![]() |
|||||||||||||||||||||||||||||||||||||||||||||||||||||||||||||||||||||||||||||||||||||||||||||||||||||||||||||||||||||||||||||||||||||||||||||||||||||||||||||||||||||||||||||||||||||||||||||||||||||||||||||||||||||||||||||||||||||||||||||||||||||||||||||||||||||||||||||||||||||||||||||||||||||||||||||||||||||||||||||||||||||||||||||||||||||||||||||||||||||||||||
| Главная Рефераты по рекламе Рефераты по физике Рефераты по философии Рефераты по финансам Рефераты по химии Рефераты по хозяйственному праву Рефераты по цифровым устройствам Рефераты по экологическому праву Рефераты по экономико-математическому моделированию Рефераты по экономической географии Рефераты по экономической теории Рефераты по этике Рефераты по юриспруденции Рефераты по языковедению Рефераты по юридическим наукам Рефераты по истории Рефераты по компьютерным наукам Рефераты по медицинским наукам Рефераты по финансовым наукам Рефераты по управленческим наукам Психология и педагогика Промышленность производство Биология и химия Языкознание филология Издательское дело и полиграфия Рефераты по краеведению и этнографии Рефераты по религии и мифологии Рефераты по медицине Рефераты по сексологии Рефераты по информатике программированию Краткое содержание произведений |
Реферат: Электроника и электротехникаРеферат: Электроника и электротехникаКурсовое расчётно-графическое задание
по курсам: ”Электротехника” “Электротехника и электроника”
1. Расчёт электрической цепи постоянного тока
Исходные данные:
|
||||||||||||||||||||||||||||||||||||||||||||||||||||||||||||||||||||||||||||||||||||||||||||||||||||||||||||||||||||||||||||||||||||||||||||||||||||||||||||||||||||||||||||||||||||||||||||||||||||||||||||||||||||||||||||||||||||||||||||||||||||||||||||||||||||||||||||||||||||||||||||||||||||||||||||||||||||||||||||||||||||||||||||||||||||||||||||||||||||||||||
![]() |
Для данной расчётной схемы составим матрицу, использовав метод узловых потенциалов :
![]() |
Для отдельных участков цепи, согласно 2-му закону Кирхгоффа, запишем:
![]() |
![]() |
1.2. Проверка расчёта токов по уравнению баланса мощности
Тогда:
![]() |
1.3.
Построение потенциальной диаграммы для контура 1-2-3-4
j
2 3 4
0 R R
j3 j4
j1 j2
1
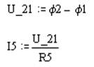
1.4. Определение тока в ветви с E1 методом эквивалентного генератора
E1 R1 I1 j2 R3
a b
1 Uxx
E1 R5 R4 R6
j1 I5 j5 j3
j4 R8
R7 R9
![]() |
![]() |
![]() |
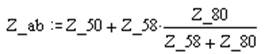
![]() |
Найдём z_ab:
R3
a b
R5 R4 R6
R8 R7 R9
Треугольник с сопротивлениями R3, R4, R6 преобразуем в треугольник:
![]() |
a b
R5
Z_46 Z_36
R7 R9
R8
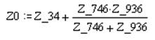
![]() |
![]() |
a b
R5
Z0
R8
![]() |
a b
Z_50
Z_58
Z_80
![]() |
![]() |
Ток, полученный методом эквивалентного генератора, отличается от тока, полученного методом узловых потенциалов, на 2.933*10-4%, что вполне допустимо.
2. Расчёт электрической цепи синусоидального тока
Исходные данные :
![]() |
|||||
![]() |
![]() |
||||
![]()
![]()
![]()
![]()
![]()
![]()
E2 XC
R6 XL
![]()
R8 R7 R9
2.1 Преобразование электрической цепи к 3-х ячеистой схеме.
Сопротивления Z_L и R6 соединены последовательно, тогда :


![]()
E2 Z_C
Z_6L
R8 R7 R9
Преобразуем звезду с сопротивлениями R3,R9,Z_6L в треугольник :
![]()
E1 R1
![]() |
|||
![]() |
|||
R5 R4 Z_01
![]()
![]()
![]()
![]()
E2 Z_C
![]()
![]()
![]()
![]()
Z_03
R8 R7 Z_02
![]() |
E1 R1
R5 Z_04
![]()
![]()
E2 Z_C
![]()
![]()
![]()
![]()
![]()
Z_03
R8 Z_05
![]() |
![]()
E1 R1
![]() |
|||
![]() |
|||
R5 Z_06
![]()
![]()
Z_08 Z_03
R8 Z_07

Пары сопротивлений R5 с Z_06 , R8 с Z_07 , Z_08
с Z_03 соединены последовательно, следовательно:
E1 R1 I1
![]() |
|||
J1 Z1
I3
![]()
![]()
![]()
E2 I4
![]()
![]()
![]()
![]()
J3
Z3
![]()
![]()
![]()
I2 I5
Получили преобразованную 3-х ячеистую схему
2.2 Определение токов (действующих в ветвях преобразованной схемы) методом контурных токов.

Запишем искомые токи через контурные:
Составим матрицу для контурных токов:
![]() |
![]() |
2.3 Проверка расчёта токов по уравнению баланса мощности
![]() |
Мощность источника отличается от мощности потребителя, на 0.035%, что вполне допустимо.
2.4 Векторная диаграмма токов во всех ветвях преобразованной эл. Схемы
[R]=Ом ; [Z]=Ом; [E]=В; [f]=Гц; [L]=Г; [С]=Ф; [I]=А; [S]=Вт.
|
|
|
|
|
|
|
|
|
|
|
|
|
|
|
|
|
|
|
|
|
|
|
|
|
|
|
|
|
|
|
|
|
|
|
|
|
|
|
|
|
|
|
|
|
|
|
|
|
|
|
|
|
|
|
|
|
|
|
|
|
|
|
|
|
|
|
|
|
|
|
|
|
|
|
|
|
|
|
|
|
|
|
|
|
|
|
|
|
|
|
|
|
|
|
|
|
|
|
|
|
|
| 1_2. Расчет эл. цепи методом эквивалентного генератора |
|
|
|
|
|
|
|
|
|
|
|
|
|
|
|
|
|
|
|
|
|
|
|
|
|
|
|
|
|
|
|
|
|
|
|
|
|
|
|
|
|
|
|
|
|
|
|
|
|
|
|
|
|
|
|
|
|
|
|
|
|
|
| 2. Расчет эл. цепи синусоидального тока |
|
|
|
|
|
|
|
|
|
|
|
|
|
|
|
|
|
|
|
|
|
|
|
|
|
|
|
|
|
|
|
|
|
|
|
|
|
|
|
|
|
|
|
|
|
|
|
|
|
|
|
|
|
|
|
|
|
|
|
|
|
|
|
|
|
|
|
|
|
|
|
|
|
|
|
|
|
|
|
|
|
|
|
|
|
|
|
|
|
|
|
|
|
|
|
|
|
|
|
|
|
|
|
|
|
|
|
|
|
|
|
|
|
|
|
|
|
|
|
|
|
|