рефераты
Главная

Рефераты по рекламе

Рефераты по физике

Рефераты по философии

Рефераты по финансам

Рефераты по химии

Рефераты по хозяйственному праву

Рефераты по цифровым устройствам

Рефераты по экологическому праву

Рефераты по экономико-математическому моделированию

Рефераты по экономической географии

Рефераты по экономической теории

Рефераты по этике

Рефераты по юриспруденции

Рефераты по языковедению

Рефераты по юридическим наукам

Рефераты по истории

Рефераты по компьютерным наукам

Рефераты по медицинским наукам

Рефераты по финансовым наукам

Рефераты по управленческим наукам

Психология и педагогика

Промышленность производство

Биология и химия

Языкознание филология

Издательское дело и полиграфия

Рефераты по краеведению и этнографии

Рефераты по религии и мифологии

Рефераты по медицине

Рефераты по сексологии

Рефераты по информатике программированию

Краткое содержание произведений

Реферат: Явление всемирного тяготения – основа процессов мироздания

Реферат: Явление всемирного тяготения – основа процессов мироздания

Петр Шаляпин

История. Три концепции природы материи

На протяжении последних четырех столетий в естествознании сложились и последовательно сменились три концепции, по-разному трактующие природу материи и природу ее превращений.

Первая – механическая, соответствовала механической картине мира, сложившейся в XVII веке и просуществовавшей в видоизмененной форме почти до конца XIX века. За это время атом рассматривался как цельная частичка материи, а космическое пространство считалось заполненным «эфиром».

Вторая – электромагнитная, зародилась в XIX веке и утвердилась в физике в первой трети XX века в соответствии с общей электромагнитной картиной мира того времени. В начале XX века произошел отказ от среды «эфира» и был осуществлен переход к понятию n-мерного пространственно-временного континуума с его локальной кривизной.

Третья концепция соединила в себе некоторые черты первых двух и вместе с тем явилась коренным образом отличной от них. Она возникла в великое трехлетие (1932...1934гг.) в непосредственной связи с целым рядом открытий в ядерной физике. Ее исходным пунктом стало открытие нейтрона и дейтрона (1932г.), за которым последовали открытие позитрона (1933г.), искусственной радиоактивности (1934г.) и многие другие. С этого момента главное внимание физиков было перенесено на атом, его оболочку и его ядро. К вопросу о среде, заполняющей бесконечный объем космического пространства, ее строении и свойствах наука этого периода не обращается.

Таким образом, пришел новый принцип, предполагающий возможность рождения и исчезновения определенных форм материи и их коренное, качественное превращение в иные формы или же их возникновение из качественно иных форм материи. Имеет место превращение одного физического вида материи (света, т.е. электромагнитного поля) в другой ее физический вид (в вещество) или же обратное превращение вещества в свет. При этом происходят глубочайшие качественные изменения внутри самой материи – появление или исчезновение таких фундаментальных ее физических свойств как масса покоя, которая присутствует у электрона и позитрона и отсутствует у фотона (вся масса которого является массой движения). Точно так же происходит электрическая поляризация частиц с появлением у электрона отрицательного заряда, а у позитрона – равного ему положительного заряда, даже следы которых отсутствуют у фотонов, равно как и появление у них полуцелых спинов, которых не было и нет у фотонов.

На основании этих фактов появились требования о необходимости обсуждения понятия среды, ее строения и ее свойств, как начала и конца существования физических объектов материального мира Вселенной в целом. При этом совершенно неожиданно путь к познанию изначальных основ процессов мироздания, путь к единому началу, открылся через истинное понятие физического смысла явления всемирного тяготения.

Модельный процесс явления всемирного тяготения

Все научно-теоретические знания человечества в теории и практике всех без исключения наук основаны на фундаментальных свойствах, явлениях и закономерностях окружающего нас мира Вселенной в целом. В особой мере это относится ко всем разделам физики. На этом основании единые мировые физические константы, такие как G, c, h, e, α могут и должны рассматриваться, как величины, согласующие и сглаживающие недостатки наших знаний в отдельных разделах физики. Эти константы являются кореллирующими и согласующими коэффициентами, которые определяют границы нашего знания и подсказывают нам, прежде всего своей размерностью, пути дальнейшего познания изначальных основ и процессов мироздания. Исследование этих основ является фундаментальной задачей физики. Особый интерес в этом отношении представляют исследования гравитационного взаимодействия, а именно явления всемирного тяготения.

