рефераты
Главная

Рефераты по рекламе

Рефераты по физике

Рефераты по философии

Рефераты по финансам

Рефераты по химии

Рефераты по хозяйственному праву

Рефераты по цифровым устройствам

Рефераты по экологическому праву

Рефераты по экономико-математическому моделированию

Рефераты по экономической географии

Рефераты по экономической теории

Рефераты по этике

Рефераты по юриспруденции

Рефераты по языковедению

Рефераты по юридическим наукам

Рефераты по истории

Рефераты по компьютерным наукам

Рефераты по медицинским наукам

Рефераты по финансовым наукам

Рефераты по управленческим наукам

Психология и педагогика

Промышленность производство

Биология и химия

Языкознание филология

Издательское дело и полиграфия

Рефераты по краеведению и этнографии

Рефераты по религии и мифологии

Рефераты по медицине

Рефераты по сексологии

Рефераты по информатике программированию

Краткое содержание произведений

Реферат: Передающее устройство одноволоконной оптической сети

Реферат: Передающее устройство одноволоконной оптической сети

Аннотация


Объектом исследования являются способы увеличения пропускной способности каналов волоконнооптических систем передачи путём передачи сигналов по одному оптическому волокну в двух направлениях.

Цель работы – определение способа увеличения пропускной способности каналов, подходящего для использования на соединительных линиях городской телефонной сети. И разработка соответствующего передающего устройства.

Выбран тип одноволоконнооптической системы передачи, разработана её структурная схема, разработана принципиальная схема передающего устройства и источник питания.

В процессе работы составлен обзор методов передачи сигналов по одному оптическому волокну в двух направлениях и определён способ увеличения пропускной способности каналов, подходящий для использования на соединительных линиях городской телефонной сети.

В дипломном проекте дан обзор существующих методов организации волоконнооптических систем передачи, а также освещены возможные способы построения одноволоконных систем передачи.

В ходе работы осуществлена разработка структурной схемы передающего устройства, кроме того, приведены варианты структурных схем возможных способов построения одноволоконных систем передачи.


Анотація


Об’єктом дослідження являються методи підвищення пропускної здатності каналів волоконнооптичних систем передачі шляхом передачі сигналів по одному оптичному волокну у двух напрямках.

Ціль роботи - визначення методу підвищення пропускної здатності каналів, придатного для експлуатаціі на з’єднувальних лініях міської телефонної мережі і разробка відповідного передавального пристрою.

Вибран тип одноволоконнооптичної системи передачі, розроблена її структурна і функціональна схема, розроблена електрична принципова схема передавального пристрою і блока живлення.

У процесі роботи складений огляд методів передачі сигналу по одному оптичному волокну у двух напрямках і визначений спосіб підвищення пропускної здатності каналів, придатний для експлуатації на з’єднувальних лініях міської телефонної мережі.

У дипломному проекті викладений огляд існуючих методів організації волоконнооптичних систем передачі, а також освітленні можливі способи побудови одноволоконних систем передачі.

У ході роботи здійснена розробка структурної схеми передавального пристрою, крім цього, приведені варіанти структурних схем можливих методів побудови оптичних систем передачі.


Annotation


Object of research are the ways of increase of throughput capacity of channels of fiber optic transmission systems by signaling on one optic fibre in two directions.

The purpose of activity - definition of a way of increase of throughput capacity of channels eligible for usage on connecting lines of a urban voice circuit. And mining of the conforming transmission device.

The phylum one of a fiber optic transmission system is selected, its skeleton diagram is designed, the principal diagram of a transmission device and power source is designed.

During activity the view of methods of signaling on one optic fibre in two directions is compounded and the way of increase of throughput capacity of channels eligible for usage on connecting lines of a urban voice circuit is determined.

In the degree project the view of existing methods of organization of fiber optic transmission systems is given, and also the possible ways of construction of one-fibre transmission systems are lighted.

During activity the mining of the skeleton diagram of a transmission device is carried out, besides the versions of the skeleton diagrams of possible ways of construction of one-fibre transmission systems are adduced.



