рефераты
Главная

Рефераты по рекламе

Рефераты по физике

Рефераты по философии

Рефераты по финансам

Рефераты по химии

Рефераты по хозяйственному праву

Рефераты по цифровым устройствам

Рефераты по экологическому праву

Рефераты по экономико-математическому моделированию

Рефераты по экономической географии

Рефераты по экономической теории

Рефераты по этике

Рефераты по юриспруденции

Рефераты по языковедению

Рефераты по юридическим наукам

Рефераты по истории

Рефераты по компьютерным наукам

Рефераты по медицинским наукам

Рефераты по финансовым наукам

Рефераты по управленческим наукам

Психология и педагогика

Промышленность производство

Биология и химия

Языкознание филология

Издательское дело и полиграфия

Рефераты по краеведению и этнографии

Рефераты по религии и мифологии

Рефераты по медицине

Рефераты по сексологии

Рефераты по информатике программированию

Краткое содержание произведений

Реферат: Ядерные силы

Реферат: Ядерные силы

Содержание


Введение 3

Изотопический спин 4

Обменные силы 10

Насыщение ядерных сил 18

Классификация элементарных частиц 23

Литература 28

Введение

Ядерные силы являются короткодействующими. Это заключение основано на опытах по рассеянию заряженных и незаряженных частиц ядрами.

Приемлемые значения размеров зеркальных ядер, получен­ные в предположении, что разность их энергий связи обусловлена только электростатическим взаимодействием, свидетельствуют, по-видимому, о том, что гипотеза зарядовой независимости ядерных сил не находится в противоречии с эксперименталь­ными фактами.

Мы уже обращали внимание на то, что весьма важным свой­ством ядерных сил является свойство насыщения, проявляю­щееся в постоянстве плотности ядерного вещества почти во всех ядрах и в линейном возрастании энергии связи с увеличением массового числа.

Существование дейтрона — устойчивой системы протона и незаряженного нейтрона – свидетельствует о наличии действую­щих между ними сил неэлектрического характера. Эти силы не могут быть силами чисто магнитного взаимодействия (хотя оно и не исключается), поскольку такое взаимодействие не может обусловить среднюю энергию связи нуклона, составляющую около 7,5 Мэв.

Опыты по рассеянию нейтронов протонами указывают на за­висимость ядерных сил от спинов нуклонов. Существование элек­трического квадрупольного момента дейтрона и неаддитивность магнитных моментов протона и нейтрона в дейтроне указывают на тензорный характер ядерных сил. Кроме того, взаимодейст­вие между нуклонами может зависеть и от скоростей нуклонов.

Все перечисленные факты должны быть учтены при изуче­нии природы ядерных сил и должны быть объяснены теорией.


Изотопический спин

Известно, что протон и нейтрон являются двумя различными зарядовыми состояниями нуклона. Зарядовое состояние, описывается с помощью зарядовой координаты t, принимающей два значения: +1/2 для протон­ного и -1/2 для нейтронного состояния, подобно тому как спино­вая переменная s может принимать два значения, соответствую­щие двум возможным значениям проекции вектора спина на заданное направление. Эта аналогия между спиновой и зарядо­вой координатами позволяет использовать математический ап­парат теории спина.

Вводится либо оператор зарядовой координаты t с компо­нентами являющимися такими же матрицами, как и компоненты оператора спина sx, sy и sz, либо оператор изотопического спина , который связан с t соот­ношением:


подобно тому как оператор Паули связан с оператором спина S.

Оператор изотопического спина имеет, как и оператор Паули три компоненты — матрицы , ничем не отли­чающиеся от матриц Паули:


«Пространство » — пространство изотопического спина, — од­нако не следует смешивать с обычным координатным про­странством, с которым может быть связано направление обыч­ного спина.

Операторам можно дать физическую интерпретацию; для этого введем два новых оператора , связанных с , следующим образом:


В матричной форме эти операторы имеют следующий вид:

Каждый нуклон описывается двухкомпонентной функцией, кото­рую можно представить в виде матрицы-столбца. Протонное и нейтронное состояния нуклона описываются соответственно функциями

Действие операторов на функции описы­вается следующими соотношениями:



Таким образом, оператор «уничтожает» протонное состояние и «превращает» нейтрон в протон, а оператор _ «уничтожает» нейтронное состояние и «превращает» протон в нейтрон.

Оператор действует на следующим об­разом:

Итак, очевидно, что соотношения, встречающиеся в теории изотопического спина, ничем не отличаются от аналогичных со­отношений нерелятивистской теории обычного спина. Вектор как и вектор обычного спина s, имеет только два значения проекции на ось Ј. Проекции +1/2 соот­ветствует протонное, а проекции -1/2 — нейтронное состояние нуклона. Переходу от протонного к нейтронному состоянию и наоборот соответствует вращение на 180° в пространстве изото­пического спина относительно оси, лежащей в плоскости

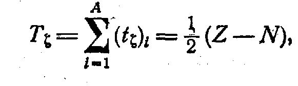
Ядро, состоящее из А нуклонов (A=Z+N), характеризуется оператором изотопического спина

являющимся вектором в изотопическом пространстве. Абсолют­ная величина Т этого вектора согласно закону сложения кван­товых векторов может принимать значения 0, . . . , А/2. -компонента изотопического спина ядра равна

так как сумма всех протонов равна Z/2, а сумма нейтро­нов –N/2.

