Реферат: Операции многократной точности (операции с длинными числами)
Реферат: Операции многократной точности (операции с длинными числами)
Задание
Операции многократной точности (т.е.
операции с длинными числами).
Конкретизация задания
Сначала буквам присваивается значение
– например: а=23850934, причем все переменные – целые числа, которые по длине
не должны превышать 300 знаков. Потом пишется выражение, например f=(a+b)/c+(d+a). При этом
деление – это целое от деления делимого на делитель. Операции сложения,
вычитания, умножения – обычные арифметические операции, только это операции над
длинными числами. Кроме сложения, вычитания, умножения и деления еще могут быть
использованы скобки.
Формат ввода
Любую строку в поле ввода можно представить в виде
S={C,V}
Где S – константа либо вычисляемое значение. Если это – константа,
то С – число в строковом виде, перед которым стоит символ «@», а если S надо найти то S=V, где V –
выражение с переменными и числами. В строке не должно быть пробелов и все
переменные состоят из одой буквы. Между строками в поле ввода не должно быть
пустых строк. Вывод идет аналогично вводу. Пример ввода и вывода можно посмотреть
на рисунке
Интерфейс программы.
Интерфейс программы – ее внешний вид является наглядным и
удобным. В верхнем поле ввода пишутся известные величины и формулы, потом
жмется кнопка «Расчитать» и в нижнем поле выводятся в алфавитном порядке все
переменные. Программа написана в среде программирования Delphi 6. Использовались только стандартные
компоненты – TEdit и TButton. Итого на форме размещено поле ввода, поле вывода и
кнопка – для запуска процесса расчета. Использование визуаль
ных средств разработки на много
ускорило процесс написания программы.
Структура хранения
Все длинные числа представляются в
виде строки, каждый элемент которой – цифра. Если число отрицательное, то
первым символом строки будет “-“. Чтобы считать по формуле используем структуру,
описанную ниже
type
dd= record
lin:array[1..300] of
string;
dl:integer;
end;
var
mas:array[1..300] of dd;
В массиве mas хранится уравнение. Каждый элемент массива –
отдельное уравнение. В lin
хранятся отдельные элементы уравнения. Например mas[3].lin=(‘A’,’=’,’3’,’/’,’(‘,’B’,’-‘,’1’,’)’) соответствует
уравнению A=3/(B-1).
В первом элементе (mas[i].lin[1]) всегда хранится буква, во втором (mas[i].lin[2]) символ “=”. Такая форма ведения уравнения нужна
для удобства вычисления длинных формул. В dl хранится текущее число элементов в уравнении+1. Можно
сказать – если dl=4, то в данном
элементе хранится не формула, которую надо вычислить, а значение.
Количество строк введенных в поле
ввода должно быть не более 300 – это задается размерностью массива mas.
Используемые процедуры и функции
zapolnenie; - заполнение массива mas из поля edt1.
sum(a,b:string):string;
- сумма чисел, хранящихся в a и b.
minus(a,b:string):string; - разность чисел, хранящихся в a и b. minus=a-b
umn(a:integer;var xx:string):string; - умножение числа хх на цифру а. Используется в функции umnozen.
umnozen(a,b:string):string; - произведение чисел, хранящихся в a и b.
del2(str:string):string; - делит число
str на 2.
sravnenie(a,b:string):shortint; - сравнивает число a с числом b.
Возвращается результат:
·
если а>b, то sravnenie =1
·
если а<b, то sravnenie =-1
·
если а<b, то sravnenie =0
delen(a,b:string):string; - частное от деления a на b.
Берется целая часть.
po_ch_num(ch:string;var znach:string):boolean; - ищет значение буквы в массиве mas. Если значение найдено то
возвращается значение «Истина», в противном случае «Ложь». Функция используется
для подстановки чисел в выражения. Аргументы: ch – буква, значение которой мы ищем, znach – найденное значение.
sislo(ch:char):boolean; - проверяет – является ли символ ch цифрой. Если да – то возвращается
«Истина». Функция используется для определения константа или выражения
соответствует заданной букве.
poisk(z:integer); -
процедура для вычисления значения выражения. Она опирается на все предыдущие
процедуры и функции. Z –
номер вычисляемого значения в массиве mas. Алгоритм ее работы таков: считаем количество открывающихся скобок и
если они есть, то начинаем считать с самой вложенной, потом идет умножение и
деление, потом сумма и разность. После каждой операции длина уравнения
уменьшается и обращение идет опять к процедуре poisk с тем же параметром z.
vivod; - вывод найденных значений в поле
вывода memo3.