Универсальность, всеобщность и неустранимость явления тяготения вызывает необходимость еще раз обратить пристальное внимание на физический смысл фундаментальной мировой физической величины – постоянной тяготения G. Эта величина является визитной карточкой гравитационного взаимодействия, которая открывает основу его содержания.

Наибольший интерес вызывает, прежде всего, размерность* постоянной тяготения, которая имеет вид:

dim G = см3г–1с–2.

Простейший анализ этой размерности показывает, что постоянная тяготения G по своему физическому смыслу представляет собой удельное ускорение потока стягивания (поглощения, компактификации) объема некоторой среды в единицу массы реального физического объекта. Это удельное ускорение коренным образом отличается от ускорения из второго закона Ньютона. Физический смысл размерности G указывает на то, что гравитация представляет собой универсальный, всеобщий и неустранимый, динамичный поглотительный процесс стягивания объема некоторой среды внутрь объекта реальной физической массы. И этим процесс всемирного тяготения очень похож на широко распространенный в природе процесс абсорбции, в котором все объекты реальной физической массы являются абсорбентами некоторой энергетической среды.

* Все размерности будут приводиться в системе СГСЭ, являющейся наиболее информативной и широко применяемой в теоретической физике.

Действительно, процесс абсорбции может быть принят в качестве модельного для явления тяготения. Представим, что тело из твердого абсорбента массой m в форме шара свободно плавает в бесконечном объеме, содержащем поглощаемую среду, в течение времени t. Условия эксперимента и все характеристики материалов считаем идеальными. Определив количество поглощенного за время t объема среды V, и взяв от него вторую производную по времени, мы определим ускорение av=d2V/dt2 данного процесса поглощения, размерность которого dimav=см3с–2. Отнеся это ускорение к массе абсорбента m, находим удельное ускорение (avud) поглощения объема среды в данном эксперименте, размерность которого dimavud=см3г–1с–2 полностью совпадает с размерностью постоянной тяготения. Это подтверждает правомерность принятия процесса абсорбции в качестве модельного для явления всемирного тяготения.

Необходимо отметить, что процессы абсорбции очень широко распространены в природе. Все многообразие флоры и фауны обязано именно этим процессам. На основании этого можно сказать, что все, что развивается, растет и эволюционирует само по себе, – развивается, растет и эволюционирует за счет процессов абсорбции, обеспечивающих внутреннюю энергетику объекта реальной физической массы.

Человечество тысячелетиями наблюдает активность космоса, в котором происходят вспышки новых и сверхновых звезд; активная вулканическая деятельность, отмеченная на ряде космических объектов; раздувание (увеличение в объеме) планеты, на которой мы живем. Все эти факты подпадают под сделанное выше заключение и могут быть объяснены только происходящими при этом поглотительными процессами, поставляющими энергию среды для этих явлений. Активность объектов реальной физической массы микро- и макромира Вселенной в целом может быть объяснена только процессами поглощения энергии среды, которые составляют основу явления всемирного тяготения.

Предлагаемая гипотеза, направленная на физическое объяснение явления всемирного тяготения, опирается только на твердо установленные теоретически и многократно проверенные экспериментально фундаментальные данные современной физики, особенно ее классической части, показывая скрытый или непонятый физический смысл и потенциал некоторых положений последней.

Уточнение физического смысла и формулы закона всемирного тяготения

Исходя из принятого выше физического смысла размерности постоянной тяготения G как удельного ускорения потока стягивания объема среды в объект реальной физической массы, проведем анализ формулы Ньютона для закона всемирного тяготения.

Для этого отвлечемся пока от численной величины гравитационной постоянной и обозначим ее символом Λ, полностью сохранив принятый ее физический смысл и размерность [см3г–1с–2]. Условимся, что все рассматриваемые физические объекты будут иметь форму шара.

Итак, в центр масс точечного объекта реальной физической массы m1 как в точку вершины полного, развернутого телесного угла равного 4π стерадиан всесторонне, сферически внутрь, будет стягиваться (схлопываться) сферический поток объема среды с удельным ускорением Λ. Произведение массы объекта m1 на ускорение Λ есть ускорение потока объема среды av=–Λm1[см3/с2] в данный объект. В любой точке на расстоянии R от центра масс объекта фронт сферической поверхности стягивающегося потока имеет линейное ускорение a, которое представляет собой напряженность поля стягивающегося потока в данной точке и равно

a=–Λm1/(4πR2)[см/с2].