Абсолютная величина Т вектора изотопического спина не может быть меньше абсолютной величины проекции его на ось Ј, т. е. , и поэтому должно выполняться неравенство:

Это означает, что ядро может иметь равный нулю изотопи­ческий спин Т только в том случае, когда число протонов Z равно числу нейтронов N. Изотопический спин ядра может быть равен единице, либо когда число протонов равно числу нейтро­нов, либо когда число протонов отличается от числа нейтронов на единицу.

Изотопический спин системы, состоящей из двух нуклонов, может быть равен либо единице, либо нулю. Если Т=1, то может принимать три значения: -1, 0, +1. Значению Т= - 1 соответствует система, состоящая из двух нейтронов (каждому, нейтрону соответствует ); значению Т=0 соответствует система, состоящая из протона и нейтрона (заряд равен +1). При Г=1 заряд системы равен +2, т. е. система состоит из двух протонов. Итак, изотопическому спину Г= 1 соответствует изо­барный триплет n – n, n – р, р – р. Все. компоненты этого три­плета, состояния которых удовлетворяют принципу Паули ) , имеют одинаковые спины, четности и одинаковую внутреннюю структуру.

Таким образом, при T=1 возможны только такие состояния системы n – р, которые могут иметь место для систем, состоя­щих из двух протонов или двух нейтронов: 'S0, (3Po, 3P, 3P) , т. е. только четные синглеты и нечетные триплеты. При T=0 существует только одно значение -компоненты изотопического спина: T. Этому состоянию системы двух нуклонов соответ­ствуют симметричные волновые функции , т. е. чет­ные триплеты и нечетные синглеты.

Приведенная классификация состояний дает возможность бо­лее четко сформулировать сущность зарядовой незави­симости, т. е. изотопической инвариантности ядерных сил, для системы, состоящей из двух нуклонов: ядерное взаимодействие любой пары нуклонов в состояниях с Т= 1 одинаково.

Гипотеза изотопической инвариантности ядерных сил осно­вана на предположении, что в изотопическом пространстве от­сутствуют физически выделенные направления: трехмерное изо­топическое пространство изотропно.

Представление об изотопической инвариантности легко мо­жет быть обобщено на случай более сложных систем, состоящих из Z протонов и N нейтронов. В случае строгого выполнения изотопической инвариантности гамильтониан системы не дол­жен меняться при замене любого протона на нейтрон и наоборот. Все состояния системы, в которой произведена такая за­мена, должны совпадать с состояниями первоначальной системы, если только они не запрещены принципом Паули .

Замена протона нейтроном означает уменьшение Т на еди­ницу, т. е. поворот вектора Т в изотопическом пространстве. Если в результате такой замены гамильтониан не изменится, то он инвариантен относительно вращения в изотопическом про­странстве. Изотопический спин системы в этом приближении является интегралом движения, т. е. он сохраняется. Каждому состоянию системы соответствует определенный изотопический спин Т, зависящий от изотопических спинов всех частиц, обра­зующих систему, и от их ориентации в изотопическом про­странстве.

В действительности протоны по своим свойствам (по массе, электрическому заряду, магнитному моменту) несколько отли­чаются от нейтронов, поэтому замена протона нейтроном и наоборот должна приводить к изменению гамильтониана системы. Это означает, что изотопический спин Т не является точным «квантовым числом. Вследствие кулоновского взаимодействия в гамильтониан должны войти члены, не инвариантные относи­тельно вращений в изотопическом пространстве. Однако в лег­ких ядрах, содержащих небольшое число протонов, кулоновское взаимодействие значительно слабее ядерного, благодаря чему зарядово-неинвариантные члены гамильтониана можно рассмат­ривать как малое возмущение. Такое возмущение приводит к тому, что состояние системы может являться смесью состояний с различными значениями изотопического спина. При очень малых зарядово-неинвариантных членах состояние системы можно характеризовать изотопическим спином, играющим роль неточного квантового числа. Из анализа экспериментальных данных следует, что для невозбужденных состояний ядер изотопический спин имеет смысл квантового числа вплоть до Z20. Легкие ядра можно разбить на две группы: ядра с целым и полуцелым изотопическим спином Т (т. е. ядра соответственно с четными и нечетными A). Каждому значению Т соответствует 2Т+1 возможных значений проекции изотопического спина Т, образующих изотопический мультиплет. Целочисленному изотопическому спину Т соответствует нечетное, а полуцелому — четное число компонент мультиплета.

С увеличением Г энергетическая устойчивость ядер уменьшается, поэтому основным состояниям ядер соответствуют малые значения изотопического спина: Т=0, 1/2 и 1. В зависимости от значения изотопического спина системы можно говорить об изобарных синглетах (Т = 0), дублетах (Т=1/2) и триплетах (Т=1). К изобарным синглетам относятся такие ядра, как 2Не4 и Н2. Это можно обосновать следующим образом. Ядру 2Не4, со­стоящему из четырех нуклонов, соответствует компонента T =0. Следовательно, у 2Не4 изотопический спин Т может быть равен 0, 1 или 2. Если бы изотопический спин 2Не4 был равен 1 или 2, то существовали бы такие ядра, как 4Н4 и 4Ве4, причем их энер­гии связи, согласно гипотезе изотопической инвариантности, не­значительно отличались бы от энергии связи 2Не4. Такие ядра, однако, не существуют, и это свидетельствует о том, что изото­пический спин 2Не4 равен нулю. Можно показать, что равен нулю изотопический спин дейтрона, 3Li6, 5В10, 6С12, 7N14, 8О16.