СОДЕРЖАНИЕ


  1. Введение…………………………………………………………………………..4


2. Принципы построения и основные особенности волокон-

нооптических систем передачи в городских телефонных сетях…………..5

2.1 Линейные коды в волоконнооптических системах передачи....……………………7

2.2 Источники излучения волоконнооптических системах передачи…………………9

2.3 Детекторы волоконнооптических систем передачи……………………………….10

2.4 Оптические кабели в волоконнооптических системах передачи………………….11

2.5 Особенности одноволоконных оптических систем передачи……………………...13

2.6 Построение передающих и приемных устройств в волоконнооптических

системах передачи……………………………………………………………………..16

2.6.1 Виды модуляции оптических колебаний………………………………………...16

2.6.2 Оптический передатчик прямой модуляции…………………………………...18

2.6.3 Оптический приемник……………………………………………………………20


3. Выбор и обоснование структурной схемы передатчика…………………..21

    1. Методы построения структурных схем одноволоконных оптических

систем передачи………………………………………………………………………..21

3.1.1 Волоконнооптические системы передачи на основе различных способов

разветвления оптических сигналов…………………………………………...21

3.1.2 Волоконнооптическая система передачи, основанная на использовании

разделения разнонаправленных сигналов по времени………………………..24

3.1.3 Волоконнооптическая система передачи, на основе использования

различных видов модуляции…………..………………………………………...25

3.1.4 Волоконнооптическая система передачи с одним источником излучения…..28

3.2 Окончательный выбор структурной схемы передатчика…………………………...30

3.2.1 Выбор способа организации одноволоконного оптического тракта………...30

3.2.2 Структурная схема оптического передатчика…………………………….…30


4. Расчёт электрической принципиальной схемы……………………………32

4.1 Общие соображения по расчёту принципиальной схемы устройства………...…..32

4.2 Расчёт мощности излучения передатчика и выбор типа излучателя…………..….34

4.3 Расчёт выходного каскада…………………………………………………………....35

4.4 Расчет согласующего усилителя…………………………………………………..…39

4.5 Расчет устройства автоматической регулировки уровня оптического сигнала…..41

4.6 Расчёт схемы термостабилизации……………………………………………...……43

4.7 Расчёт источника питания одноволоконной оптической системы передачи……..45

4.8 Расчёт ёмкостей в схеме оптического передающего устройства………………….49

4.8.1 Расчёт эмиттерной ёмкости……………………………………………………49

4.8.2 Расчёт разделительной ёмкости………………………………………………..49

4.8.3 Расчёт ёмкостей фильтров……………………………………………………...50

4.9 Номиналы элементов схемы……………………………………………………...…..50

принципиальная схема оптического передатчика………………………..……52

принципиальная схема источника питания……………………………..……..53


5. Конструктивный расчёт печатной платы одноволоконной

оптической системы передачи……………………………………..…………54

5.1 Выбор материала печатной платы………………………………………….……….54

5.2 Размещение элементов и разработка топологии печатной платы……..………….55


6. Расчет надежности волоконнооптического передающего

устройства………...………………………………………...…….……………..59


7. Технико-экономический расчет………………………………………………63

7.1 Анализ рынка……………………………………………………………………….…63

7.2 Определение себестоимости одноволоконного оптического передатчика…….…65

7.2.1 Затраты на приобретение материалов…………………………………………65

7.2.2 Затраты на покупные изделия и полуфабрикаты………………………………66

7.2.3 Основная заработная плата производственных рабочих…………………...…67

7.2.4 Калькуляция себестоимости блока волоконнооптического передатчика….…69

7.3 Определение уровня качества изделия………………………………………………70

7.4 Определение цены изделия…………………………………………………………..72

7.4.1 Нижняя граница цены изделия……………………………………………………72

7.4.2 Верхняя граница цены изделия……………………………………………………73

7.4.3 Договорная цена……………………………………………………………………73

7.5 Определение минимального объема производства…………………………………73


8. Мероприятия по охране труда………………………………………………..75

8.1 Лазерная безопасность……………………………………………………………….75

8.2 Требования безопасности при эксплуатации лазерных изделий…………………78

8.3 Мероприятия по производственной санитарии………………………………….…79

8.4 Требование к освещению и расчёт освещённости…………………………………84

8.5 Мероприятия по улучшению условий труда…………………………………….…90

8.5.1 Расчёт местного отсоса……………………………………………………...90

8.6 Мероприятия по пожарной безопасности………………………………………..…91

8.7 Мероприятия по молниезащите здания………………………………………..……94


  1. Литература………………………………………………………………………95


Приложение…………………………………………………………...…………96

3



1. Введение


Цифровая связь по оптическим кабелям , приобретающая всё большую актуальность, является одним из главных направлений научно-технического прогресса .

Преимущества цифровых потоков в их относительно лёгкой обрабатываемости с помощью ЭВМ, возможности повышения отношения

сигнал/шум и увеличения плотности потока информации.

Преимущества оптических систем передачи перед системами передачи работающими по металлическому кабелю заключается в:

-возможности получения световодов с малым затуханием и дисперсией, а значит увеличение дальности связи;

-широкой полосе пропускания ,т.е. большой информационной ёмкости;

-оптический кабель не обладает электропроводностью и индуктивностью, то есть кабели не подвергаются электромагнитным воздействием;

-пренебрежимо малых перекрестных помех;

-низкой стоимостью материла оптического кабеля, его малый диаметр и масса;

-высокой скрытности связи;

-возможности усовершенствования системы при полном сохранении совместимости с другими системами передачи.

Линейные тракты волоконнооптических систем передачи строятся как двухволоконные однополосные одно кабельные, одноволоконные одно полосные однокабельные, одноволоконные многополосные одно кабельные (со спектральным уплотнением).

Учитывая, что доля затрат на кабельное оборудование составляет значительную часть стоимости связи, а цены на оптический кабель в настоящее время остаются достаточно высокими, возникает задача повышения эффективности использования пропускной способности оптического волокна за счёт одновременной передачи по нему большего объёма информации.

Этого можно добиться, например, передачей информации во встречных направлениях по одному оптическому кабелю.

Цель работы – определение способа увеличения пропускной способности каналов, подходящего для использования на соединительных линиях городской телефонной сети. И разработка соответствующего передающего устройства.

2



2. Принципы построения и основные особенности

волоконнооптических систем передачи в городских телефонных сетях.


Особенностью соединительных линий является относительно небольшая их длина за счет глубокого районирования сетей. Статистика распределения протяженности соединительных линий городской телефонной сети в крупнейших городах свидетельствует, что соединительные линии протяженностью до 6 км составляют 65% от всего числа соединительных линий.

Значительные расстояния между регенерационными пунктами волоконнооптических систем передачи дают возможность отказаться от оборудования регенераторов в колодцах телефонной канализации, а также от организации дистанционного питания (рис2.1).








В наиболее общем виде принцип передачи информации в волоконно-оптических системах связи изображен на рис.2.2.

На передающей стороне на излучатель света, в качестве которого в волоконнооптической системе связи используется светодиод или полупровод-никовый лазер, поступает электрический сигнал, предназначенный для передачи по линии связи. Этот сигнал модулирует оптическое излучение источника света, в результате чего электрический сигнал преобразуется в оптический. На прием-ной стороне сигнал из оптического волокна вводится в фотодетектор. В современных волоконнооптических системах передачи в качестве фотоде-тектора используют p-i-n или лавинный фото диод.

Фотодетектор преобразует падающее на него оптическое излучение в исходный электрический сигнал. Затем электрический сигнал поступает на усилитель (регенератор) и отправляется получателю сообщения.




Выбор элементной базы при реализации волоконнооптических систем передачи и параметры её линейного тракта зависят от скорости передачи символов цифрового сигнала. Существуют установленные правила объединения цифровых сигналов и определена иерархия аппаратуры временного объединения цифровых сигналов электросвязи. Сущность иерархии состоит в ступенчатом расположении указанной аппаратуры, при котором на каждой ступени объединяется определённое число цифровых сигналов, имеющих одинаковую скорость передачи символов, соответствующую предыдущей ступени. Цифровые сигналы во вторичной, третичной, и т.д. системах получаются объединением сигналов предыдущих иерархических систем. Для европейских стран установлены следующие стандартные скорости передачи для различных ступеней иерархии (соответственно ёмкости в телефонных каналах): первая ступень-2.048 Мбит/с (30 каналов), вторая-8.448 Мбит/с (120 каналов), третья-34.368 Мбит/с (480 каналов), четвертая-139.264 Мбит/с (1920 каналов). В соответствии с приведенными скоростями можно говорить о первичной, вторичной, третичной и четвертичной группах цифровых сигналов электрической связи (в этом же порядке присвоены названия системам ИКМ).

Аппаратура, в которой выполняется объединение этих сигналов, называется аппаратурой временного объединения цифровых сигналов. На выходе этой аппаратуры цифровой сигнал обрабатывается скремблером, то есть преобразуется по структуре без изменения скорости передачи символов для того, чтобы приблизить его свойства к свойствам случайного сигнала (рис.2.3). Это позволяет достигнуть устойчивой работы линии связи вне зависимости от статистических свойств источника информации. Скремблированный сигнал может подаваться на вход любой цифровой системы передачи, что осуществля-ется при помощи аппаратуры электрического стыка.


