета оптимального расчета остатка денежных средств на расчетном счету используются модели, позволяющие оценить общий объем денежных средств и их эквивалентов, долю, которую следует держать на расчетном счете, долю, которую нужно держать в виде быстрореализуемых ценных бумаг, а также оценить моменты трансформации денежных средств и быстрореализуемых активов.

1)     Модель Бемоля (Баумола).

 В ней предполагается, что предприятие начинает работать, имея максимальный и целесообразный для него уровень денежных средств, а затем постепенно расходует их в течении некоторого периода. Как только запас денежных средств истощается, т.е. становится равным нулю или достигает уровня безопасности, то предприятие продает свои краткосрочные ценные бумаги и пополняет запас денежных средств до первоначальной суммы.

Q = Ö (2*V*C) / r

   где   Q - сумма пополнения,

V - прогнозируемая потребность денежных средств в периоде ( месяц, квартал, год),

C - расходы на трансформацию денежных средств в ценные бумаги,

r - приемлемый доход для предприятия по краткосрочным финансовым вложениям.

                 ЗДСср. = Q / 2 ,

где    ЗДСср. – средний запас денежных средств

                  k = V/Q ,

где     k – количество сделок по конвертации

Общие расходы по реализации данной модели управления денежными средствами составляют величину

                 OP = ck + r*(Q/2),

где         ck – прямые расходы

               r*(Q/2) – упущенная выгода от хранения среднего запаса на расчетном счете

Эта модель приемлема только для предприятий, денежные доходы которых стабильны и прогнозируемы.                

2)     Модель Миллера – Орра

Логика модели следующая: остаток денежных средств на расчетном счете меняется хаотически до тех пор, пока не достигает некоего верхнего предела. Как только это происходит, предприятие начинает покупать ценные бумаги для того, чтобы вернуть запас денежных средств к некоторому нормальному состоянию, называемому точкой возврата.

Если запас денежных средств достигает нижнего предела, то в этом случае предприятие продает свои ценные бумаги и получает денежные средства, доведя их запас до нормального предела.                                               

Реализация этой модели на практике включает следующие этапы:

1.     устанавливается минимальная величина денежных средств (Он), которую целесообразно иметь на расчетном счете, исходя из средней потребности денег для оплаты банковских счетов и других требований;

2.     по статистическим данным определяется вариация поступления денежных средств на расчетные счета;

3.     определяются расходы по хранению средств на расчетном счете (эта величина может быть принята на уровне ставки ежедневного дохода по краткосрочным ценным бумагам, обращающимся на рынке);

4.     рассчитываются расходы по взаимной трансформации денежных средств и ценных бумаг;

5.     рассчитывается размах вариации на расчетном счете по следующей формуле:                   3

                              S = 3* Ö ( 3*Px*V) / (4*Pt)

S – размах вариации,

Px - расходы по хранению,

V - ежедневная вариация,

Pt - расходы по трансформации

6.     рассчитывается верхняя граница денежных средств Ов, исходя из того,       что при достижении этой границы или ее превышении, часть денежных средств необходимо будет конвертировать в ценные бумаги

                                Ов = Он  + S

7.     определение точки возврата, т.е. величины остатка денежных средств на расчетном счете, к которой необходимо вернуться в случае, если фактический остаток выходит на границы или за границы верхнего и нижнего предела.

                                  Тв = Он +S/3 

Эти модели позволяют формировать оптимальный остаток денежных средств на расчетном счете ( это ключевой показатель для расчета денежного потока).

34.  Анализ и управление дебиторской задолженностью и производственными запасами.

Дебиторская задолженность, как известно, является весьма многообразной и содержит задолженность за товары, работы, услуги, срок оплаты которых не наступил или не оплаченные в срок. (Дебиторская задолженность по векселям, по расчетам с бюджетом, по расчетам с персоналом).

В общей сумме дебиторской задолженности 80-90% приходятся на расчеты с покупателями. Поэтому политика управления дебиторской задолженностью связана в первую очередь с оптимизацией размера задолженности и инкассации задолженности за реализованную продукцию.

Поэтому политику управления дебиторской задолженностью называют кредитной политикой по отношению к покупателям продукции.

Политика управления дебиторской задолженностью представляет собой часть общей политики управления оборотными активами и маркетинговой политики предприятия, направленной на расширение объемов реализации продукции и связанной с оптимизацией размера дебиторской задолженности и обеспечением своевременной ее инкассации.

Политика управления дебиторской задолженностью включает:

1)   Анализ дебиторской задолженности в предшествующем периоде в целях оценки уровня и состава дебиторской задолженности предприятия, а также эффективности инвестирования в нее финансовых средств. Здесь анализируются сроки погашения дебиторской задолженности, периоды ее инкассации, размер отвлечения оборотных активов в дебиторскую задолженность, состав ДЗ по ее возрастным группам, выявляется безнадежная и сомнительная ДЗ.

2)    Формируются определенные принципы и подходы кредитной политики по отношению к покупателям продукции . Решаются два основных вопроса: 1. в каких формах осуществляется реализация продукции, 2. какой тип кредитной политики следует избрать.