Помещенный на выделенной на расстоянии R12 сферической поверхности пробный объект массой m2 будет испытывать силу тяготения (притягиваться) к объекту m1 согласно второго закона Ньютона и закона всемирного тяготения

Это выражение силы для закона всемирного тяготения справедливо только при условии, что Λ=4πG, то есть F=–4πGm1m2/(4πR212). Введение в числитель и знаменатель формулы коэффициента 4π не нарушает ни форму, ни физический смысл выражения закона всемирного тяготения по Ньютону. Наоборот, в таком виде формула закона всемирного тяготения показывает его четкий физический смысл. Закон делается строго доказуемым, определяя физическую сущность явления тяготения исключительно как процесса поглощения объема некоторой энергетической среды.

Строго говоря, требование ввода множителя 4π в числитель и знаменатель формулы закона всемирного тяготения или необходимости утверждения того, что в формуле закона произведено сокращение на 4π, должен был выставить Кавендиш при определении величины постоянной тяготения. Разрабатывая и осуществляя схему опыта по определению величины G, он не видел необходимости указывать на соблюдение каких-то особых условий при выборе точек расположения свинцовых шариков m и массивных шаров М. Этот факт говорит о том, что в его эксперименте на расстоянии R от центра массивного объекта по всей поверхности сферы 4πR2, в любую точку которой может быть помещен пробный груз массой m, будет проявляться одна и та же сила притяжения пробного груза к массивному шару М. Для четкого определения и сохранения физического смысла закона всемирного тяготения сокращений в его формуле не должно быть, или они должны быть оговорены.

Таким образом, для исключения эмпирического начала и обеспечения четко доказуемого физического смысла закона всемирного тяготения необходимо принять следующие положения.

1. Физическим смыслом (содержанием) явления всемирного тяготения является то, что его необходимо принимать только как фундаментальный, обязательный, неустранимый и универсальный процесс стягивания (поглощения, впитывания, компактификации, схлопывания) объема некоторой энергетической среды объектами реальной физической массы микро- и макромира Вселенной в целом.

2. Величину Λ = 4πG = 8,38·10–7[см3г–1с–2] принять в качестве фундаментальной, мировой физической величины постоянной всемирного тяготения, представляющей собой удельное ускорение потока стягивания объема некоторой среды в единицу массы реального физического объекта.

3. Результаты взаимодействия в пространстве на расстоянии r12 двух объектов реальной физической массы m1 и m2 являются отражением поведения одного из объектов в поле потока стягивания объема некоторой среды другого объекта. Формула для определения силы этого взаимодействия в соответствии с физическим смыслом явления всемирного тяготения должна иметь вид:

F = –Λm1m2r12/(4πr312).

На основании этих выводов в дальнейшем изложении материала в качестве фундаментальной, мировой, физической величины постоянной тяготения будет использоваться только величина

Λ = 4πG = 8,38·10–7см3г–1с–2.

Однако в заключение необходимо отметить, что между 1-м и 3-м пунктами выводов существует некоторое противоречие (некорректность). Так в 1-м пункте утверждается обязательность и неустранимость процесса стягивания объема среды для любого объекта реальной физической массы, то есть обязательность наличия для каждого объекта поля потока стягивания этого объема. В то же время 3-й пункт, определяющий процесс взаимодействия двух объектов реальной физической массы, подразумевает, что этот процесс происходит в поле потока стягивания объема среды одного объекта при негласном отсутствии (по умолчанию) такого поля у другого объекта. Из этого следует, что либо мы не полностью раскрыли физический смысл явления всемирного тяготения, либо это явление по-разному протекает при индивидуальном рассмотрении конкретных объектов и при рассмотрении системы двух тел. На устранение этого противоречия и будут направлены наши дальнейшие усилия.

Электромагнетизм и явление всемирного тяготения

Введя в 1900г. универсальную мировую постоянную h, имеющую размерность действия, Планк сразу показал, что вместо используемых человеком привычных и удобных для него основных единиц: грамм, сантиметр, секунда – можно принять естественные (или, как их теперь называют, «планковские») единицы: массы (Mpl), длины (Lpl) и времени (Tpl), которые рассчитываются на основании мировых физических констант Λ, c и h по формулам:

Mpl = Λ–1/2h1/2 с1/2 = 6,13·10–6 [г];

Lpl = Λ1/2h1/2 с–3/2 = 5,7·10–33 [см];

Tpl = Λ1/2h1/2 с–5/2 = 1,9·10–43 [с].