Зеркальные ядра 1H3 и 2Не3 можно рассматривать как ядра, образующие изобарный дублет. Для этих ядер изотопический спин может принимать значения 1/2 или 3/2, так как Т = ±1/2. Однако значение Т=3/2 должно быть отброшено, поскольку при Т=3/2 существовали бы устойчивые системы из трех протонов или трех нейтронов. Оказывается, что для основных состояний всех ядер с нечетным А вплоть до 17Cl33 T=1/2.

Такие ядра, как 4Ве10, 5В10, 6С10, образуют изотопический триплет, соответствующий трем возможным значениям проек­ции изотопического спина Т=1, причем ядру 4Ве10. соответствует Т= – 1, 5В10 — Т = 0 и 6С10 – Г = + 1.

Протон и нейтрон можно рассматривать как частицы, обра­зующие нуклонный дублет. Изотопический спин t нуклона ра­вен 1/2, причем протонному состоянию соответствует компонента Т = +1/2, а нейтронному Т = — 1/2 Это позволяет выразить за­ряд Z нуклона (Z равен единице для протона и нулю для ней­трона) через -компоненту изотопического спина:

Эта формула может быть обобщена на случай, когда система состоит из нескольких нуклонов, получим:

Таким образом, заряд ядра выражается через Т и число нуклонов, входящих в состав ядра.

Обменные силы

Явление насыщения и короткодействующий характер ядер­ных сил впервые были объяснены на основе предположения об обменном характере ядерных сил, т. е. что эти силы возникают между двумя частицами благодаря обмену третьей частицей. Такой частицей в случае взаимодействия нуклонов яв­ляется, по-видимому, мезон. Если состояние двух взаимодей­ствующих нуклонов зависит от их пространственных r1, r2 и спиновых s1, s2 координат, то подобный обмен может осуще­ствляться тремя различными способами.

1) Нуклоны могут обмениваться пространственными коорди­натами, сохраняя неизменными спиновые переменные. Эта воз­можность была рассмотрена Майорана. Силы, возникающие при таком взаимодействии, получили название сил Майорана.

2) Возможен обмен нуклонов спиновыми переменными при неизменных пространственных координатах. Этот вариант был рассмотрен Бартлеттом. Силы взаимодействия нуклонов при таком обмене получили название сил Бартлетта.

3) Возможен одновременный обмен спиновыми и простран­ственными координатами. Возникающие при этом обменные силы известны под названием сил Гейзенберга.

Формальное описание обменного взаимодействия осуще­ствляется путем введения в гамильтониан системы таких опера­торов, которые, действуя на волновую функцию, вызывают пере­становку координат или перестановку спинов, либо и тех и других одновременно в зависимости от характера обменных сил.

В случае обменных сил Майорана оператор энергии взаимо­действия может быть представлен в виде произведения V(r)PM, где V(r) — функция, зависящая от расстояния между нуклона­ми, а Pm — оператор, меняющий местами пространственные ко­ординаты, входящие в волновую функцию:

В случае, если система состоит только из двух нуклонов, опера­тор Майорана Pm представляет собой оператор инверсии: РмР, и уравнение Шредингера в ц-системе приобретает вид (r = rlг2)

Случаю сил Бартлетта соответствует оператор Рб, действую­щий на волновую функцию следующим образом:

Уравнение Шредингера для системы, состоящей из двух частиц, в этом случае может быть записано в таком виде:

Наконец, оператор сил Гейзенберга Рг обладает следующим

свойством:

Уравнение Шредингера для двухнуклонной системы в этом слу­чае имеет вид:


Отметим, между прочим, что обычные (не обменные) силы в теории ядра иногда называются силами Вигнера.

Указывая вид операторов Майорана, Бартлетта и Гейзен­берга, мы предполагали, что их координатная часть V(r) зави­сит только от расстояния между взаимодействующими нукло­нами. В этом случае обменные силы будут центральными, благодаря чему не смогут возникать состояния, являющиеся су­перпозицией состояний с различными . Поэтому введение o6менных сил, координатная часть которых обладает центральной симметрией, не может привести к асимметрии поля ядерных сил и, в частности, объяснить возникновение электрического квадрупольного момента у дейтрона; для описания последнего следует ввести еще тензорный потенциал.

Сами по себе тензорные силы не приводят к насыщению , в то время как его могут объяснить силы Майорана и Гейзен­берга; поэтому тензорные силы обычно комбинируются с опе­раторами обменных сил ).