Скремб-лер

Преобразова-тель кода стыка

Преобразо-ватель кода

Передающий оптический модуль

- Структурная схема волоконнооптической системы передачи

Аппаратура стыка

Аппаратура оптического линейного тракта

Рис.2.3



Аппаратура временного

объединения



Для каждой иерархической скорости рекомендуются свои коды стыка, например для вторичной – код HDB-3, для четверичной – код CMI и т.д. Операцию преобразования бинарного сигнала, поступающего от аппаратуры временного объединения в код стыка, выполняет преобразователь кода стыка. Код стыка может отличаться от кода принятого в оптическом линейном тракте. Операцию преобразования кода стыка в код цифровой волоконнооптической системы передачи выполняет преобразователь кода линейного тракта, на выходе которого получается цифровой электрический сигнал, модулирующий ток излучателя передающего оптического модуля. Таким образом, волоконно-оптические системы передачи строятся на базе стандартных систем ИКМ заменой аппаратуры электрического линейного тракта на аппаратуру оптического линейного тракта.


Линейные коды в волоконнооптических

системах передачи


Оптическое волокно, как среда передачи, а также оптоэлектронные компоненты фотоприёмника и оптического передатчика накладывают ограничивающие требования на свойства цифрового сигнала, поступающего в линейный тракт. Поэтому между оборудованием стыка и линейным трактом волоконнооптической системы передачи помещают преобразователь кода. Выбор кода оптической системы передачи сложная и важная задача. На выбор кода влияет, во-первых, нелинейность модуляционной характеристики и температурная зависимость излучаемой оптической мощности лазера, которые приводят к необходимости использования двухуровневых кодов.

Во-вторых, вид энергетического спектра, который должен иметь минимальное содержание низкочастотных (НЧ) и высокочастотных (ВЧ) компонент. Энергетический спектр содержит непрерывную и дискретную части. Непрерывная часть энергетического спектра цифрового сигнала зависит от информационного сигнала и типа кода. Для того, чтобы цифровой сигнал не искажался в усилителе переменного тока фотоприёмника, желательно иметь низкочастотную составляющую непрерывной части энергетического спектра подавленной. В противном случае для реализации оптимального приёма перед решающим устройством регенератора требуется введение дополнительного устройства, предназначенного для восстановления НЧ составляющей, что усложняет оборудование линейного тракта. Существует ещё одна причина для уменьшения низкочастотной составляющей сигнала - оптическая мощность, излучаемая полупроводниковым лазером, зависит от окружающей температуры и может быть легко стабилизирована посредством отрицательной обратной связи (ООС) по среднему значению излучаемой мощности только в том случае, когда отсутствует НЧ часть спектра, изменяющаяся во времени. Иначе в цепь ООС придется вводить специальные устройства, компенсирующие эти изменения.

В-третьих, для выбора кода, высокое содержание информации о тактовом синхросигнале в линейном сигнале. В приёмнике эта информация используется для восстановления фазы и частоты синхронизи-рующего колебания, необходимого для управления принятием решения в пороговом устройстве. Осуществить синхронизацию тем проще, чем больше число переходов логического уровня в цифровом сигнале. Лучшим с точки зрения восстановления тактовой частоты и простоты реализации схемы выделения синхронизирующей информации, является сигнал, имеющий в энергетическом спектре дискретную составляющую на тактовой частоте.

В-четвертых, код не должен иметь каких-либо ограничений на передава-емое сообщение и обеспечивать однозначную передачу любой последовательно-сти нулей и единиц.

В-пятых, код должен обеспечивать возможность обнаружения и исправления ошибок. Основной величиной, характеризующей качество связи, является частость появления ошибок или коэффициент ошибок, определяемый отношением среднего количества неправильно принятых посылок к их общему числу. Контроль качества связи необходимо производить, не прерывая работу линии. Это требование предполагает использование кода, обладающего избыточностью, тогда достаточно фиксировать нарушение правил формирования кода, что бы контролировать качество связи.

Кроме вышеперечисленных требований на выбор кода оказывает влияние простота реализации, низкое потребление энергии и малая стоимость оборудования линейного тракта.

В современных оптоволоконных системах связи для городской телефонной сети ИКМ-120-4/5 и ИКМ-480-5 для передачи в качестве линейного кода используется код CMI, отвечающий большинству вышеперечисленных требований. Особенностью данного кода является сочетание простоты кодирования и возможности выделения тактовой частоты заданной фазы с помощью узкополосного фильтра. Код строится на основе кода HDB-3 (принцип построения представлен на рис.2.4). Здесь символ +1 преобразуется в кодовое слово 11, символ –1 –в кодовое слово 00, символ 0 -в 01. Из рисунка 2.4 видно, что для CMI характерно значительное число переходов, что свидетельствует о возможности выделения последовательности тактовых импульсов. Текущие цифровые суммы кодов имеют ограниченное значение. Это позволяет контролировать величину ошибки достаточно простыми средствами. Число одноименных следующих друг за другом символов не превышает двух – трех. Избыточность кода CMI можно использовать для передачи служебных сигналов.




Источники излучения волоконнооптических систем передачи


Источники излучения волоконнооптических систем передачи должны обладать большой выходной мощностью, допускать возможность разнообразных типов модуляции света, иметь малые габариты и стоимость, большой срок службы, КПД и обеспечить возможность ввода излучения в оптическое волокно с максимальной эффективностью. Для волоконнооптических систем передачи потенциально пригодны твердотельные лазеры, в которых активным материалом служит иттрий алюминиевый гранат, активированный ионами ниодима с оптической накачкой, у которого основной лазерный переход сопровождается излучением с длиной волны 1,064 мкм. Узкая диаграмма направленности и способность работать в одномодовом режиме с низким уровнем шума являются плюсами данного типа источников. Однако большие габариты, малый КПД, потребность во внешнем устройстве накачки являются основными причинами, по которым этот источник не используется в современных волоконно- оптических системах передачи. Практически во всех волоконнооптических системах передачи, рассчитанных на широкое применение, в качестве источников излучения сейчас используются полупроводниковые светоизлучающие диоды и лазеры. Для них характерны в первую очередь малые габариты, что позволяет выполнять передающие оптические модули в интегральном исполнении. Кроме того, для полупроводниковых источников излучения характерны невысокая стоимость и простота обеспечения модуляции.


Детекторы волоконнооптических

систем передачи


Функция детектора волоконнооптической системы передачи сводится к преобразованию входного оптического сигнала, который затем подвергается усилению и обработке схемами фотоприемника. Предназначенный для этой цели фотодетектор должен воспроизводить форму принимаемого оптического сигнала, не внося дополнительного шума, то есть обладать требуемой широкополосностью, динамическим диапазоном и чувствительностью. Кроме того, фотодетектор должен иметь малые размеры (но достаточные для надежного соединения с оптическим волокном), большой срок службы и быть не чувствительным к изменениям параметров внешней среды. Существующие фотодетекторы далеко не полно удовлетворяют перечисленным требованиям. Наиболее подходящими среди них для применения в волоконнооптических системах передачи являются полупроводниковые p-i-n фотодиоды и лавинные фотодиоды. Они имеют малые размеры и достаточно хорошо стыкуются с волоконными световодами.