Различают три основных типа кредитной политики по отношению к покупателям:

1.   Консервативный. Направлен на минимизацию кредитного риска,

 которая является приоритетной, поэтому существенно сокращает круг покупателей в кредит. В первую очередь за счет групп покупателей с повышенным риском; за счет минимизации сроков предоставления кредита и его размера, ужесточения условий предоставления кредита и повышения его стоимости, за счет более жесткой процедуры инкассации дебиторской задолженности.

2.   Умеренный тип ориентируется на средний уровень кредитного

 риска и соответственно более мягкие условия предоставления коммерческого кредита.

3.   Агрессивный (мягкий) тип предусматривает максимизацию

 дополнительной прибыли за счет расширения объема реализации продукции в кредит, не считаясь с высоким уровнем кредитного риска.

1)   Формирование системы кредитных условий включает:

а) срок предоставления кредита,

б) лимит предоставляемого кредита,

в) стоимость предоставления кредита, т.е. система ценовых скидок при осуществлении расчетов за приобретенную продукцию,

г) системе штрафных санкций за просрочку исполнения обязательств.

Например: При 5% скидке, 7 -дневном сроке оплаты и чистом периоде 30 дней. Предприятие теряет скидку с 8 по 30 день, если не произведет оплату в течении 7 дней; по истечению 30 дней выступает система штрафных санкций.

2)   Формирование стандартов оценки покупателей и дифференциация условий предоставления кредита. В основе этих стандартов лежит кредитоспособность предприятия.

3)   Построение эффективных систем контроля за движением своевременной инкассацией  дебиторской задолженности. Одной из эффективных форм является система АВС, где в категорию А выделяют наиболее крупные и сомнительные виды дебиторской задолженности; в категорию В – кредиты средних размеров; в категорию С – все остальные виды, не оказывающие серьезного влияния на результаты деятельности предприятия.

Управление запасами

            Политика управления запасами представляет собой часть общей политики управления оборотными активами предприятия, заключающейся в оптимизации общего размера и структуры запасов ТМЦ, минимизации затрат по их обслуживанию и обеспечению эффективного контроля за их движением.

Разработка политики управления запасами охватывает ряд последовательно выполняемых этапов работ, основными из которых являются:

1.   Анализ запасов ТМЦ в предшествующем периоде. Основной задачей этого анализа является выявление уровня обеспеченности производства и реализации продукции соответствующими запасами ТМЦ в предшествующем периоде и оценка эффективности их использования. Анализ проводится в разрезе основных видов запасов.

2.   Определение целей формирования запасов. Цели могут быть:

-   обеспечение текущей производственной деятельности (текущие запасы сырья и материалов);

-   обеспечение текущей сбытовой деятельности (текущие запасы готовой продукции);

-   накопление сезонных запасов, обеспечивающих хозяйственный процесс в предстоящем периоде

3.   Оптимизация размера основных групп текущих запасов. С этой целью используется ряд моделей. Среди которых наибольшее распространение получила «Модель экономически обоснованного размера заказа» . Она может быть использована как для оптимизации размера производственных запасов, так и запасов готовой продукции. Расчетный механизм этой модели основан на оптимизации совокупных операционных затрат по закупке и хранению запасов на предприятии. Эти операционные затраты предварительно разделяются на две группы:

а) сумма затрат по размещению заказов ( включающих расходы по транспортированию и приемке товаров)

           ОПП

ОЗрз = ----------- х Срз   , где

            РПП

ОЗрз - сумма операционных затрат по размещению заказов;

Срз   -  средняя стоимость размещения одного заказа;

ОПП – объем производственного потребления товаров в рассматриваемом периоде;

РПП – средний размер одной партии поставки товаров.

            Из приведенной формулы видно, что при неизменном объеме производственного потребления и средней стоимости размещения одного заказа общая сумма операционных затрат по размещению заказов минимизируется с ростом среднего размера одной партии поставки товаров.

б) сумма затрат по хранению товаров на складе.

               РПП

ОЗхт = ----------- х Сх   , где

           2

ОЗхт - сумма операционных затрат по хранению товаров на складе;

Сх   -  стоимость хранения единицы товара в рассматриваемом периоде.

            Из приведенной формулы видно, что при неизменной стоимости хранения единицы товара в рассматриваемом периоде общая сумма операционных затрат по хранению товарных запасов на складе минимизируется при снижении среднего размера одной партии поставки товаров.

            Т.о. с ростом среднего размера одной партии поставки товаров снижаются ОЗрз и возрастают ОЗхт. Данная модель позволяет оптимизировать пропорции между этими двумя группами затрат так, чтобы их совокупная сумма была минимальной.

             Определение экономичного (оптимального) запаса

Математически данная модель выражается формулой:

           2*ОПП*Срз

РППо = Ö ¾¾¾¾¾¾ , где

            Сх

            РППо  - оптимальный средний размер партии поставки товаров.

            Соответственно оптимальный средний размер производственного запаса определяется по формуле:

РППо

ПЗо = ¾¾¾¾¾

2

            Для запасов готовой продукции расчет показателей аналогичен.