TForm1.Button1Click(Sender: TObject);
- процедура нажатия на кнопку «Расчет».
TForm1.Button2Click(Sender: TObject);
- процедура нажатия на кнопку «Задание».
Все функции используют глобальную
переменную mas и все процедуры и функции между
собой тесно связаны.
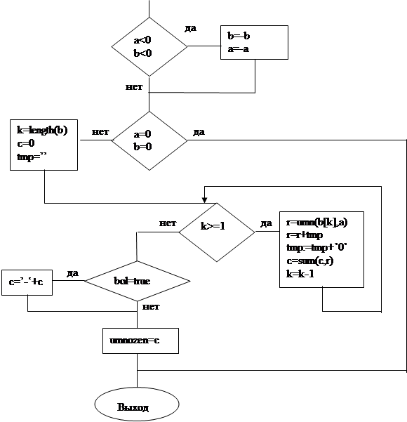
Рассмотрим алгоритм
работы процедуры umnozen

Листинг программы
unit Unit1;
interface
uses
Windows, Messages, SysUtils, Classes,
Graphics, Controls, Forms, Dialogs,
StdCtrls, Grids;
type
dd= record
lin:array[1..300] of string;
dl:integer;
end;
TForm1 = class(TForm)
Button1: TButton;
Memo1: TMemo;
Label1: TLabel;
Label3: TLabel;
Memo3: TMemo;
Button2: TButton;
procedure Button1Click(Sender:
TObject);
function minus(a,b:string):string;
function sum(a,b:string):string;
procedure Button2Click(Sender:
TObject);
private
{ Private declarations }
public
{ Public declarations }
end;
var
Form1: TForm1;
mas:array[1..300] of dd;
vs1:integer;{elementov v zn}
y:integer; {elementov v mas}
implementation
{$R *.DFM}
procedure
zapolnenie;
var
tmp:string;
j,nn,ll:integer;
chislo:boolean;
begin
y:=0;
for ll:=0 to form1.Memo1.Lines.Count do
begin
tmp:=form1.Memo1.Lines[ll];
y:=y+1;
mas[y].dl:=1;
nn:=0;
chislo:=false;
tmp:=ansiuppercase(tmp);
for j:=1 to length(tmp) do begin
if tmp[1]='@' then begin
mas[y].lin[3]:=copy(tmp,4,300);
mas[y].lin[1]:=tmp[2];
mas[y].lin[2]:=tmp[3];
mas[y].dl:=4;
break;
end
else begin
mas[y].lin[mas[y].dl]:=copy(tmp,nn+1,j-nn);
mas[y].dl:=mas[y].dl+1;
nn:=j;
end;
end;
end;
end;
function
TForm1.sum(a,b:string):string;
var
tmp,c,tmp2:string;
i,k,ost,j:integer;
bol:boolean;
begin
if ((b[1]='-') and (a[1]<>'-'))
then begin
sum:=form1.minus(a,copy(b,2,300));
exit;
end;
if ((a[1]='-') and (b[1]<>'-'))
then begin
sum:=form1.minus(b,copy(a,2,300));
exit;
end;
bol:=false;
if ((b[1]='-') and (a[1]='-')) then
begin
bol:=true; a:=copy(a,2,300);
b:=copy(b,2,300)
end;
if length(b)>length(a) then begin
tmp:=b; b:=a; a:=tmp;
end;
ost:=0;
if length(b)<>length(a) then
b:='0'+b;
c:=a;
j:=length(a);
tmp2:='';
for i:=length(b) downto 1 do begin
tmp2:=tmp2+'0';
k:=strtoint(c[j])+strtoint(b[i]);
k:=k+ost;
ost:=0;
if k>9 then begin
ost:=k div 10; k:=k mod 10;
end;
c[j]:=inttostr(k)[1];
j:=j-1;
end;
if ost>0 then begin
tmp2:=inttostr(ost)+tmp2;
c:=form1.sum(tmp2,c);
end;
if bol then c:='-'+c;
sum:=c;
end;
function
Tform1.minus(a,b:string):string;
var
i,la,lb,vv,snos:integer;
c,tmp:string;
pom:boolean;