Эти единицы характеризуют масштабы, в которых классическая физика объединяется с квантовой физикой, т.е. определяют граничные значения как минимально возможных величин, например:

объема Vpl = 4πL3pl/3 ≈ 7·10–97 [см3];

периода колебаний Tpl ≈ 1,9·10–43 [с];

и максимально возможных величин, например:

плотности массы ρpl = 3Mpl/(4πL3pl) ≈ 8·1088[г/см3];

частоты колебаний νpl = 1/Tpl ≈ 5·1042 [с–1].

Но смысл планковских единиц заключается не только в определении граничных значений физических величин. В формулах их определения заложен глубокий физический смысл. Наиболее ярко это видно из формулы для единицы массы, из которой следует равенство

Λ1/2Mpl = h1/2с1/2,                                                                                                              (1)

выражающее, по своей сути, равенство электрических зарядов и косвенно свидетельствующее, из-за наличия квадратных радикалов, о присутствии в среде колебательных процессов, дающих равные возможности для возникновения как отрицательных так и положительных зарядов.

Равенство (1) заставляет нас вспомнить формулу

e2/hc = 1/137 = α,

в которой величина α является постоянной тонкой структуры и представляет собой параметр, который определяет все физические явления, связанные с взаимодействием заряженных частиц с электромагнитным полем. Переписав равенство (1) в виде:

Λ1/2Mpl = α1/2e,

(2)

мы можем утверждать, что равенства (1) и (2) свидетельствуют о наличии как минимум двух видов электрических зарядов, могущих участвовать в электромагнитном взаимодействии, представляющем собой возможный процесс их взаимного перехода друг в друга. Один из них, e, является реальным элементарным зарядом электрона. Другой, обозначив его через qv=Λ1/2Mpl, будем считать элементарным виртуальным* зарядом. Т.е. мы с полным основанием можем предполагать существование некоторой среды виртуального электромагнитного поля, образуемого суммой виртуальных элементарных зарядов (Σqv), активно взаимодействующего с реальным, привычным для нас, электромагнитным полем:

qv = Λ1/2Mpl = h1/2с1/2 = α–1/2e = 5,61·10–9 [ед. СГСЭq]

или

e = α1/2h1/2с1/2 = α1/2Λ1/2Mpl = α1/2qv = 4,8·10–10 [ед. СГСЭq].

* Все отличные от общепринятых термины должны быть в дальнейшем коллективно согласованы.

При этом величина Λ1/2=qv/Mpl является удельным элементарным виртуальным зарядом по аналогии с величиной удельного элементарного электрического заряда электрона ge=e/me, где e – заряд, а me – масса электрона. Размерности величин ge и Λ1/2 полностью совпадают. Аналогично обозначим Λ1/2=gv. Отсюда следует, что постоянная всемирного тяготения связывает величины не только различной размерности, но и различной физической природы.

Таким образом, гравитационная постоянная Λ с полным основанием может рассматриваться как квадрат удельного виртуального элементарного заряда gv, т.е. Λ=g2v=(±Λ1/2)2. Это дает веские основания утверждать о наличии составляющих электромагнитных взаимодействий в явлении всемирного тяготения.

Это подтверждается и видом выражения для силы взаимодействия в вакууме (ε0=1) двух элементарных зарядов e по закону Кулона (Fk), переходящей в форму взаимодействия их масс по закону Ньютона (Fn), а именно:

Fk = ee / (εR2) = geme · geme / (εR2) = ge2me2 / (εR2).

(3)

То же самое можно показать и для силы взаимодействия двух масс Mpl по закону Ньютона (Fn), переходящей в форму взаимодействия двух элементарных виртуальных зарядов qv на их основе по закону Кулона (Fk):

Fn = ΛMplMpl/(4πR2) = Λ1/2MplΛ1/2Mpl/(4πR2) = qvqv/(4πR2).

(4)

Отсутствие в формуле (4) величины диэлектрической проницаемости ε обязательно. В противном случае мы имели бы возможность экранирования всеобщего универсального явления всемирного тяготения, а именно, процесса поглощения (впитывания) объема энергетической среды в массу объекта.

Таким образом, формула для силы взаимодействия двух физических объектов произвольной массы m1 и m2 должна иметь следующий вид:

F = Λ1/2m1Λ1/2m2 / (4πR212)

– из условия, что общий виртуальный заряд, образующийся на массе m, равен n=m/Mpl элементарных виртуальных зарядов qv, т.е.