Остановимся теперь на рассмотрении свойств различных об­менных сил. Рассмотрим сначала силы Майорана, которым со­ответствует оператор Pм. Действие Pм на функцию (r,s1,s2) на ( –r,s1,s2) эквивалентно изменению знака компонент радиуса-вектора r, соединяющего частицы, т. е. эквивалентно замене (r,s1,s2) на ( –r,s1,s2). Поскольку V(r) зависит только от абсолют­ной величины r (поле обладает центральной симметрией), мож­но, используя свойство четности волновой функции, считать, что . B таком случае уравнение (4.14) имеет вид:

Из уравнения (4.17) следует, что для четных значений опе­ратор потенциальной энергии ничем не отличается от оператора потенциальной энергии «обыкновенных» сил — сил Вигнера. Этот вывод имеет большое значение для теории соударения двух нуклонов, так как при столкновении медленно движущихся частиц, когда наблюдается практически только s-рассеяние, невоз­можно определить, являются ли ядерные силы обменными — силами Майорана или же «обыкновенными» — силами Вигнера. Получить сведения о характере ядерных сил можно, лишь если наблюдается не только s-, но и р-рассеяние. В случае сил Майо­рана при р-рассеянии (=1) потенциал взаимодействия меняет знак, т. е. вместо притяжения, наблюдающегося при s-рассеянии, при р-рассеянии будет иметь место отталкивание. Это озна­чает, что знак фазового сдвига , описывающего р-рассеяние, противоположен знаку соответствующему s-рассеянию. Знаки же фаз и могут быть определены из экспериментов по рассеянию.

При рассеянии нейтронов, энергия которых не превосходит нескольких Мэв, практически наблюдается только s-рассеяние, не позволяющее установить обменного характера ядерных сил. Поэтому необходимо исследовать

рассеяние более высоких порядков, наблюдающееся только при

высоких энергиях частиц.

В случае сил Бартлетта, если допустить, что волновая функция может быть представлена в виде произведения двух функций, одна из которых зависит от пространственных координат нуклонов r=r+r, а другая — от спиновых переменных, очевидно; Pb будет действовать только на спиновую функцию. Последняя, как известно, симметрична относительно перестановки спиновых переменных, если спин s системы, состоящей из нейтрона и протона, равен единице, и антисимметрична, если s=0.

Поэтому уравнение Шредингера в случае наличия сил Бартлетта может быть представлено в виде

и отличается от уравнения с «обыкновенным» потенциалом тем, что потенциал имеет различный знак при s=0 и при s=l. Из опытов по рассеянию нейтронов протонами известно, что в три-плетном и в синглетном состояниях системы нейтрон — протон наблюдается рассеяние, которое может быть объяснено силами притяжения, хотя величина этих сил (глубина потенциальной ямы) оказывается различной. Это обстоятельство наряду с тем, силы Бартлетта, не приводят к насыщению, позволяет утверждать, что ядерные силы не могут быть только силами Бартлетта.

После замечаний, сделанных относительно сил Майорана и Бартлетта, мы можем сразу записать уравнение Шредингера для сил Гейзенберга:


Отсюда видно, что знак потенциала зависит от того, является ли l+s четным или нечетным числом. В частности, при s-рассеянии нейтронов протонами (=0) знак ( — l)i+s+1V(r) должен быть различным в триплетном и синглетном состояниях. Это также свидетельствует, что ядерные силы не могут быть только силами Гейзенберга.

Различное взаимодействие в триплетном и синглетном со­стояниях системы протон — нейтрон может быть объяснено, если, например, предположить, что обменные силы представ­ляют собой «смесь» сил Гейзенберга и Майорана. В таком слу­чае оператор потенциальной энергии будет иметь вид

где gнекоторый параметр, который следует выбрать так, что­бы получалось необходимое для объяснения рассеяния взаимодействие в триплетном и синглетном состояниях. При использо­вании модели прямоугольной ямы ее глубина оказывается ~20 Мэв для триплетногро состояния и ~11,5 Мэв для синглетного. Легко убедиться, что для получения такой глубины сле­дует положить g0,25. Следовательно, для объяснения рассея­ния можно допустить, что обменные силы на 25% являются си­лами Гейзенберга и на 75'% —силами Майорана.

Однако последнее замечание не означает, что комбинация сил Гейзенберга и Майорана является единственно возможной. В частности, можно было бы получить подходящую величину взаимодействия в триплетном и синглетном состояниях дей­трона, предположив, что ядерные силы являются комбинацией сил Вигнера и Майорана. Опыты по рассеянию быстрых нукло­нов заставляют сомневаться в том, что комбинация таких сил может быть использована для описания ядерного взаимодей­ствия.

Покажем, как могут быть выражены операторы PМ, РВ, РГ через операторы Паули о и операторы изотопического спина . Обратим внимание на то, что из определения операторов PМ, РВ, РГ следует, что двухкратное применение каждого из них оставляет волновую функцию неизменной. Поэтому собственные значения P, Р, Р равны единице, а собственные значения операторов PМ, РВ, РГ равны ±1.

Если снова ограничиться рассмотрением системы из двух нуклонов, то легко видеть, что такие собственные значения опе­раторов обменных сил (±1) связаны с симметрией или антисим­метрией волновой функции системы относительно перестановки переменных, характеризующих систему.