1.   Оптимизация общей суммы запасов ТМЦ, включаемых в состав оборотных активов.

2.   Построение эффективных систем контроля за движением запасов на предприятии. Здесь основной задачей является своевременное размещение заказов на пополнение запасов и вовлечение в хозяйственный оборот излишне сформированных их видов.

3.   Оптимизация общей суммы запасов ТМЦ, включаемых в состав оборотных активов

35.  Способы краткосрочного финансирования.

Источники финансового обеспечения предприятия: диверсифицированный подход. Проблемы сочетания долгосрочного и краткосрочного финансирования оборотных средств. Стратегии финансирования текущих активов: идеальная, агрессивная, консервативная, компромиссная.

Традиционные способы краткосрочного финансирования: банковское и коммерческое кредитование. Классические формы банковского кредитования: кредиты - срочные, контокоррентные, онкольные, учетные; овердрафт. Низкозатратные способы пополнения оборотных средств: кредиты - авальный, акцептный, вексельный; факторинг, форфейтинг.

Новые инструменты краткосрочного финансирования: хеджирование, операции РЕПО, форвардные и фьючерсные контракты.

Оценка стоимости краткосрочного финансирования оборотного капитала.

Традиционные способы краткосрочного финансирования

Основными способами краткосрочного финансирования являются коммерческий кредит и банковский кредит.

Коммерческий кредит связан с торгово-посредническими операциями; предоставляется поставщиком или посредником и оформляется по-разному: векселем, авансом покупателя, открытым счётом.

Одним из наиболее перспективных видов коммерческого кредитования является использование простых и переводных векселей. Выписанный какой-либо фирмой простой вексель может служить платёжным средством в цепочке, связывающей несколько предприятий. Нередко ликвидность таких финансовых инструментов поддерживается банком в форме аваля - банковской гарантии оплатить вексель в случае непогашения его фирмой, выпустившей вексель.

Банковское кредитование осуществляется в различных формах: срочный кредит, контокоррентный кредит, онкольный кредит, учётный кредит, акцептный кредит, факторинг, форвейтинг.

Срочный кредит - наиболее распространённая форма краткосрочного кредитования, когда банк перечисляет оговоренную сумму на расчётный счёт заёмщика. По истечении срока кредит погашается.

Контокоррентный кредит - предусматривает ведение банком текущего счёта клиента с оплатой поступивших расчётных документов и зачислением выручки. Если средств клиента оказывается недостаточно для погашения обязательств, банк кредитует его в пределах установленной в кредитном договоре суммы, т.е. контокоррент может иметь дебитовое и кредитовое сальдо.

Онкольный кредит - является разновидностью контокоррента и выдаётся, как правило, под залог товарно-материальных ценностей или ценных бумаг. В пределах обеспеченного кредита банк оплачивает все счета клиента, получая право погашения кредита по первому своему требованию за счёт средств, поступивших на счёт клиента, а при их недостаточности - путём реализации залога. Процентная ставка по этому кредиту ниже, чем по срочным ссудам.

Учётный (вексельный) кредит предоставляется банком векселесодержателю путём покупки (учёта) векселя до наступления срока платежа. Векселесодержатель получает от банка указанную в векселе сумму за вычетом учётного процента и других накладных расходов.

Акцептный кредит используется в основном во внешней торговле и предоставляется поставщиком импортёру путём акцепта банком выставленных на него экспортёром тратт.

Факторинг - операция по приобретению факторской компанией или банком права на взыскание долга. Фактор выплачивает часть суммы дебиторской задолженности (до 80%) придерживая оставшуюся часть на покрытие риска неоплаты.

Форвейтинг - кредитование экспортёра путём покупки векселей, акцептованных импортёром.

Новые инструменты краткосрочного финансирования

Кратко охарактеризуем такие приёмы, как страхование, форвардные и фьючерсные контракты и операции РЕПО, позволяющие обеспечить предприятие необходимыми оборотными средствами и в определённой мере уменьшить риск финансово-хозяйственной деятельности при принятии решений финансового характера, имеющих отношение к будущему.

Страхование. Существует два вида страхования: обязательное и необязательное. Первое предусмотрено законодательством, и расходы по нему списываются на себестоимость продукции. Второй вид страхования носит добровольный характер, а необходимость и целесообразность его применения определяется степенью риска, ассоциируемого с данной операцией.

Форвардные и фьючерсные контракты - наиболее распространённые приёмы хеджирования. Они представляют собой ценные бумаги и обращаются на фондовых биржах.

Одной из разновидностей форвардных контрактов выступают фьючерсы. В сравнении с форвардными контрактами фьючерсы имеют ряд отличительных черт:

-  форвардный контракт "привязан" к точной дате, а фьючерс - к месяцу исполнения;

-  участников операций обычно много, поэтому продавцы и покупатели не привязаны друг к другу;

-  фьючерсы свободно обращаются на фондовых биржах;

-   изменение цен по товарам и финансовым инструментам, указанным в контрактах, осуществляется ежедневно в течении всего периода до момента их исполнения.