Λ1/2Mplm / Mpl = Λ1/2m.

Подтверждается правильность выдвинутого ранее тезиса о том, что в случае тяготения мы имеем дело с особым видом электромагнетизма или с особой формой его взаимодействия, являющейся, возможно, первичной, изначальной формой всех взаимодействий, началом начал. Полнейшее отсутствие какой бы то ни было возможности влияния на среду и на явление стягивания ее объема в объекты реальной физической массы наипервейшее условие этого начала начал.

Итак мы установили, что величина gv=Λ1/2=qv/Mpl должна являться удельным элементарным виртуальным электрическим зарядом

gv = │±Λ1/2│ = 9,154·10–4 [ед. СГСЭq/г].

На этом основании рассматриваемое физикой безразмерное соотношение сил ньютоновского Fn и кулоновского Fk притяжения электрона к протону

Fn / Fk = εΛmemp / (4πe2) = 4·10–40

необходимо трактовать только как сравнение интенсивности электромагнитного взаимодействия зарядов, возникающих на одинаковых массах в виртуальном и реальном электромагнитных полях, т.е.

Fn / Fk = εΛ1/2meΛ1/2mp / (4πgemegpmp),

где gp – удельный элементарный заряд протона, а mp – его масса.

При этом величина виртуального заряда, образующегося на массе электрона (qve) должна быть равна сумме n=me/Mpl элементарных виртуальных зарядов qve=Λ1/2Mpl, где n должно быть целым числом. Но отношение массы электрона к планковской массе является дробью значительно меньшей единицы. Это не дает возможности образования на его массе элементарного виртуального заряда. То же самое относится и к протону.

На этом основании рассматриваемое соотношение Fn/Fk должно быть вообще признано неправомочным, так как не имеет физического смысла и не может быть реализовано. Однако этот факт определяет необходимость обязательного указания того, что формула закона всемирного тяготения для силы взаимодействия двух масс

F = –Λm1m2r12 / (4πr312)

справедлива лишь для объектов с массами m≥Mpl каждый.

Итак, мы видим, что силы тяготения могут быть выражены в форме Кулоновского взаимодействия. Это свидетельствует о наличии единого, универсального начала для всех видов взаимодействий, определяющего все их дальнейшие свойства, зависимости и закономерности.

Таким образом, постоянная тяготения Λ является сложной величиной и представляет собой не только удельное ускорение потока стягивания объема среды в объекты реальной физической массы. Являясь квадратом удельного виртуального элементарного заряда Λ=(±Λ1/2)2=(gv)2 она определяет наинизший энергетический уровень натяжения объема среды между бесконечно удаленными в космическом пространстве объектами реальной физической массы.

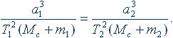
Подтверждением этого служит обобщенный Ньютоном третий закон Кеплера, выражающийся в виде:

(5)

т.е. квадраты сидерических периодов планет (Т21 и Т21), умноженные на сумму масс Солнца и планеты (Мс+m1 и Мс+m2), относятся как кубы больших полуосей орбит планет (а31 и а31). Формула (5) может быть представлена в виде:

(6)

Из формулы (6) следует, что размерность приведенных отношений равна размерности постоянной тяготения Λ. Численная величина этого отношения для планет солнечной системы равна 1,86·10–9[см3г–1с–2], хотя по логике изложения она должна быть равна Λ=8,38·10–7[см3г–1с–2]. Но здесь необходимо учитывать эмпирический характер вывода этих отношений, как со стороны Кеплера, так и со стороны Ньютона. Поэтому можно сделать попытку подбора безразмерного коэффициента на основе таких безразмерных фундаментальных констант, как π и α, устраняющего этот недостаток. Действительно, введением в отношения (6) безразмерного коэффициента равного (π–1α–3/2) мы получаем точную величину постоянной тяготения Λ. Не возникает сомнения в том, что составляющие этого безразмерного коэффициента являются непосредственными атрибутами в формулах электромагнитных процессов и явлений при электромагнитных взаимодействиях объектов реальной физической массы в объеме среды бесконечного космического пространства, в которой они находятся в постоянном движении.

Таким образом, раскрывается тайна гравитационной постоянной Λ, которая, как оказалось, является квадратом удельного виртуального заряда электромагнитной направленности. Этот факт дает полное право рассматривать силу гравитационного взаимодействия двух тел, как силу электромагнитного взаимодействия двух зарядов в среде первичного виртуального энергетического поля электромагнитной направленности.