Прежде всего установим связь между оператором рб и опе­раторами Паули и протона и нейтрона. Волновая функ­ция триплетного состояния (s=l) симметрична относительно перестановки спиновых переменных s и s2 нуклонов, а для синглетного состояния (s=0) антисимметрична. Это означает, что


Собственные значения оператора равны — 3 для синглетного и +1 для триплетного состояния. По­этому оператор рБ может быть представлен в виде

Представим аналогичным образом операторы Майорана и Гей- зенберга. Поскольку компоненты операторов и тождественны, можно утверждать, что оператор () имеет, как и оператор (), собственные значения —3 и +1, а оператор Р=1/2[1+()]— значения –1 и +1, причем он должен действовать на зарядовые координаты t и t2 двух нуклонов точно так же, как оператор (4.18) на спиновые переменные s1 и s2.

Введение зарядовой координаты t эквивалентно признанию существования у нуклона пяти степеней свободы (три простран­ственных, спиновая и зарядовая координаты). Поскольку система нуклонов, подчиняющихся статистике Ферми — Дирака, должна описываться волновой функцией, антисимметричной от­носительно перестановки всех координат любой пары нуклонов, волновая функция системы из двух нуклонов


Последнее соотношение может быть заменено таким:

Это позволяет выразить оператор Майорана Рм через операторы P и Рб*):


Если же принять во внимание, что оператор рг связан с опеаторами Рм и Рб соотношением

PГ = PМPB, (4.21) , тo для оператора Гейзенберга получаем:

.

Перестановка зарядовых координат, как и следовало ожидать, эквивалентна перестановке пространственных координат и спи­новых переменных нуклонов.

Система из двух одинаковых частиц — нейтронов или прото­нов — должна характеризоваться волновой функцией, симмет­ричной относительно зарядовых координат; поэтому синглетным состояниям такой системы (антисимметричным относитель­но спиновых переменных) соответствует четная относительно перестановки пространственных координат функция, а триплет-ным состояниям — нечетная.

Выше было указано, что включение в гамильтониан слагае­мых, содержащих операторы Рм, РБ и Рг, не может привести к возникновению состояния, являющегося суперпозицией состоя­ний с различными . Поэтому для объяснения возникновения у дейтрона электрического квадрупольного момента в гамильто­ниан должны войти члены, соответствующие тензорному взаимо действию.

Тензорные силы также могут быть обычными и обменными. При обычных тензорных силах в гамильтониан входит S12 (см (4.3) ) , а в случае обменных сил берется комбинация PГSl2. Произведения же PБSl2 и PМSl2 включать в гамильтониан не имеет смысла в связи с тем, что по (4.6)

Таким образом, оператор потенциальной энергии, учитываю­щий зависимость от пространственных, спиновых и зарядовых координат, может быть представлен в виде

Входящие в это выражение операторы соответствуют различ­ным типам взаимодействия. Оператор () соответствует об­мену спиновыми переменными, () — обмену пространствен­ными и спиновыми переменными, ()() — обмену про­странственными переменными. Оператор S учитывает тензорное взаимодействие, a ()S — тензорное обменное взаимодей­ствие.

Следует, наконец, указать, что оператор (4.24) представляет наиболее общий тип оператора потенциальной энергии, удовле­творяющий требованию, инвариантности относительно смещений, вращений и инверсии системы координат, при условии, что взаимодействие не зависит от суммарного спина, скоростей и заряда ядра .

Насыщение ядерных сил

Явление насыщения ядерных сил свидетельствует о том, что каждый нуклон, входящий в состав сложного ядра, взаимодейетвует с ограниченным числом частиц. В противном случае, т. е., если бы каждый нуклон взаимодействовал со всеми нуклонами в ядре, энергия связи, как уже отмечалось, была бы пропорциональной числу взаимодействующих пар нуклонов А (А — 1)/2. Используя вариационный принцип, можно показать, что, независимо от формы потенциальной функции, обычные короткодействующие силы притяжения не могут привести к насыщению .

По-видимому, насыщение может возникнуть в том случае, когда ядерные силы, являющиеся силами притяжения, на малых расстояниях переходят в силы отталкивания, что соответствует конечным размерам нуклонов.

Иная возможность объяснения насыщения заключается в предположении, что между нуклонами действуют обменные силы. Однако, как мы увидим ниже, приводят к насыщению не j любые силы этого типа.

Выясним сначала, могут ли обусловить насыщение силы Майорана, для чего предположим, что состояние каждого нуклона можно описать с помощью функции, зависящей только от его координат. Это допущение не находится в противоречии с опытными фактами.

Потенциальная энергия W взаимодействия любого протона, находящегося в состоянии u(r, s), с нейтроном в состоянии | u(r, s) при наличии сил Майорана имеет вид

Если протон и нейтрон находятся в различных состояниях, функции и(r) и v (r) будут ортогональны друг другу, а интеграл W (это очевидно, если предположить, что V(r) можно аппроксимировать с помощью прямоугольной потенциальной ямы; тогда W=0). Энергия взаимодействия двух частиц будет отлична от нуля в том случае, если протон и нейтрон находятся в одном же состоянии. При взаимодействии Майорана нейтрон взаимодействовать с теми протонами, у которых координатная часть волновой функции совпадает с соответствующей волновой функции нейтрона. Согласно принципу Паули в ядре могут находиться два таких протона (с противоположно Ориентированными спинами); поэтому при силах Майорана каждый нейтрон может взаимодействовать с двумя протонами и, наоборот, каждый протон — с двумя нейтронами.