Операции РЕПО - представляют собой договоры об обратном выкупе ценных бумаг. Прямая операция РЕПО предусматривает, что одна из сторон продаёт другой пакет ценных бумаг с обязательством купить его обратно по заранее оговорённой цене. Обратная покупка осуществляется по цене, превышающей первоначальную цену. Операции РЕПО проводится в основном с государственными ценными бумагами и относятся к краткосрочным операциям - от нескольких дней до нескольких месяцев.

36.  Новые инструменты краткосрочного финансирования.

Новые инструменты краткосрочного финансирования

Кратко охарактеризуем такие приёмы, как страхование, форвардные и фьючерсные контракты и операции РЕПО, позволяющие обеспечить предприятие необходимыми оборотными средствами и в определённой мере уменьшить риск финансово-хозяйственной деятельности при принятии решений финансового характера, имеющих отношение к будущему.

Страхование. Существует два вида страхования: обязательное и необязательное. Первое предусмотрено законодательством, и расходы по нему списываются на себестоимость продукции. Второй вид страхования носит добровольный характер, а необходимость и целесообразность его применения определяется степенью риска, ассоциируемого с данной операцией.

Форвардные и фьючерсные контракты - наиболее распространённые приёмы хеджирования. Они представляют собой ценные бумаги и обращаются на фондовых биржах.

Одной из разновидностей форвардных контрактов выступают фьючерсы. В сравнении с форвардными контрактами фьючерсы имеют ряд отличительных черт:

-  форвардный контракт "привязан" к точной дате, а фьючерс - к месяцу исполнения;

-  участников операций обычно много, поэтому продавцы и покупатели не привязаны друг к другу;

-  фьючерсы свободно обращаются на фондовых биржах;

-   изменение цен по товарам и финансовым инструментам, указанным в контрактах, осуществляется ежедневно в течении всего периода до момента их исполнения.

Операции РЕПО - представляют собой договоры об обратном выкупе ценных бумаг. Прямая операция РЕПО предусматривает, что одна из сторон продаёт другой пакет ценных бумаг с обязательством купить его обратно по заранее оговорённой цене. Обратная покупка осуществляется по цене, превышающей первоначальную цену. Операции РЕПО проводится в основном с государственными ценными бумагами и относятся к краткосрочным операциям - от нескольких дней до нескольких месяцев.

37.  Классификация методов учета и анализа влияния инфляции.

Одним из основополагающих принципов бухгалтерского уче­та в большинстве стран является принцип отражения учетных объектов по ценам приобретения. В условиях стабильных цен применение этого принципа вполне оправданно. Однако в пери­оды достаточно высокой инфляции отчетность, основанная на первоначальных стоимостных оценках, может давать искаженное представление о финансовом состоянии и результатах деятель­ности предприятия.

Отношение к инфляции как к объективному экономическому процессу на протяжении многих лет было неоднозначным. До 1936 г. доминировал тезис, что инфляция является исключитель­но деструктивной силой. Этот тезис был опровергнут Дж. Кейн-сом, утверждавшим, что инфляция обладает огромным позитив­ным потенциалом, поскольку она обесценивает деньги, делает процесс их накопления бесцельным. Тем самым стимулируется потребление, и инфляция превращается в важнейший фактор развития экономики. Напротив, отсутствие инфляции приводит к

накоплению денег, их иммобилизации и при определенных усло­виях может вызвать экономический кризис.

Вместе с тем нельзя не признать, что инфляция оказывает существенное влияние на достоверность и актуальность учетных данных. Не все виды активов и обязательств в равной степени подвержены ее влиянию. Например, если у предприятия в период инфляции имелись свободные неиспользованные денежные сред­ства и кредиторская задолженность, то эффект влияния на эти объекты бухгалтерского учета прямо противоположен. В первом случае предприятие понесло косвенные убытки, поскольку снизи­лась покупательная способность денежной единицы, во втором__

косвенный доход, поскольку возвращать задолженность в даль­нейшем придется более дешевыми деньгами, а сумма долга останется неизменной.

Как отмечалось выше, инфляция - - это процесс снижения покупательной способности денег. А поскольку денежный изме­ритель — основа бухгалтерского учета, прямым ее следствием для него становится утеря сопоставимости данных — ботинки, купленные вчера, оказываются дешевле, чем шнурки к ним, куп­ленные сегодня, т. е. теряется всякая связь оценки ценностей с реальной жизнью. Так, если на балансе числятся материалы стоимостью 12 млн. руб., а их цена в данный момент равна 14 млн. руб., то, оставляя на балансе первоначальную оценку, пред­приятие создает скрытый резерв в 2 млн. руб., т. е. источник финансирования, утаиваемый от налогообложения.

Сохранение в балансе первоначальной и остаточной стоимо­сти в условиях инфляции приводит к тому, что накопленная сумма амортизации становится символической, ибо то, что вчера стоил токарный станок, сегодня может стоить коробок спичек.