Достоинством лавинных фотодиодов является высокая чувствительность (может в 100 раз превышать чувствительность p-i-n фотодиода), что позволяет использовать их в детекторах слабых оптических сигналов. Однако, при использовании лавинных фотодиодов нужна жесткая стабилизация напряжения источника питания и температурная стабилизация, поскольку коэффициент лавинного умножения, а следовательно фототок и чувствительность лавинного фотодиода, сильно зависят от напряжения и температуры. Тем не менее, лавинные фотодиоды успешно применяются в ряде современных волоконнооптических системах связи, таких как ИКМ-120/5, ИКМ-480/5.


Оптические кабели в волоконнооптических системах передачи


Оптический кабель предназначен для передачи информации, содержащейся в модулированных электромагнитных колебаниях оптического диапазона. В настоящее время используется диапазон длин волн от 0.8 до 1.6 мкм, соответствующий ближним инфракрасным волнам. оптического диапазона.

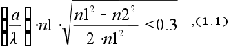
Передача света по любому световоду может осуществляться в двух режимах: одномодовом и многомодовом.




где  - длина волны передаваемого излучения, n1 и n2 – показатели преломления материалов световода.

Если неравенство (1.1) не удовлетворено, то в световоде устанавливается многомодовый режим. Очевидно, что тип модового режима зависит от характеристик световода (а именно радиуса сердцевины и величины показателей преломления) и длины волны передаваемого света.

Различают световоды со ступенчатым профилем, у которых показатель преломления сердцевины n1 одинаков по всему поперечному сечению, и градиентные - с плавным профилем, у которых n1 уменьшается от центра к периферии (рис.2.6).

Фазовая и групповая скорости каждой моды в световоде зависят от частоты, то есть световод является дисперсной системой. Вызванная этим волноводная дисперсия является одной из причин искажения передаваемого сигнала. Различие групповых скоростей различных мод в многомодовом режиме называется модовой дисперсией. Она является весьма существенной причиной искажения сигнала, поскольку он переносится по частям многими модами. В одномодовом режиме отсутствует модовая дисперсия, и сигнал искажается значительно меньше, чем в многомодовом, однако в многомодовый световод можно ввести большую мощность.




На сегодняшний день промышленностью выпускаются оптические кабели имеющие четыре и восемь волокон(марки ОК). Конструкция ОК-8 приведена на рис.2.7. Оптические волокна 1 (многомодовые, ступенчатые) свободно располагаются в полимерных трубках 2. Скрутка оптических волокон – повивная, концентрическая. В центре – силовой элемент 3 из высокопрочных полимерных нитей в пластмассовой трубке 4. Снаружи – полиэтиленовая лента 5 и оболочка 6. Кабель ОК-4 имеет принципиально те же конструкцию и размеры, но четыре ОВ в нем заменены пластмассовыми стержнями.




К недостаткам волоконнооптической технологии следует отнести:

А. Необходимость использования оптических коннекторов с малыми оптическими потерями и большим ресурсом на подключение-отключение. Точность изготовления таких элементов линии связи очень высока. Поэтому производство таких компонентов оптических линий связи очень дорогостоящее.

Б. Монтаж оптических волокон требуется прецизионное, а потому дорогое, технологическое оборудование.

В. При аварии (обрыве) оптического кабеля затраты на восстановление выше,

чем при работе с медными кабелями.

Тем не менее, преимущества от применения волоконнооптических линий связи настолько значительны, что, несмотря на перечисленные недостатки оптического волокна, эти линии связи все шире используются для передачи информации.


Особенности одноволоконных оптических

систем передачи


Широкое применение на городской телефонной сети волоконно-оптических систем передачи для организации меж узловых соединительных линий позволяет решить проблему увеличения пропускной способности сетей. В ближайшие годы потребность в увеличении числа каналов будет быстро расти. Наиболее доступным способом увеличения пропускной способности волоконных оптических систем передачи в два раза является передача по одному оптическому волокну двух сигналов в противоположных направлениях. Анализ опубликованных материалов и завершенных исследований и разработок одноволоконных оптических систем передачи позволяет определить принципы построения таких систем.

Наиболее распространенные и хорошо изученные одноволоконные оптические системы передачи, работающие на одной оптической несущей, кроме оптического передатчика и приемника содержат пассивные оптические разветвители. Замена оптических разветвителей на оптические циркуляторы позволяет уменьшить потери в линии 6 дБ, а длину линии – соответственно увеличить. При использовании разных оптических несущих и устройств спектрального уплотнения каналов можно в несколько раз повысить пропускную способность и соответственно снизить стоимость в расчете на один канало- километр.

Увеличить развязку между противонаправленными оптическими сигналами, снизить требования к оптическим разветвителям, а следовательно, уровень помех и увеличить длину линии можно путем специального кодирования, при котором передача сигналов одного направления осуществляется в паузах передачи другого направления. Кодирование сводится к уменьшению длительности оптических импульсов и образованию длительных пауз, необходимых для развязки сигналов различных направлений. В волоконнооптических системах передачи, построенных подобным образом, могут быть использованы эрбиевые волоконнооптические усилители. Дуплексная связь организуется по принципу разделения по времени, которое изменяется с помощью изменения направления накачки.

Развязку между оптическими сигналами можно увеличить, не прибегая к сужению импульсов, если для передачи в одном направлении используется когерентное оптическое излучение и соответствующие методы модуляции, а в другом – модуляцию сигнала по интенсивности. При этом существенно уменьшается влияние как оптических разветвителей, так и обратного рассеяния оптического волокна.

Если позволяет энергетический потенциал аппаратуры, на относительно коротких линиях может быть использован только один оптический источник излучения на одном конце линии. На другом конце вместо модулируемого оптического источника применяется модулятор отраженного излучения. Такой метод дуплексной связи по одному оптическому волокну обеспечивает высокую надежность оборудования и применение волоконнооптических систем передачи в экстремальных условиях эксплуатации.

По достижении высокого уровня развития волоконнооптической техники, когда станет практически возможным передавать оптически сигналы на различных модах оптического волокна с достаточной для волоконнооптической системы передачи развязкой, дуплексная связь по одному оптическому волокну может быть организована на двух разных модах, распространяющихся в разных направлениях, с использованием модовых фильтров и формирователей мод излучения.

Каждая одноволоконная оптическая система передачи из рассмотренных типов имеет достоинства и недостатки. В таблице 2.1 показаны достоинства (знаком «+») систем, их возможности в отношении достижения наилучших параметров.


Таблица 2.1 - Сравнительная характеристика принципов построения одноволоконных оптических систем передачи.


Тип волоконно- оптической системы передачи


Минимальное затухание, максимальная длина РУ


Защищен-ность сигналов


Большой объем передаваемой информации


Относи-тельно низкая стоимость


Высокая надежность и стойкость к внешним воздействиям


С оптическими разветвителями





+


С оптическими циркуляторами


+





Со спектральным уплотнением



+

+



С разделением по времени с использованием оптических переключателей

+




С разделением по времени с использованием оптических усилителей

+

+




С когерентным излучением в одном направлении и модуляцией интенсивности в другом

+

+



С одним источником излучения


+

+

С модовым разделением

+



С когерентным излучением для обоих направлений с разными видами модуляции

+

+

+




Построение передающих и приемных устройств в волоконнооптических системах передачи


Виды модуляции оптических колебаний.