begin
if ((b[1]='-') and (a[1]<>'-'))
then begin
minus:=form1.sum(a,copy(b,2,300));
exit;
end;
if ((a[1]='-') and (b[1]<>'-'))
then begin
minus:=form1.sum(a,'-'+b); exit;
end;
if ((b[1]='-') and (a[1]='-')) then
begin
minus:=form1.minus(copy(b,2,300),copy(a,2,300));
exit;
end;
c:=a;
pom:=false;
la:=length(a); lb:=length(b);
if lb>la then begin
pom:=true; c:=b; b:=a; a:=c;
la:=length(a); lb:=length(b);
end;
snos:=0;
for i:=lb downto 1 do begin
vv:=strtoint(a[la-lb+i])-strtoint(b[i])-snos;
snos:=0;
if vv<0 then begin
snos:=1; vv:=vv+10;
end;
c[la-lb+i]:=inttostr(vv)[1];
end;
if snos=1 then begin
tmp:='';
for i:=1 to lb do tmp:=tmp+'0';
tmp:='1'+tmp;
c:=minus(c,tmp);
end;
while ((c[1]='0')and(length(c)>1)) do
c:=copy(c,2,300);
if pom then c:='-'+c;
minus:=c;
end;
function
umn(a:integer;var xx:string):string;
var
i,ost,tmp,dl:integer;
str:string;
begin
ost:=0;
str:='';
dl:=length(xx);
for i:=dl downto 1 do begin
tmp:=a*strtoint(xx[i])+ost;
if tmp>9 then begin
str:=inttostr((tmp mod 10))+str;
ost:=tmp div 10;
if i=1 then str:=inttostr(ost)+str;
end
else begin
str:=inttostr(tmp)+str;
ost:=0;
end;
end;
umn:=str;
end;
function umnozen(a,b:string):string;
var
k,i:integer;
tmp,c,r:string;
bol:boolean;
begin
bol:=false;
if ((b[1]='-') and (a[1]<>'-'))
then begin
bol:=true; b:=copy(b,2,300);
end;
if ((a[1]='-') and (b[1]<>'-'))
then begin
bol:=true; a:=copy(a,2,300);
end;
if ((b[1]='-') and (a[1]='-')) then
begin
a:=copy(a,2,300); b:=copy(b,2,300)
end;
if ((a='0')or(b='0')) then begin
umnozen:='0'; exit;
end;
k:=length(b);
c:='0'; tmp:='';
for i:=k downto 1 do begin
r:=umn(strtoint(b[i]),a);
r:=r+tmp;
tmp:=tmp+'0';
c:=form1.sum(c,r);
end;
if bol then c:='-'+c;
umnozen:=c;
end;
function
sravnenie(a,b:string):shortint;
{ если а>b, то сравнение=1
если а<b, то сравнение=-1
если а<b, то сравнение=0}
var
la,lb,i:integer;
begin
la:=length(a); lb:=length(b);
if a[1]='-' then begin
if b[1]='-' then
sravnenie:=sravnenie(b,a)
else sravnenie:=-1;
exit;
end;
if b[1]='-' then begin
if a[1]='-' then
sravnenie:=sravnenie(b,a)
else sravnenie:=1;
exit;
end;
if lb>la then sravnenie:=-1;
if lb<la then sravnenie:=1;;
if la=lb then begin
for i:=1 to la do begin
if a[i]>b[i] then begin
sravnenie:=1;
exit;
end;
if a[i]<b[i] then begin
sravnenie:=-1;
exit;
end;
end;
sravnenie:=0;
end;
end;
function
del2(str:string):string;
var
ost,i:integer;
dr:string;
begin
ost:=0;
dr:='';
for i:=1 to length(str) do begin