Отсюда можно сделать вывод, что в таких ядрах, как 2Не3, H2 и H3, насыщение наблюдаться не должно, но ядро 2Не4 должно представлять замкнутую систему. Энергия связи, нриходящаяся на частицу, подтверждает сделанный вывод. Если воспользоваться химической терминологией, можно было бы сказать, что каждый нуклон имеет по две «валентные» связи).

Иначе обстоит дело, когда между нуклонами действуют силы Гейзенберга. В этом случае в оператор потенциальной энергии входят операторы Паули, действующие на спиновую перемен­ную, в результате чего знак потенциала различен при парал­лельных и антипараллельных направлениях спинов взаимодей­ствующих частиц. Поэтому нейтрон может притягивать к себе только один протон, а протон — только один нейтрон. При силах Гейзенберга систему с насыщенными ядерными связями должен был бы представлять дейтрон. Большая энергия связи, приходя­щаяся на каждую частицу в ядре Не4, с этой точки зрения объ­яснена быть не может. Следовательно, приняв, что ядерные силы являются обменными, мы должны либо отдать предпочтение силам Майорана, либо считать, что они представляют собой «смесь» сил Майорана и Гейзенберга, причем большую часть этой «смеси» составляют силы Майорана. (Силы же Бартлетта, при которых отсутствует замена пространственных координат, к насыщению не приводят.)

Однако рассеяние нейтронов и протонов, обладающих боль­шими энергиями, говорит о том, что ядерные силы не могут быть чисто обменными силами, а являются, по-видимому, комбина­цией обычных и обменных сил. Присутствие же в гамильтониане членов, соответствующих обычным силам, вновь поднимает вопрос объяснения насыщения ядерных сил ).

Для объяснения насыщения в этом случае принимают, что между нуклонами, помимо рассмотренных выше сил, действуют так называемые «множественные» силы, сущность кото­рых заключается в их отсутствии при взаимодействии двух ча­стиц и отталкивании между тремя или большим числом частиц.


Мезоны и ядерные силы

В предыдущем разделе было дано формальное определение обмен­ных сил, причем не затрагивались вопросы, связанные с осуще­ствлением обмена зарядами, спинами или координатами. Пред­ставление о механизме обмена базируется на соображениях, аналогичных использованным Дираком при построении теории электромагнитного взаимодействия.

В этой теории двойственная, корпускулярно-волновая при­рода электромагнитных явлений интерпретируется с помощью волновой аналогии, согласно которой в пространстве, окружаю­щем взаимодействующие заряды или токи, существует поле, ха­рактеризуемое в каждой точке потенциалами или векторами на пряженности. С другой стороны, те же явления могут быть ис­толкованы с помощью понятия квантов. Иначе говоря, с элек­тромагнитным полем связывается представление о фотонах — «квантах этого поля, являющихся «частицами» с равными нулю зарядом и массой покоя и подчиняющихся статистике Бозе — Эйнштейна. Фотоны могут испускаться и поглощаться, т. е. воз­никать и исчезать; взаимодействие же между зарядами может быть объяснено обменом квантами электромагнитного поля.

Аналогичные представления были использованы и при по­строении теории взаимодействия нуклонов. Предполагалось, что каждый нуклон характеризуется специфическим «нуклонным зарядом», создающим поле ядерных сил. Этому полю соответ­ствуют кванты, которые, в отличие от квантов электромагнит­ного поля, могут иметь не равную нулю массу покоя. Впервые эта идея была высказана в 1934 г. Д. Д. Иваненко и И. Е. Таммом, допускавшими, что квантами ядерного поля являются элек­троны и нейтрино. Предположение, что ядерное взаимодействие осуществляется через электронно-нейтринное поле, позволило объяснить короткодействующий характер ядерных сил, но при­вело бы к слишком малым значениям энергии связи нуклонов.

Эта идея нашла дальнейшее развитие в работе Юкавы, который предположил, что «тяжелым» квантом поля ядерных сил является (в то время еще гипотетическая) частица с мас­сой покоя, равной примерно 200 электронным массам. В 1937 г. в составе космического излучения была обнаружена частица с массой, близкой к 200 те, получившая название мезона. Первоначально считалось, что квантом ядерного поля является именно такой мезон; однако дальнейшие исследования показали ошибочность этого. Частица с mmе в настоящее время известна под названием мюзона. Он весьма незначительно взаи­модействует с нуклоном — примерно в 1012 раз слабее, чем если ,бы он действительно, был тяжелым квантом ядерного поля.

Определенная к настоящему времени масса мюона m = 105,659 Мэв ) . Обнаружены положительные и отельные мюоны, причем по абсолютной величине их заряд, по-видимому, не отличается от заряда электрона. Спин мюона ра­вен Ѕ. Как положительные, так и отрицательные мюоны не­устойчивы; их средняя продолжительность жизни в вакууме в си­стеме координат, связанной с мюоном, равна =2,2 • 106 сек ). ; Распад мюона происходит по схеме

где е± обозначает электрон или позитрон, v и veнейтраль­ные частицы (мюонное и электронное нейтрино) ; черточка над символом' обозначает античастицы.