Для передачи информации по оптическому волокну необходимо изменение параметров оптической несущей в зависимости от изменений исходного сигнала. Этот процесс называется модуляцией.

Существует три вида оптической модуляции:


Прямая модуляция. При этом модулирующий сигнал управляет интенсивностью (мощностью) оптической несущей. В результате мощность излучения изменяется по закону изменения модулирующего сигнала (рис.2.9).




Внешняя модуляция. В этом случае для изменения параметров несущей используют модуляторы, выполненные из материалов, показатель преломления которых зависит от воздействия либо электрического, либо магнитного, либо акустического полей. Изменяя исходными сигналами параметры этих полей, можно модулировать параметры оптической несущей (рис.2.10).


Внутренняя модуляция. В этом случае исходный сигнал управляет параметрами модулятора, введённого в резонатор лазера (рис.2.11).

Для внешней модуляции электрооптические (ЭОМ) и акустооптические (АОМ) модуляторы.

Принцип действия электрооптического модулятора основан на электрооптическом эффекте – изменении показателя преломления ряда материалов под действием электрического поля. Эффект, когда показатель преломления линейно зависит от напряженности поля, называется эффектом Поккельса. Когда величина показателя преломления нелинейно зависит от напряженности электрического поля, то это эффект Керра.

Акустооптические модуляторы основаны на акустооптическом эффекте – изменении показателя преломления вещества под воздействием ультразвуковых волн. Ультразвуковые волны возбуждаются в веществе с помощью пъезокристалла, на который подается сигнал от генератора с малым выходным сопротивлением и большой акустической мощностью.

Наиболее простым с точки зрения реализации видом модуляции является прямая модуляция оптической несущей по интенсивности на основе полупроводникового источника излучения. На рис.2.12 представлена схема простейшего прямого модулятора. Здесь исходный сигнал через усилитель подаётся на базу транзистора V1, в коллектор которого включен излучатель V2. Устройство смещения позволяет выбрать рабочую точку на ваттамперной характеристике излучателя.






Оптический передатчик прямой модуляции


Структурная схема оптического передатчика прямой модуляции приведенная на рис.2.13, является оптимальной, т.к. наиболее рационально реализует все функциональные возможности и достоинства выбранного вида модуляции.



Преобразователь кода ПК преобразует стыковой код, в код, используемый в линии, после чего сигнал поступает на модулятор. Схема оптического модулятора исполняется в виде передающего оптического модуля (ПОМ), который помимо модулятора содержит схемы стабилизации мощности и частоты излучения полупроводникового лазера или светоизлучающего диода. Здесь модулирующий сигнал через дифференциальный усилитель УС-1 поступает в прямой модулятор с излучателем (МОД). Модулированный оптический сигнал излучается в основное волокно ОВ-1. Для контроля мощности излучаемого оптического сигнала используется фотодиод (ФД), на который через вспомогательное волокно ОВ-2 подается часть излучаемого оптического сигнала. Напряжение на выходе фотодиода, отображающее все изменения оптической мощности излучателя, усиливается усилителем УС-2 и подается на инвертирующий вход усилителя УС-1. Таким образом, создается петля отрицательной обратной связи, охватывающая излучатель. Благодаря введению ООС обеспечивается стабилизация рабочей точки излучателя. При повышении температуры энергетическая характеристика лазерного диода смещается (рис.2.14), и при отключенных цепях стабилизации мощности уровень оптической мощности при передаче «0» (Р0) и при передаче «1» (Р1) уменьшаются, разность тока смещения Iб и порогового тока Iп увеличивается, а разность Р1-Р0 уменьшается. После времени установления переходных процессов в цепях стабилизации устанавливаются новые значения Iб и Iп и восстанавливаются прежние значения Р1-Р0 и Рср. Для уменьшения температурной зависимости порогового тока в передающем оптическом модуле имеется схема термостабилизации (СТС), поддерживающая мощность излучения передающего оптического модуля постоянной при изменении температуры от номинального значения.




Оптический приемник


Структурная схема оптического приемника (ОПр) показана на рис.2.15. Приемник содержит фотодетектор (ФД) для преобразования оптического сигнала в электрический. Малошумящий усилитель (УС) для усиления полученного электрического сигнала до номинального уровня. Усиленный сигнал через фильтр (Ф), формирующий частотную характеристику приемника, обеспечивающую квазиоптимальный прием, поступает в устройство линейной коррекции (ЛК). В линейной коррекции компенсируются частотные искажения электрической цепи на стыке фотодиода и первого транзистора усилителя. После преобразований сигнал поступает на вход решающего устройства (РУ), где под действием тактовых импульсов, поступающих от устройства выделения тактовой частоты (ВТЧ), принимается решение о принятом символе. На выходе оптического приёмника имеется преобразователь кода (ПК), преобразующий код линейный в стыковой код.






20



3. Выбор и обоснование структурной

схемы передатчика


3.1. Методы построения структурных схем одно-волоконных оптических систем передачи


Как упоминалось в предыдущей главе, на сетях связи находят широкое применение волоконнооптические системы передачи со спектральным уплотнением. Кроме того, на низких скоростях передачи, до 140 Мбит\сБ где наблюдается взаимодействие между противонаправленными сигналами из-за обратного рассеяния, могут быть эффективно использованы системы с разделением по времени.

Ниже рассмотрены несколько методов и схем построения одно-волоконных оптических систем передачи различных типов и различного назначения.


Волоконнооптические системы передачи на основе различных способов разветвления

оптических сигналов.


Данная группа схем включает в себя одноволоконные оптические системы передачи с оптическими разветвителями, с оптическими циркуля-торами, устройствами спектрального уплотнения, а также фильтрами разделения мод оптического излучения. На рисунке 3.1 показана схема оптической системы передачи с модуляцией сигнала по интенсивности, содержащая блоки оптического передатчика (ОП), оптического приемника (ОП) устройства соединения станционного и линейного кабеля (УССЛК), разъемные соединители (РС), устройства объединения и разветвления оптических сигналов (УОРС).

Оптический передатчик (ОП) содержит преобразователь кода (ПК), преобразующий стыковой код в код, используемый в линии; усилитель (УC), усиливающий электрический сигнал до уровня, необходимого для модуляции полупроводникового лазера (ПЛ); лазерный генератор (ЛГ), включающий в себя устройство термостабилизации и прямой модулятор; согласующие устройства (С) полупроводникового лазера с оптическим волокном.