На основании приведенных фактов можно с уверенностью констатировать:

явление всемирного тяготения является фундаментальным, всеобщим, универсальным и первичным процессом взаимодействия объектов реальной физической массы с энергетической средой виртуального и реального электромагнитных полей, являющихся составными частями общей среды заполняющей бесконечный объем космического пространства Вселенной в целом.

Тройственность физического смысла постоянной всемирного тяготения

Исследуя тайну постоянной всемирного тяготения, мы вынуждены были отметить необходимость существования некоторой первичной энергетической среды, активно участвующей в процессах мироздания. Эта среда, которую мы будем рассматривать отдельно и более подробно, представляет собой вакуумподобное состояние ее агрегатной фазы. Наинизший энергетический уровень натяжения объема среды и удельное ускорение потока стягивания его в единицу массы реального физического объекта, являющегося для нее дефектом ее структуры, связаны уравнением состояния Λ=–Λ. Это условие отражает особенности вакуумподобного состояния и определяет тот факт, что полученные основные физические параметры, характеризующие свойства этой среды, являются производными от одной и той же фундаментальной мировой физической величины – постоянной всемирного тяготения, которая выступает перед нами в качестве константы, содержащей в себе тройственный физический смысл.

Раскрывается тайна постоянной всемирного тяготения Λ=4πG, которая предстает перед нами в трех значениях взаимосвязанных физических смыслов.

1. Λ=(±Λ1/2)2 = 8,38·10–7 [см3г–1с–2] является квадратом удельного элементарного виртуального заряда (gv=±Λ1/2=9,154·10–4[СГСЭq/г]), представляющего элементарную ячейку первичного виртуального поля электромагнитной направленности, которое создает среду с наинизшим энергетическим уровенем натяжения заполняемого ею бесконечного объема пространства и определяет удельное ускорение потока стягивания объема этой среды в единицу массы реального физического объекта.

2. Наинизший энергетический уровень натяжения объема среды («вязкость» среды):

Λ = ±(Λ1/2)2 = 8,38·10–7 [см3г–1с–2].

3. Удельное ускорение потока стягивания объема среды в единицу массы реального физического объекта, направленное на устранение этого объекта как дефекта первичной среды с наинизшим уровнем энергетического состояния электромагнитной направленности:

Λ= 8,38·10–7 [см3г–1с–2].

Приведенные положения трех физических смыслов для одной физической величины Λ показывают, что эта величина может одновременно характеризовать:

а) первичное виртуальное поле электромагнитной направленности;

б) взаимодействия этого поля и порождаемых им электромагнитных структур между собой;

в) взаимодействие объектов реальной физической массы с первичным полем электромагнитной направленности и между собой на всех этапах их эволюции от рождения до перехода обратно в первичное полевое состояние, как для отдельного объекта, так и в системе объектов микро- и макромира бесконечного объема космического пространства Вселенной в целом.

Сделанные заключения и выводы требуют обязательного возврата понятия среды (аналогии эфира) и определения ее содержания и структуры. Возникает необходимость корректирования исходной парадигмы физики. В ее составе должно быть только три фундаментальных взаимодействия: сильное, слабое и электромагнитное (при этом последнее является их единой основой) и один обязательный, фундаментальный, первичный, единый, неустранимый и универсальный процесс поглощения (стягивания, впитывания, компактификации, схлопывания) объема некоторой энергетической среды веществом объектов реальной физической массы микро- и макромира Вселенной в целом. Этот процесс представляет собой явление всемирного тяготения.

Динамическая характеристика этого процесса – удельное ускорение (Λ) потока стягивания объема энергетической среды, является следствием наличия потенциала натяжения Λ этой среды, который определяет минимальный уровень ее энергетической структуры. Являясь первичным виртуальным полем электромагнитной направленности, эта среда порождает реальное электромагнитное поле, с которым взаимодействует через посредство постоянной тонкой структуры α. В результате возникают электрические заряды и происходит образование реальной физической массы объектов микромира элементарных частиц и, как следствие, макромира космических объектов бесконечного пространства Вселенной в целом.

Список литературы

ЗельдовичЯ.Б., ХлоповМ.Ю. Драма идей в познании природы. – М.: Наука. 1988.

ЧертовА.Г. Международная система единиц измерений. – М.: Высшая школа. 1967.


© 2012 Рефераты, курсовые и дипломные работы.