Далее, в случае растрат, недостач и хищений виновники с радостью возмещают учетную цену или остаточную стоимость основных средств с тем, чтобы продать украденное по высоким рыночным, спекулятивным ценам, ибо принцип оценки активов по себестоимости, заложенный в традиционном учете, в условиях инфляции провоцирует воровство. Отмеченное выше резко уси­ливается в периоды приватизации государственной собственно­сти. Совершенно очевидно, что если приватизация проходит на основе старых искаженных инфляцией цен, то это — разграбле­ние государственной собственности, и оно очень радует новых собственников, получающих за гроши миллионные ценности. И наконец, традиционные методы оценки актива не дают никакого представления о реальном обеспечении кредитов, о платежес­пособности предприятия и не позволяют определить экономичес­кий потенциал фирмы.

С окончания первой мировой войны многие ученые и практи­ки бьются над проблемой: как сделать реальным учет в условиях инфляции? Накопилось множество предложений, во многих странах уже сложилась определенная в этом отношении практика. Следует отметить, что интерес к проблеме учета инфляции периодически то возрастает, то затухает. Стоило в середине 70-х годов темпу инфляции в экономически развитых странах несколько возрасти, как немедленно национальные учетные ассоциации обратили вни­мание на эту проблему. Не случайно именно в это время был разработан первый международный стандарт по учету влияния инфляции (стандарт № 15), введенный в действие в ноябре 1981 г. Известные в мировой практике подходы к учету и анализу влияния инфляции могут быть систематизированы в виде следу­ющей схемы (рис. 11.1).

Все сторонники переоценки делились на две группы: тех, кто настаивал на переоценке только отчетности, и тех, кто предлагал проводить переоценку каждого факта хозяйственной жизни, т. е. подчеркивал необходимость переоценки данных текущего учета, ибо переоценка отчетности отрывала ее от Главной книги и регистров бухгалтерского учета; напротив, во втором случае обеспечивалось их полное тождество. Итак, провозглашался при­нцип переоценки ценностей, которая становилась во всех случаях желанной, а в условиях инфляции — неизбежной.

Рассмотрим основные варианты переоценки в условиях инф­ляции.

38.  Методика переоценки отчетности по колебаниям курсов валют.

Этот метод является наиболее простым и в той или иной мере применяется в России при заключении различных хозяйственных договоров. Суть метода заключается в следующем. Поскольку в первичном документе любого материального и нематериального объекта всегда присутствуют две оценки - - в натуральном и стоимостном измерителях, простейшим способом является пере­оценка ценностей по изменению курса падающей валюты от­носительно другой, более стабильной валюты. Возможно либо статическое, либо динамическое переоценивание.

В первом случае переоценка делается на момент составления отчетности пересчетом всех балансовых статей, за исключением дебиторской и кредиторской задолженности, переоценка которых может выполняться только в том случае, если в основе соответ­ствующего договора было предусмотрено использование ста­бильной валюты в качестве ценового ориентира. При пересчете используется курс валюты на дату составления отчетности. До­пустим, что какой-то предмет был куплен в отчетном периоде за 15 тыс. руб., а курс рубля к доллару, выбранному в качестве стабильной валюты, в момент совершения сделки составлял 2000: : 1. Если на момент составления баланса курс рубля снизился и составил 2400 : 1, то данный предмет должен быть отражен в балансе по цене 18 тыс. руб. (15000-2400 : 2000).

Динамическое переоценивание предполагает выполнение ука­занной процедуры ежедневно; безусловно, такая методика очень трудоемка и реально возможна лишь в условиях полной ком­пьютеризации бухгалтерского учета. Подобные идеи переоценки по курсам валют обоснованно развивал Вимбл (1953 г.) в рамках теории конвертируемой бухгалтерии.

Рассмотренный подход, в сущности, хорошо работал в сред­невековье, когда на рынке одновременно сосуществовало неско­лько денежных единиц и они свободно циркулировали между странами. Он приемлем и сейчас, если речь идет о свободно конвертируемой валюте с плавающим курсом. Тем не менее в этом случае есть один очень большой изъян: этот способ можно использовать, если покупательная способность базовой валюты точно соответствует покупательной силе «плавающей» валюты. В реальной жизни этого практически не бывает ввиду разных причин, в том числе определенного регулирования валютных курсов со стороны государства, протекционистской политики в отношении отечественных товаров и пр. Именно поэтому гораз­до большее распространение в бухгалтерской науке и практике получил подход к переоценке на основе индексов цен на товар­ную массу.

39.  Методика переоценки отчетности по колебаниям курсов товарных цен.

Влияние инфляции на финансовое состояние предприятия и его отчетность определяют с помощью индексов цен. Существу­ют две основные концепции: а) концепция финансовой природы капитала, предполагающая абстрагирование от предметно-вещ-ностной структуры активов предприятия; при этом отражение активов в учете делается либо по номинальным ценам, либо по ценам, выраженным с помощью общего индекса цен в денежных единицах одинаковой покупательной способности; б) концепция предметно-вещностной природы капитала, ориентирующаяся ли­бо на индивидуальные индексы цен по конкретной номенклатуре продукции и товаров, либо на комбинацию индивидуальных и общего индекса цен.