Оптический приёмник (ОПр) содержит согласующие устройства (С) оптического волокна с фотодиодом; фотодетектор (ФД); малошумящий транзисторный усилитель (У); фильтр (Ф), формирующий частотную характеристику приёмника, обеспечивающую квазиоптимальный приём сигнала; устройство линейной коррекции (ЛК), компенсирующее частотные



искажения электрической цепи на стыке фотодиода и первого транзистора усилителя; решающее устройство (РУ), устройство выделения тактовой частоты (ВТЧ) и преобразователь кода (ПК), преобразующий код линии в стыковой код.

Устройства объединения и разветвления оптических сигналов, в зависимости от типа одноволоконной оптической системы передачи, может представлять собой: оптический разветвитель или циркулятор при работе на одной оптической частоте в обоих направлениях; устройство спектрального уплотнения при работе на разных оптических частотах; модовый фильтр при работе на разных модах излучения оптического волокна.

С целью оценки основных характеристик одноволоконной оптической системы передачи можно использовать приближенные соотношения для расчета длины регенерационного участка (РУ).

М
аксимальная длина регенерационного участка волоконнооптической системы передачи данного типа определяется соотношением:


где Эми – энергетический потенциал одноволоконной оптической системы передачи , ДБ;

ов – затухание сигнала на одном километре оптического волокна, ДБ/км;

уорс- то же, в устройстве объединения и разветвления сигналов, ДБ;

усслк – то же, в УССЛК, ДБ;

рс, нс – то же, в разъемных и неразъемных соединителях, ДБ;

l
с – строительная длина оптического кабеля, км. При этом:

где Эми’ – энергетический потенциал, ДБ, волоконнооптическая система передачи при отсутствии шума обратного рассеяния излучения в оптическом волокне;

Ршор/Рш – доля шума обратного рассеяния в полном шуме на входе решающего устройства.

Рассчитаем длину регенерационного участка одноволоконной оптической системы передачи первого типа при следующих исходных данных: Эми=35 ДБ, Зэ=6 ДБ, ов=1 ДБ, нс=усслк=0.1 ДБ, рс=1 ДБ, lс=2 км. Так по формуле (2.1), при использовании оптических разветвителей с уорс=4ДБ:





Волоконнооптическая система передачи, основанная на использовании разделения разнонаправленных

сигналов по времени.


Во второй группе схем для разделения разнонаправленных сигналов по времени используются оптические разветвители, переключатели и оптические усилители (ОУ). В схеме одноволоконной оптической системы передачи сигнала с модуляцией по интенсивности, в отличие от первой группы схем, вместо устройства объединения и разветвления оптических сигналов использованы устройства оптического переключения УОП (рисунок 3.2).




Будем рассматривать устройства оптического переключения двух вариантов – оптические переключатели (П) и соединение оптического разветвителя ОР с оптическим усилителем ОУ. Управляющий сигнал поступает в первом случае на управляющий вход переключателя, во втором – по цепи управления направлением оптической волны накачки оптического усилителя.

Максимальная длина регенерационного участка для второй группы схем определяется соотношением:

,
где уоп – затухание сигнала в УОП, ДБ;

Эми” – энергетический потенциал одноволоконнооптической системы передачи , определяемый соотношениями:

Эми”=Эми’ при использовании оптических переключателей (Эми’–

энергетический потенциал обычной волоконнооптической системы

передачи с учётом специального кодирования).

  1. Эми”=Эми’-10lg(1+Ршоу/РШ) при использовании оптического разветвителя с оптическим усилителем, где Ршор и Рш – мощности эквивалентного шума на входе оптического приемника и шума оптического усилителя на его выходе, ДБ.

Затухание сигнала в устройстве оптического переключения определяется соотношениями:

  1. уоп=п при использовании оптического переключателя, где п – затухание сигнала в оптическом переключателе;

уоп=ор-Коу при использовании оптического разветвителя с оптическим усилителем, где Коу – коэффициент усиления ОУ, ДБ.

Длина регенерационного участка l2 для приведённых выше значений параметров аппаратуры и использовании оптических переключателей (уоп=3.5ДБ), согласно формуле (2.3), составляет:




На стоимость одноволоконнооптической системы передачи второй группы существенно влияет выбор типа устройства оптического переключения, особенно в случае использования оптических усилителей. Надежность волоконнооптической системы передачи этой группы, в отличие от рассмотренной выше, существенно зависит от надежности устройства оптического переключения в случае применения оптического усилителя, так как для накачки таких усилителей применяются полупроводниковые лазеры.


Волоконнооптическая система передачи, на основе использования различных видов модуляции.


Третья группа схем одноволоконных оптических систем передачи основана на использовании разных видов модуляции оптических и электрических сигналов. И соответствующих методов обработки сигналов с целью устранения взаимного влияния разнонаправленных сигналов.

В схеме этой группы (рисунок 3.3) применены когерентные методы передачи и приема оптического сигнала, амплитудная (для одного направления передачи) и частотная (для другого направления) модуляция сигнала. В отличие от волоконнооптической системы передачи первой группы (рисунок 3.1), оптические передатчики – когерентные (КОП) и содержат системы стабилизации оптической частоты и формирования узкой линии излучения (СЧУЛ) и блоки, обеспечивающие обработку сигналов с заданной модуляцией.




В когерентных оптических приемниках (КОПр) используется местный лазерный генератор (МЛГ) с узкой линией излучения и устройство автоматической подстройки его частоты (АПЧ), оптический сумматор (ОС), усилитель промежуточной частоты (УПЧ), а также демодулятор (ДМ), амплитудный или частотный, в зависимости от вида модуляции принимаемого сигнала. В такой схеме достигается максимальная длина регенерационного участка.

Кроме того возможна другая схема одноволоконной оптической системы передачи третьей группы, в которой в одном направлении передачи использована модуляция по интенсивности, а в другом – когерентная модуляция (КОИ-АМ или КОИ-ЧМ) оптического сигнала.

На рисунке 3.4 приведена схема, в которой использована модуляция по интенсивности оптических сигналов электрическими сигналами, описываемыми ортогональными (на тактовом интервале) функциями. В отличие от волокон-нооптической системы передачи первой группы (рисунок 3.1), оптические передатчики таких систем содержат генераторы ортогональных сигналов (ГОС1 и ГОС2), а в оптических приёмниках использованы корреляционные демодуляторы (КДМ). Для подстройки генератора ГОС2 используется выделитель ортогонального сигнала (ВОС) и компаратор (КОМ).




Для передачи информационного сигнала может быть использована поднесущая частота, расположенная выше диапазона частот, где несущественно влияние обратного рассеяния в оптическом волокне на характеристики одноволоконной оптической системы передачи (выше 200 Мгц). Таким образом, устраняется шум обратного рассеяния и тем самым повышается энергетический потенциал. В отличие от волоконнооптической системы передачи первой группы, в данной системе используются генераторы поднесущей частоты, полосовые фильтры и устройства восстановления поднесущей частоты.