Слабое взаимодействие мюонов с нуклонами подтверждается, в частности, тем, что может захватываться ядрами на К-, L-, ... оболочки атома, при этом образуются мезоатомы Радиус мюонной орбиты в 207 раз меньше радиуса электронной орбиты, в результате чего для элементов с Z > 30 размеры К-орбиты мюона становятся сравнимыми с размерами ядер. При этом мюон большую часть времени проводит внутри ядер. Несмотря на это, не наблюдается резкого уменьшения средней продолжительности жизни мюона, что можно объяс­нить только слабым взаимодействием мюонов с нуклонами. Роль мюона в ядерных процессах неясна. Ясно, однако, что он не мо­жет играть роли кванта ядерного поля из-за слабого взаимодей­ствия с нуклонами.

В 1947 г. в составе космического излучения были обнару­жены частицы, сильно взаимодействующие с нуклонами. Их на­звали -мезонами . Год спустя они были получены искус­ственным путем бомбардировкой ядер различных элементов быстрыми (300 — 400 Мэв) -частицами, протонами и нейтро­нами. Сначала были обнаружены только заряженные -мезоны, которые распадаются по схеме

Такой распад -мезона называется -распадом.

В 1950 г. были обнаружены нейтральные -мезоны () , вернее, пары - квантов, возникающих при их распаде:

Энергия каждого кванта 70 Мэв. Спустя некоторое время было установлено, что существует и другой, на два порядка ме­нее вероятный тип распада:

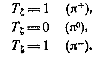
Используя понятие изотопического спина, можно рассматри­вать +-, - и -мезоны как три различных зарядовых состоя­ния -мезона. Естественно поэтому предполагать, что изотопи­ческий спин -мезона равен единице и различные -мезоны со­ответствуют трем его проекциям на ось:

Такая связь -компоненты изотопического спина с различными -мезонами соответствует правилу (использованному и при рас­смотрении нуклонов): заряд частицы возрастает с ростом Т.

В начале 50-х годов были открыты К-мезоны.

В начале 60-х годов была открыта новая разновидность ча­стиц, получившая название резонансов (резонансных состояний). На сегодняшний день открыто более 100 резо­нансов, причем рост их числа не предвещает пока насыщения.


Классификация элементарных частиц


В 1932 г. в составе космического излучения был обнаружен позитрон, существование которого было предсказано теорией Дирака еще в 1929 г. Этот факт имел очень большое значение не только для подтверждения правильности теории Дирака, но и потому, что позитрон явился первой из открытых антича­стиц. Последующее открытие других античастиц привело к мысли о том, что законы физики симметричны относительно из­менения знака электрического заряда частицы. В результате этого возникло представление о зарядовом сопряже­нии, т. е. преобразовании, при котором частицы заменяются античастицами с одновременным изменением в уравнениях зна­ков всех зарядов, магнитных моментов и электромагнитныхполей, причем сами уравнения, описывающие поведение си­стемы, остаются неизменными.

Первоначальная интерпретация позитрона как дырки в сплошь заполненном электронном фоне в настоящее время оставлена. Нецелесообразность такого объяснения стала оче­видной после того как в 1934 г. была создана релятивистская теория заряженных частиц со спином, равным нулю, примени­мая, в частности, к -мезонам. Из этой теории следовала возможность образования пар -мезонов -квантами и аннигиляция этих пар, причем вероятность обоих процессов могла быть вычислена по формулам, отличающимся только постоян­ными множителями от соответствующих формул для электро­нов и позитронов. Поскольку же -мезоны подчиняются стати­стике Бозе — Эйнштейна, к ним неприменим принцип Паули, необходимый для представления о заполненном частицами фоне. Таким образом, существование частиц и античастиц и характерные для них процессы рождения и аннигиляции не потребовали для своего объяснения концепции фона. Электрон и позитрон во всех отношениях являются совершенно равно­правными частицами.

Известные в настоящее время частицы могут быть разделены на четыре группы:

1. Фотон.

2. Легкие частицы (лептоны) с массой, меньшей массы -мезона (нейтрино двух типов, электрон, мюон). Все лептоны являются фермионами, т. е. имеют спин Ѕ и подчиняются статистике Ферми — Дирака.

3. Мезоны и мезонные резонансы, к которым относятся -ме­зоны и более массивные частицы с целочисленным спином. Все они являются бозонами, т. е. подчиняются ста­тистике Бозе — Эйнштейна.

4. Барионы и барионные резонансы . К ним относятся нуклоны и более массивные частицы. Все они яв­ляются фермионами и имеют полуцелый спин.

После открытия позитрона, являющегося античастицей по отношению к электрону, возник вопрос: существуют ли антича­стицы у всех «элементарных» частиц?

Представление, что нейтрино имеет античастицу — антиней­трино, возникло почти одновременно с первыми попытками дать теоретическое объяснение электронного и позитронного распада (бета-распада ядер); однако только последние исследования двойного бета-распада дали право утвердительно ответить на этот вопрос.

В 1955 г. был открыт антипротон, а в 1956 г. было уста­новлено, что столкновения антипротона с протоном могут привести либо к их аннигиляции, либо к превращению антипротона в антинейтрон в результате обменного эффекта. Таким образом, протон р и нейтрон n имеют античастицы: антипро­тон и антинейтрон .