Обе эти концепции нашли отражение в международном учет­ном стандарте № 15 в виде двух методик. Первая методика известна как «Методика оценки объектов бухгалтерского учета в денежных единицах одинаковой покупательной способности» (General Price Level Accounting — GPL), вторая — «Методика переоценки объектов бухгалтерского учета в текущую стои­мость» (Current Cost Accounting — CCA). В основе первой ме­тодики заложена идея Г. Свинея о трактовке капитала как вло­женных в фирму денежных средств (доминанта пассива); в ос­нове второй - - идея У. Патона, трактующего капитал как совокупность определенных материальных и нематериальных ценностей (доминанта актива). Разновидностью второй методи­ки можно считать и смешанный подход, когда одновременно используются общий индекс цен и индексы цен по отдельным видам продукции и товаров.

Ключевым моментом в этих методиках является понятие косвенного дохода (убытка), а также способ его расчета. В част­ности, невязка между пересчитанным активом и пассивом мо­жет распределяться различными способами. Первый способ предполагает рассмотрение полученной величины как дохода (убытка), обусловленного влиянием инфляции, с отнесением его на статью «Нераспределенная прибыль». Второй способ пред­полагает, что в силу изменения покупательной способности де­нежной единицы изменились и источники собственных средств, которые также пересчитываются, чтобы сохранить общую поку­пательную способность собственного капитала; косвенный до­ход (убыток), обусловленный влиянием инфляции, в этом случае будет равен разности между пересчитанными активом и пас­сивом.

МЕТОДИКА GPL

Эта методика пропагандируется сторонниками концепции финансовой природы капитала, вложенного в тот или иной вид бизнеса. Сторонники этой концепции абстрагируются от ппед-метно-вещностной структуры активов предприятия. Упор дела­ется на общую оценку капитала фирмы в целом с учетом поку­пательной способности денежной единицы, ее колебаний во вре­мени, характеризующихся изменением индекса среднего уровня цен, или, что одно и то же, общего индекса цен.

Логика этой методики в наиболее простом виде может быть выражена следующим образом. В предприятие вложен капитал представленный пассивной стороной баланса. Этот капитал на момент вложения средств выражался в денежных единицах определенной покупательной способности. Если по истечении некоторого времени покупательная способность денежной еди­ницы изменилась, а это отражается уровнем общего индекса цен, то капитал должен быть пересчитан в денежные единицы новой покупательной силы. Однако этот пересчет делается j прямо, а косвенно в основном путем пересчета связанных с пассивными статьями в рамках баланса активных статей.

Таким образом, суть методики состоит в периодическом пере­расчете активов и обязательств предприятия с помощью общего индекса цен. Все операции должны отражаться в текущем учете по ценам их совершения, однако в дальнейшем при составлении отчетности данные корректируются. В результате достигается вре­менная упорядоченность — элементы каждой статьи баланса или отчета о финансовых результатах, относящиеся к различным мо­ментам (периодам) времени, выражаются в одних и тех же ценах.

Выше отмечалось, что инфляция как процесс снижения поку­пательной способности денег по-разному влияет на оценку раз­личных балансовых статей. Поэтому ключевым моментом мето­дики GPL является классификация объектов бухгалтерского уче­та на монетарные и немонетарные.

Монетарные активы (обязательства) — это учетные объекты, которые либо находятся в форме денег, либо будут оплачены или получены в виде оговоренной суммы денег. Такие объекты в силу .своей природы отражаются в учете и отчетности в текущей денежной оценке и не требуют переоценки исходя из долгосроч­ного изменения покупательной способности денежной единицы. К ним относятся денежные средства в кассе и на расчетном счете, депозиты, финансовые вложения, расчеты с дебиторами и креди­торами.

Немонетарные активы (обязательства) — это учетные объекты, реальная денежная оценка которых меняется с течением времени и изменением цен. В силу своей природы эти объекты

должны периодически переоцениваться. К ним относятся основ­ные средства, нематериальные активы, производственные запасы, обязательства перед контрагентами, которые должны быть пога­шены в дальнейшем предоставлением определенного вида това­ров или услуг и т. п.

Очевидно, что инфляция по-разному влияет на эти объекты. Монетарные активы обесцениваются, в результате чего предпри­ятие имеет косвенные потери, напротив, разумный рост креди­торской задолженности приводит к косвенным доходам. Что касается основных средств и товарно-материальных ценностей, то в условиях инфляции налицо противоречие между постоянным ростом их реальной рыночной стоимости и отражением их в учете по неизменным ценам. Это может иметь негативные после­дствия как в оперативном плане (например, ухудшение условий для получения заемных средств), так и в перспективном плане (использование учетных цен в процессе приватизации может при­вести к разграблению государственной собственности, исполь­зование прибыли без учета инфляции — к снижению экономичес­кого потенциала предприятия и даже к его банкротству). Таким образом, учет по себестоимости в условиях инфляции имеет три основных'негативных момента: искаженность балансовых оценок статей; временная несопоставимость отчетности; отсутствие пра­вильных ориентиров в управлении собственным капиталом и текущей прибылью.

В переоцененную отчетность монетарные активы (обязатель­ства) включаются по номиналу (или по себестоимости), а немо­нетарные — в условной оценке, полученной пересчетом первона­чальных стоимостей с помощью общего индекса цен.