Максимальная длина регенерационного участка одноволоконной оптической системы передачи третьей группы определяется выражением:

г
де:

n=11;22;33;




Э11’=Экои-ам, Э22’=Экои-чм, Э33’=Эми’ – энергетический потенциал когерентных волоконнооптической системы передачи с амплитудной и частотной модуляцией и волоконнооптической системы передачи с модуляцией по интенсивности.

В отличие от рассмотренных выше одноволоконных оптических систем передачи первой и второй групп, системы данной группы могут быть несимметричными, а максимальные длины регенерационных участков для передачи в разных направлениях – различными. В частности Э11’больше Э33’ на 10..15 ДБ, а Э22’ больше Э11’ на 3 ДБ.

Длина регенерационного участка для направления передачи, где используется КОИ-АМ (Э11’=45ДБ) составляет:




Стоимость когерентных полупроводниковых лазеров и систем стабилизации частоты лазеров, используемых в волоконнооптических системах передачи третьей группы, пока ещё высока, что в значительной степени ограничивает область применения одноволоконных оптических системах передачи с использованием когерентных методов передачи и обработки сигнала. Показатели надежности определяются главным образом надежностью работы полупроводниковых лазеров и систем стабилизации их частоты.


Волоконнооптическая система передачи с одним

источником излучения.


В особых условиях эксплуатации могут быть использованы методы построения одноволоконных оптических систем передачи по схеме на рис.3.5 В оптическом передатчике на одном конце линии вместо полупроводникового лазера используется модулятор отраженного излучения (МОИ), устройство снятия модуляции (УСМ) и оптический разветвитель с большим отношением мощности на выходах 1 и 2. Большая мощность поступает в модулятор отраженного излучения, а меньшая – в оптический приёмник. В оптическом передатчике принятый сигнал подвергается модуляции вторым информационным сигналом. И через устройство объединения и разветвления оптических сигналов (УОРС) поступает в оптический кабель и далее в оптический приёмник на другом конце линии.




Такие волоконнооптические системы передачи могут быть использованы в экстремальных условиях эксплуатации на одном конце линии, так как полупроводниковые лазеры чрезвычайно чувствительны к нестабильности условий эксплуатации.

Максимальная длина регенерационного участка рассматриваемой одноволоконнооптической системы передачи значительно меньше, чем у систем, описанных выше, и определяется соотношением:





Где ор1, мои – соответственно затухание сигнала в оптическом разветвителе на выходе 1 и в модулятор отраженного излучения, ДБ.

Длина l4 для ор1=1 ДБ, мои=3 ДБ и приведенных в пункте 2.1.1 значений других параметров аппаратуры согласно формуле (2.6) составляет:

П
оказатели надежности одноволоконной оптической системы в данном случае определяются главным образом надежностью оптоэлектронных элементов оборудования, находящегося в экстремальных условиях эксплуатации.


3.2.Окончательный выбор структурной схемы передатчика.


Выбор способа организации одноволоконного оптического тракта.


При проектировании одноволоконных оптических систем передачи с оптимальными характеристиками выбор структурной схемы системы и используемых технических средств определяется критериями оптимальности. Если критерием является минимальная стоимость, то в оптимальной системе должны использоваться оптические разветвители.

Максимальная длина регенерационного участка требует применения оптических циркуляторов, переключателей, оптических усилителей, когерентных методов передачи сигнала. Требования высокой надежности и стойкости к внешним воздействиям определяют выбор системы с оптическим источником на одном конце линии, а требование максимального объема передаваемой информации – системы со спектральным уплотнением или с когерентными методами передачи.

С учётом того, что проектируемый оптический передатчик предназначен для использования на соединительных линиях городской телефонной сети, для него характерны следующие критерии оптимальности:

- Стоимость и простота реализации;

- Длина регенерационного участка не менее 8 км;

- Относительно низкая скорость передачи (8.5 Мбит\с).

Наилучшим вариантом реализации одноволоконной оптической системы передачи, с точки зрения приведённых критериев оптимальности, является схема волоконнооптической системы связи с модуляцией по интенсивности, с применением оптических разветвителей (рисунок 3.1). Данная схема отличается простотой реализации оптического передатчика и приемника, невысокой стоимостью устройств объединения и разветвления оптических сигналов (оптических разветвителей). Схема обеспечивает длину регенерацион-ного участка до 18 км, что удовлетворяет вышеприведённым критериям оптимальности.


Структурная схема оптического передатчика.


Структурная схема оптического передатчика представлена на рис.3.6. Сигнал в коде HDB от цифровой системы уплотнения каналов поступает на преобразователь кода (ПК), в котором код HDB преобразуется в линейный код оптической системы передачи CMI. Полученный электрический сигнал поступает на усилитель (УС), состоящий из двух каскадов: предварительного каскада усиления (ПКУ) и оконечного каскада усиления (ОКУ), где усиливается до уровня, необходимого для модуляции оптической несущей. Усиленный сигнал поступает на прямой модулятор (МОД), состоящий из устройства смещения (УСМ), служащего для задания рабочей точки на ватт - амперной характеристике излучателя и, собственно, самого прямого модулятора, собранного по классической схеме из полупроводникового оптического излучателя V1 и транзистора V2. Для обеспечения стабильности работы излучателя, в схему лазерного генератора (ЛГ) введены устройство обратной связи (УОС) и система термостабилизации (СТС). С выхода модулятора оптический сигнал, промодулированный по интенсивности цифровым электрическим сигналом в коде CMI, поступает на устройство согласования полупроводникового излучателя с оптическим волокном (СУ).




В следующей главе, на основании структурной схемы передатчика, будет разрабатываться его принципиальная схема и электрический расчет основных узлов.


31



4. Расчёт электрической принципиальной схемы


Общие соображения по расчёту принципиальной схемы устройства


Первым этапом при проектировании принципиальной схемы передающего устройства волоконной оптической системы передачи является выбор типа и марки оптического излучателя исходя из предъявляемых к его техническим характеристикам требований. К основным техническим характеристикам излучателей относятся:

-мощность излучения;

-длина волны излучения;

-ширина спектра излучения;

-частота модуляции;

-ток накачки;

-пороговый ток.

Принципиальная схема будет составляться исходя из рассмотренных пунктов «2.6.1.Виды модуляции» и «3.Выбор и обоснование структурной схемы». Как уже говорилось, наилучшим вариантом реализации одноволоконной оптической системы передачи является схема с модуляцией по интенсивности с применением оптических разветвителей (см. рис 3.1.).

В нашем случае проектирование схемы волоконнооптической системы передачи включает в себя составление следующих узлов:

-входной согласующий усилитель;

-выходной каскад(схема прямого модулятора);

-устройство автоматической регулировки уровня (АРУ) оптического сигнала на выходе;

-система термостабилизации;

-источник питания разрабатываемой волоконнооптической системы передачи;

Упрощённая схема оптического передающего устройства представлена на рис. 4.1.

Согласующий усилитель (СУ) предназначен для усиления сигнала, поступающего с преобразователя кода (с уровнями логического нуля и единицы 0.7 и 5В), до уровня необходимого для модуляции оптической несущей.