dr:=dr+inttostr((strtoint(str[i])+ost*10) div 2);
ost:=((strtoint(str[i])+ost*10) mod 2);
end;
if dr[1]='0' then dr:=copy(dr,2,300);
del2:=dr;
end;
function
delen(a,b:string):string;
{delen=round(a/b)}
var
bol,zzz:boolean;
pr,tmp,lev,prav,rab:string;
begin
if b='0' then begin
showmessage('Íà
íîëü äåëèòü
íåëüçÿ!');
delen:='';
exit;
end;
zzz:=false;
if ((b[1]='-') and (a[1]<>'-'))
then begin
zzz:=true; b:=copy(b,2,300);
end;
if ((a[1]='-') and (b[1]<>'-'))
then begin
zzz:=true; a:=copy(a,2,300);
end;
if ((b[1]='-') and (a[1]='-')) then
begin
a:=copy(a,2,300); b:=copy(b,2,300)
end;
bol:=true;
lev:='0'; prav:=a; pr:='0'; rab:=a;
if b<>'1' then
while (bol) do begin
tmp:=form1.minus(a,pr);
if tmp[1]='-' then
tmp:=copy(tmp,2,300);
if (sravnenie(tmp,del2(b))<>1)
then break;//bol:=false;
tmp:=form1.minus(prav,lev); rab:='';
rab:=form1.sum(lev,del2(tmp));
pr:=umnozen(b,rab);
if sravnenie(a,pr)=1 then begin
lev:=rab;
end
else begin
prav:=rab;
end;
end;
if zzz then rab:='-'+rab;
delen:=rab;
if ((rab='-')or(rab=''))then
delen:='0';
end;
function
po_ch_num(ch:string;var znach:string):boolean;
var
bol:boolean;
i:integer;
begin
bol:=false;
for i:=1 to y do begin
if ((mas[i].dl=4)and(mas[i].lin[1]=ch))
then begin
bol:=true;
znach:=mas[i].lin[3];
end;
end;
po_ch_num:=bol;
end;
function
sislo(ch:char):boolean;
begin
if
((ch>='0')and(ch<='9')or(ch='-')) then sislo:=true
else sislo:=false;
end;
procedure
poisk(z:integer);
var
i,k,j,m,k2,zz:integer;
tmp:string;
zn:char;
begin
{snachala ubiraem skobki, potom *, potom
/, potom +, potom -}
k:=0;
for i:=1 to mas[z].dl-1 do
if mas[z].lin[i]='(' then k:=k+1;
if k>0 then begin
k2:=0;
for i:=1 to mas[z].dl-1 do begin
if mas[z].lin[i]='(' then k2:=k2+1;
if k2=k then begin
if mas[z].lin[i+2]=')' then begin
mas[z].lin[i]:=mas[z].lin[i+1];
for m:=i+1 to mas[z].dl-2 do
mas[z].lin[m]:=mas[z].lin[m+2];
mas[z].dl:=mas[z].dl-2;
poisk(z);
exit;
end
else begin
zz:=i+1;
while mas[z].lin[zz]<>')'
do begin
if
((mas[z].lin[zz]='*')or(mas[z].lin[zz]='/')) then begin
if
po_ch_num(mas[z].lin[zz-1],tmp) then mas[z].lin[zz-1]:=tmp;
if
po_ch_num(mas[z].lin[zz+1],tmp) then mas[z].lin[zz+1]:=tmp;
if
(((sislo(mas[z].lin[zz-1][1])))and(sislo(mas[z].lin[zz+1][1]))) then begin
zn:=mas[z].lin[zz][1];
if zn='*' then
mas[z].lin[zz-1]:=umnozen(mas[z].lin[zz-1],mas[z].lin[zz+1])
else
mas[z].lin[zz-1]:=delen(mas[z].lin[zz-1],mas[z].lin[zz+1]);
for m:=zz to mas[z].dl-2