Методика выполняется на практике в несколько этапов. На первом этапе составляют отчетность в учетных. ценах, т. е. с использованием оценок по себестоимости. На втором этапе про­водят классификацию всех статей отчетности на монетарные и немонетарные. На третьем этапе немонетарное объекты пересчи­тывают в текущие цены с помощью общих индексов цен, взятых по годам приобретения активов (возникновения обязательств). Источники собственных средств, за исключением прибыли за отчетный период, также пересчитываются на общий индекс цен. Баланс по активу и пассиву достигается регулированием статьи «Нераспределённая прибыль». На четвертом этапе составляют переоцененную отчетность и рассчитывают прибыль (убыток) от изменения покупательной способности денежной единицы в от­четном периоде. Последний показатель определяют путем пере­счета с помощью общего индекса цен монетарных активов и обязательств на начало и конец отчетного периода и последу­ющего их сравнения. Идея такого расчета достаточно проста: в условиях инфляции покупательная способность денежной еди-

ницы падает, поэтому, например, увеличение денежных средств в кассе и на расчетном счете является невыгодным и приводит к косвенным потерям.

Это очевидное положение действует тем существеннее, чем длительнее хозяйственный цикл. И наоборот, чем больше он сокращается во времени, тем менее существенны его негативные последствия. Не случайно немецкий бухгалтер Ф. Шмидт (1922 г.) требовал ежедневного составления органического баланса, ибо чем чаще заполняется бланк баланса, тем реальнее представление о монетарных активах, являющихся основой имущественного положения и платежеспособности любой фирмы.

Ключевой элемент информационного обеспечения этой мето­дики — динамика общего индекса цен. Последовательность ана­литических процедур такова. Все объекты группируются по го­дам их приобретения (возникновения). Для каждого года сто­имостная оценка объектов пересчитывается с использованием индексов цен текущего года. Таким образом, общая оценка ак­тивов в сопоставимых ценах рассчитывается по формуле

где Цу — оценка всех объектов в денежных единицах одинаковой покупательной

способности;

Цж — цена объекта, приобретенного в конкретном году; !„,. — общий индекс цен (текущий); 1щ — общий индекс цен конкретного года.

Итак, стержневое положение методики (GPL) заключается в следующем. Часть общего прироста авансированного капита­ла складывается под влиянием инфляции, количественно выра­женной в общем индексе цен. Она состоит из двух частей. Пер­вая часть количественно выражается в приросте собственного капитала на величину, обеспечивающую сохранение его со­вокупной покупательной способности. Вторая часть представля­ет собой инфляционную прибыль (убыток), обусловленную пре­вышением кредиторской задолженности над монетарными ак­тивами.

МЕТОДИКА CCA

При 'всей заманчивой простоте методика GPL все-таки не удовлетворяла многих практиков и теоретиков. Ориентация на общий индекс цен не вполне правомерна, поскольку в этом случае любое конкретное предприятие подвержено влиянию ин­фляции лишь в некотором обобщенном смысле. Предприятие не инвестирует свои средства в общую «рыночную корзину», поэтому с практической точки зрения его в гораздо большей степени интересует изменение цен на сырье, материалы, по­луфабрикаты, услуги, которыми оно пользуется, а также из­менение цен на собственную продукцию. Вследствие этого, счи­тают критики методики GPL, при пересчете отчетности для целей анализа необходимо использовать другие подходы, в частности рыночную текущую стоимость и индивидуальные индексы цен на интересующую предприятие номенклатуру сырья, продукции, товаров, услуг. Именно этот подход и реализован в методике ССА.

Итак, суть данной методики в составлении отчетности, в которой активы представлены в текущей оценке. Основная проблема состоит в достаточной сложности и субъективности формирования текущих оценок балансовых статей. Именно по этому аспекту методика ССА подвергается наибольшей критике.

Известны три основных метода определения текущей сто­имости какого-либо объекта: а) по ценам возможной реализа­ции активов; б) по восстановительной стоимости, т. е. текущим затратам на замещение активов; в) по экономически целесообразным затратам. Первые два метода получили большее рас­пространение.

В первом случае речь идет о тех ценах, по которым данные ценности в этот момент могут быть проданы на рынке, во втором — во сколько обойдется замена основных и оборотных средств, если бы их пришлось заменять, т. е. в первом случае речь идет о цене продажи, во втором - - о цене покупки. По­скольку покупать почти всегда приходится дороже, то второй вариант приводит к более высокой оценке активов. Для креди­торов предпочтительнее первый вариант, для администрации -второй.

Последовательность счетных процедур аналогична описан­ной в методике GPL, только вместо общего индекса цен используются индексы цен по конкретной номенклатуре основных средств и оборотных средств. Пересчет источников собствен: ных средств не делается, а все полученное превышение актива над пассивом балансируется статьей «Нераспределенная при­быль».

Итак, стержневое положение этой методики заключается в следующем. Предприятие практически не подвержено влиянию инфляции, поэтому величина собственного капитала не пересчи­тывается. Весь прирост авансированного капитала обусловлен исключительно изменением цен на активы, которыми владеет предприятие.