В связи с существованием античастиц у нейтрино и нейтрона возникает вопрос: чем отличается незаряженная частица от своей античастицы? Можно предположить, что отличие прояв­ляется в знаке магнитного момента. Однако это не всегда пра­вильно. Магнитный момент антинейтрона действительно должен быть противоположен по знаку магнитному моменту нейтрона; но этот критерий неприменим по отношению к нейтрино, магнит­ный момент которого равен, по-видимому, нулю. Значит, разли­чие между частицами и античастицами связано с каким-то иным свойством незаряженных частиц, изменяющимся при переходе к их античастицам.

Это свойство может быть установлено, если предположить, что все барионы характеризуются специфическим барионным зарядом A. Он равен +1 для барионов и —1 для антибарионов. Для барионного числа (заряда) выбрано обозначение, со­впадающее с обозначением массового числа, поскольку массо­вое число — это фактически барионное число ядра, состоящего из А протонов и нейтронов. Таким образом, можно считать, что основным отличием протона и нейтрона от соответствующих им античастиц является отличие в знаке барионного заряда, но не в знаке электрического заряда или магнитного момента. Соот­ветственно лептоны и антилептоны отличаются противополож­ными знаками лептонного заряда (числа), по модулю равного единице . Для мезонов барионный и лептонный, заряды равны нулю.

Cведения о частицах, античастицах и их взаимных, превращениях значительно расширились за последние годы в результате открытия и интенсивного изучения мезонов, барио­нов и их резонансов. За последнее время появился ряд работ , в которых делаются попытки классифицировать наблюдаемые факты и явления в рамках феноменологической теории..

ГеллМанн обратил внимание на существование следующих типов взаимодействия между элементарными частицами: (если не учитывать гравитации):

1. Сильные взаимодействия, возникающие между барионами, антибарионами и мезонами. Этими взаимодей­ствиями обусловлены ядерные силы между нуклонами и про­цессы образования мезонов и гиперонов при ядерных столкнове­ниях. Однако учет одних лишь сильных взаимодействий следует рассматривать как первое приближение.

2. Электромагнитные взаимодействия, возни­кающие при воздействии фотонов на заряженные частицы (вто­рое приближение).

3. Слабые взаимодействия, проявляющиеся при и -распадах и обусловливающие, кроме того, медленные рас­пады гиперонов и мезонов (третье приближение).

В этой теории нуклоны, антинуклоны и -мезоны считаются обычными частицами, в отличие от «странных» частиц, к кото­рым отнесены К-мезоны и гипероны. Свойства обычных частиц изучены лучше свойств странных частиц, поэтому мы сначала ограничимся рассмотрением процессов, происходящих с учетом первых.

При учете только сильного взаимодействия справедлив за­кон сохранения изотопического спина: каждой частице или системе частиц соответствует изотопический спин, являющийся точным квантовым числом. Состоянию с изотопи­ческим спином Т отвечает кратность вырождения 2Т+1, при­чем каждая компонента такого мультиплета соответствует опре­деленному зарядовому состоянию частицы или системы частиц. Как обычно, будем считать, что заряд возрастает с увеличе­нием Т. Центры мультиплетов, т. е. средние заряды, различны для разных мультиплетов. Для нуклонного дублета средний за­ряд (полусумма зарядов протона и нейтрона) равен +1/2. Для антинуклонного дублета —1/2, а для -мезонного триплета он равен нулю.

Заряд Z системы частиц определяется соотношением

,

Центр мультиплета, соответствующего та­кой системе, равен А/2. Преобразование зарядового сопряжения меняет знаки Z, T и А.

При учете электромагнитного взаимодействия изотопический спин теряет свойства точного квантового числа и вырождение по изотопическому спину снимается. Так возникает различие между массами частиц, находящихся в разных зарядовых со­стояниях.

Процессы, в которых проявляются только сильные взаимо­действия, называются быстрыми. К ним относятся процессы, происходящие при столкновении нуклонов с большой энергией, например образование -мезонов, распад резонансных состоя­ний, образующихся при рассеянии мезонов барионами, и т. д. Эти процессы протекают за промежутки времени порядка 10-22 сек.

Процессы, обусловленные электромагнитным взаимодей­ствием, называют электромагнитными. К ним относится, например, распад °-мезона на два -кванта. Характерное время электромагнитных процессов – порядка 10— 10 сек.

Наконец, процессы, идущие под влиянием только слабых взаимодействий, например лептонный распад, и требующие «больших» промежутков времени (~10 сек), называются медленными.

Литература

  1. В.В Маляров «Основы теории атомного ядра» Издательство «Наука», М. 1967г.

  2. И.В. Савельев «курс общей физики» том 3. Издательство «Наука», М. 1982 г.

  3. И.В Корсунский «Атомное ядро». Издательство «Наука», М, 1968г

- 28 -


Министерство образования Российской Федерации

Московский Государственный Областной Педагогический Институт


Курсовая работа по физике на тему: «Ядерные силы»


Выполнил: студент 4 курса, группы 4-ф-1, физико-математического факультета

Удачин Андрей Анатольевич


Преподаватель: Гусев В.Н.


2004 г.


© 2012 Рефераты, курсовые и дипломные работы.