do mas[z].lin[m]:=mas[z].lin[m+2];
mas[z].dl:=mas[z].dl-2;
poisk(z);
exit;
end;
end;
zz:=zz+1;
end;
//////// {snachala / i
*, potom + i -}
zz:=i+1;
while mas[z].lin[zz]<>')'
do begin
if
((mas[z].lin[zz]='+')or(mas[z].lin[zz]='-')) then begin
if
po_ch_num(mas[z].lin[zz-1],tmp) then mas[z].lin[zz-1]:=tmp;
if
po_ch_num(mas[z].lin[zz+1],tmp) then mas[z].lin[zz+1]:=tmp;
if
((sislo(mas[z].lin[zz-1][1]))and(sislo(mas[z].lin[zz+1][1]))) then begin
zn:=mas[z].lin[zz][1];
if zn='+' then
mas[z].lin[zz-1]:=form1.sum(mas[z].lin[zz-1],mas[z].lin[zz+1])
else
mas[z].lin[zz-1]:=form1.minus(mas[z].lin[zz-1],mas[z].lin[zz+1]);
for m:=zz to mas[z].dl-2
do mas[z].lin[m]:=mas[z].lin[m+2];
mas[z].dl:=mas[z].dl-2;
poisk(z);
exit;
end;
end;
zz:=zz+1;
end;
////////
end;
end;
end;
end
else begin {esli skobok net}
for zz:=1 to mas[z].dl-1 do
begin if ((mas[z].lin[zz]='*')or(mas[z].lin[zz]='/')) then begin
if
po_ch_num(mas[z].lin[zz-1],tmp) then mas[z].lin[zz-1]:=tmp;
if
po_ch_num(mas[z].lin[zz+1],tmp) then mas[z].lin[zz+1]:=tmp;
if
((sislo(mas[z].lin[zz-1][1]))and(sislo(mas[z].lin[zz+1][1]))) then begin
zn:=mas[z].lin[zz][1];
if zn='*' then
mas[z].lin[zz-1]:=umnozen(mas[z].lin[zz-1],mas[z].lin[zz+1])
else
mas[z].lin[zz-1]:=delen(mas[z].lin[zz-1],mas[z].lin[zz+1]);
for m:=zz to mas[z].dl-2
do mas[z].lin[m]:=mas[z].lin[m+2];
mas[z].dl:=mas[z].dl-2;
poisk(z);
exit;
end;
end;
end;
for zz:=1 to mas[z].dl-1 do begin
////////
if ((mas[z].lin[zz]='+')or(mas[z].lin[zz]='-'))
then begin
if
po_ch_num(mas[z].lin[zz-1],tmp) then mas[z].lin[zz-1]:=tmp;
if
po_ch_num(mas[z].lin[zz+1],tmp) then mas[z].lin[zz+1]:=tmp;
if
((sislo(mas[z].lin[zz-1][1]))and(sislo(mas[z].lin[zz+1][1]))) then begin
zn:=mas[z].lin[zz][1];
if zn='+' then
mas[z].lin[zz-1]:=form1.sum(mas[z].lin[zz-1],mas[z].lin[zz+1])
else
mas[z].lin[zz-1]:=form1.minus(mas[z].lin[zz-1],mas[z].lin[zz+1]);
for m:=zz to mas[z].dl-2
do mas[z].lin[m]:=mas[z].lin[m+2];
mas[z].dl:=mas[z].dl-2;
poisk(z);
exit;
end;
end;
///////
end;
end;
end;
procedure
vivod;
var
i:integer;
begin
form1.Memo3.Clear;
for i:=1 to y do
if mas[i].dl=4 then begin
form1.Memo3.Lines.Add(mas[i].lin[1]+'='+mas[i].lin[3]);
end;
end;
procedure
TForm1.Button1Click(Sender: TObject);
var
i,j:integer;
begin
zapolnenie;
for j:=1 to y do
for i:=1 to y do poisk(i);
vivod;
end;
procedure
TForm1.Button2Click(Sender: TObject);
begin
messagedlg('Îïåðàöèè
ìíîãîêðàòíîé
òî÷íîñòè',mtinformation,[mbok],0);
end;
end.
|