СМЕШАННЫЙ ПОДХОД

Эта методика представляет собой разновидность методики ССА, отличаясь от нее способом распределения косвенных до­ходов (потерь), полученных предприятием в результате инфля­ции. В смешанном подходе источники собственных средств пе­ресчитываются на общий индекс цен (как в методике GPL), активы - - по индивидуальным индексам цен, разность между пересчитанными оценками актива и пассива рассматривается как косвенный доход (убыток) от влияния инфляции и относит­ся на статью «Нераспределенная прибыль».

Итак, стержневое положение данной методики заключается в следующем. Предприятие подвержено влиянию инфляции. При­рост авансированного капитала под влиянием изменения цен состоит из двух частей. Первая часть -- прирост собственного капитала на величину, обеспечивающую сохранение его сово­купной покупательной способности, рассчитываемый, следовате­льно, через общий индекс цен. Вторая часть — инфляционная прибыль, обусловленная изменением цен на активы, которыми владеет предприятие, и превышение кредиторской задолженно­сти над монетарными активами.

40.  Влияние инфляции на искажение отчетных данных.

Основополагающим принципом ведения бухгалтерского учета является оценка объектов учета по себестоимости. В условиях инфляции подобные оценки могут значительно отличаться от текущих рыночных оценок. Поэтому с позиции соответствия стоимостной оценки активов предприятия их рыночной цене бухгалтерская отчетность недостоверна. Существует и другая причина, вызывающая не столько недостоверность отчетных дан­ных, сколько их вариабельность. Это возможность применения различных методов учета, разрешенных действующими норма­тивными документами и по-разному влияющих на результатные показатели и отчетность.

Можно выделить два основных момента: амортизация и рас­чет себестоимости потребленного сырья. Так, применение уско­ренной амортизации, во-первых, уменьшает величину отчетной прибыли и, во-вторых, уменьшает величину стоимостной оценки предприятия в целом, поскольку остаточная стоимость основных средств становится относительно меньшей. То же самое можно сказать, например, о методе оценки запасов по схеме ЛИФО.

Возможны три варианта оценки затрат на производство:

1) по ценам первых закупок (ФИФО);

2) по ценам последних закупок (ЛИФО);

3) по средней цене.

Показатели рентабельности авансированного капитала (Рак) и собственного капитала (Рск) рассчитываются по формулам:

При использовании методики ФИФО запас на конец периода оценивается в ценах последних закупок:

Затраты сырья на производство (ЗС) находятся балансовым методом по данным о сырье, доступном для переработки (ПЗП), и запасе на конец периода:

ЗС = ПЗП -ПЗК

При использовании методики ЛИФО запас на конец периоде оценивается в ценах первых закупок, поэтому

ПЗК = 30 • 1,0 + 10 • 1,1 = 41 млн. руб. ; ЗС = 162 - 41 = 121 млн. руб.

При использовании средней цены (СЦ) расчеты имеют вид:

СЦ = 162 : 130 = 1,246 тыс. руб. ;

ПЗК = 40 • 1,246 = 49,85 тыс. руб. ;

ЗС = 162 - 49,85 = 112,15 тыс. руб.

В условиях инфляции ре­зультатные показатели в значительной степени зависят от выби­раемых методов учета. Так, при использовании метода ЛИФО прибыль оказалась в три раза меньшей, чем при использовании метода ФИФО, уменьшилась и величина авансированного капи­тала по отчету. Все показатели рентабельности также оказались ниже. Данный пример показывает, насколько значимой в бук­вальном смысле может быть работа бухгалтера в условиях инф­ляции. На крупных предприятиях даже в условиях относительно невысокой инфляции расхождения по абсолютным показателям могут быть весьма существенными.

Так, компания «Дженерал Моторс» в 1988 г. показала в балансе остатки запасов по методике ЛИФО на сумму 7984,3 млн. дол.; если бы была использована методика ФИФО, оценка составила бы 10509,6 млн. дол., т. е. на 31,6% выше. Еще разительнее расхождения по компании «Катерпиллер» за 1988 г.: те же самые показатели по ней составили соответственно: 1986 млн. дол.; 3614 млн. дол.; 82,7%.

Какая методика представляется более обоснованной и пред­почтительной? Все зависит от критериев, которые принимаются во внимание. Методика ФИФО обеспечивает относительно боль­ший прирост авансированного капитала, лучшие значения показа­телей рентабельности, т. е. дает более привлекательную картину для непрофессиональных инвесторов. Применение методики ЛИФО приводит к заниженной оценке производственных запасов и к меньшей величине прибыли, т. е, на первый взгляд она дает менее привлекательные результаты. На самом же деле в условиях инф­ляции именно эта методика наиболее предпочтительна, поскольку величина уплачиваемого налога меньше, а следовательно, больше средств остается у предприятия. В условиях инфляции методика ФИФО дает некоторую инфляционную добавку к прибыли; таким образом, предприятие «проедает» собственные оборотные средст­ва на приобретение сырья и запасов по возрастающим ценам.


© 2012 Рефераты, курсовые и дипломные работы.