Модулятор (МОД) предназначен для изменения параметров оптической несущей в зависимости от изменений входного сигнала. В нашем случае выбрана классическая схема прямой модуляции в которой модулирующий сигнал управляет мощностью оптической несущей. В результате мощность излучения изменяется по закону изменения модулирующего сигнала .

Схема термостабилизации (СТС) предназначена для обеспечения постоянства выходной мощности излучателя.



Схема автоматической регулировки усиления (АРУ) предназначена для обеспечения стабилизации средней мощности лазерного излучения.

Оптический излучатель выбирается исходя из данных в техническом задании (ТЗ). Окончательное решение о выборе той или иной марки излучателя принимается на основании соответствия технических характеристик прибора требуемой длине волны излучения, ширине спектра излучения и времени нарастания мощности оптического сигнала.

Вторым этапом является выбор транзистора V2 в схеме прямого модулятора (МОД) и расчёт модулятора. Транзистор вбирают исходя из характеристик определённого на предыдущем этапе оптического излучателя, а именно тока накачки и порогового тока. При этом необходимо учитывать максимально допустимую мощность транзистора и его граничную частоту. Затем задаётся рабочая точка и производится расчёт элементов схемы модулятора.

На третьем этапе необходимо рассчитать согласующий усилитель(СУС). Здесь представляется целесообразным использование быстродействующего операционного усилителя, включенного по схеме преобразователя напряжение – ток. Требуется правильно выбрать тип операционного усилителя в соответствии с требуемой верхней частотой и рассеиваемой мощностью, а также рассчитать элементы схемы преобразователя напряжение – ток.

Четвёртый этап – организация устройства автоматической регулировки уровня оптического сигнала на выходе передающего устройства (АРУ). Для этого будет использоваться фотодиод VD3, подключенный к одному из полюсов направленного оптического ответвителя ОР и детектор АРУ, выполненный на интегральной схеме К175ДА1 (рис. 4.1).

Пятый этап - разработка схемы термостабилизации и источника питания для одноволоконного оптического передатчика.


Расчёт мощности излучения передатчика и выбор типа излучателя


Значение разности мощности на выходе оптического излучателя и на входе оптического приёмника должно превышать максимальное затухание, вносимое станционными и линейными сооружениями на участке передатчик – приёмник. Существующие в настоящее время приёмные оптические модули обеспечивают достаточно низкий уровень приёма. Приёмные устройства некоторых систем обеспечивают уровень приёма 0.01мквт (-50ДБ), в дальнейшем, для расчётов, будем использовать это значение как типовое.

Для проектируемой одноволоконной системы связи затухание участка составит:

,

где l=8 км - длина участка;

ов=5 ДБ/км - затухание сигнала на одном километре оптического волокна;

уорс=2 ДБ - затухание сигнала в устройстве объединения и разветвления

сигналов;

усслк=1 ДБ - затухание сигнала в устройстве УССЛК;

рс=1 ДБ, нс=0.5 ДБ - затухание сигнала в разъемных и неразъемных

соединителях;

=1 км - строительная длина оптического кабеля.


Тогда минимальный уровень мощности:


Или:

где Pпр=-50 ДБ – уровень оптического сигнала на приёме.

То есть мощность излучения на выходе передающего модуля должна быть не менее 1.5 мвт, что и требуется в техническом задании. Коме того, источник излучения по ТЗ должен работать на длине волны 0.85 мкм и обеспечивать частоту модуляции не менее 8.5 МГц. Полупроводниковый лазер ИЛПН-203 наилучшим образом отвечает приведённым требованиям и имеет следующие характеристики:

мощность излучения: Риз=3.5 мВт;

длина волны излучения: =0.85 мкм;

ширина спектра излучения: =3 нм;

частота модуляции: Fмод=250 МГц;

ток накачки: Iн=120 мА;

пороговый ток: Iпор=40 мА.


Расчёт выходного каскада


При выборе транзистора будем руководствоваться следующими требованиями к его техническим характеристикам:

-постоянный ток коллектора не менее 120 мА;

-предельная частота усиления более 8.5 МГц;

Приведённым требованиям удовлетворяет кремниевый n-p-n транзистор КТ660Б. Данный транзистор предназначен для применения в переключающих и импульсных устройствах, в цепях вычислительных машин, в генераторах электрических колебаний и имеет следующие электрические параметры:

-статический коэффициент передачи h21э тока в схеме ОЭ при Uкб=10 В, Iэ=2 мА: h21эмин = 200, h21эмакс = 450;

-напряжение насыщения коллектор – эмиттер Uкэнас при Iк=500 мА, Iб=50 мА, не более: 0.5 В;

-напряжение насыщения коллектор – эмиттер Uкэнас’ при Iк=10 мА, Iб=1 мА, не более: 0.035 В;

-напряжение насыщения база – эмиттер Uбэнас при Iк=500 мА, Iб=50 мА, не более: 1.2 В;

-емкость коллекторного перехода Ск при Uкб=10 В, не более: 10 пФ;

-обратный ток коллектора Uкобр при Uкб=10 В, не более: 1 мкА;

-обратный ток эмиттера Uэобр при Uбэ=4 В, не более: 0.5 мкА;

Предельные эксплуатационные данные:

-постоянное напряжение коллектор– база Uкбmax: 30 В;

-постоянное напряжение коллектор– эмиттер Uкэmax при Rбэ

-постоянное напряжение коллектор–эмиттер Uкэmax при Iэ10мА: 25 В

-постоянное напряжение база–эмиттер Uбэmax: 5 В;

-постоянный ток коллектора Iкmax: 800 мА;

-постоянная рассеиваемая мощность коллектора Pmax: 0.5 Вт.

Далее зададим режим работы транзистора (рабочую точку). Для выбора режима используется семейство выходных характеристик транзистора для схемы с общим эмиттером, параметром которых является ток базы (рис. 4.2).




При этом должно выполняться следующее условие для напряжения покоя коллектора: Uкэо  0.45Еп. Пусть (с учётом приведённого условия) Uкэо=6 В. Поскольку для модуляции полупроводникового лазера необходим пороговый ток 40 мА, то Iко=40 мА, тогда ток покоя базы Iбо=0.135 мА. Поскольку максимальный ток накачки лазера 120 мА, то максимальный ток коллектора составит Iкmax=120 мА, тогда Uкэmax=1.7 В и Iбmax=0.47 мА. По входным характеристикам транзистора (рис.4.3) определим напряжение базы покоя Uбо=0.71 В и амплитудное значение Uбmax=0.74 В.




Таким образом, режим работы транзистора определяется следующими параметрами:

-напряжение покоя коллектора: Uкэо=6 В;

-ток покоя коллектора: Iко=40 мА;

-ток покоя базы: Iбо=0.135 мА;

-напряжение покоя базы: Uбо=0.71 В;

-амплитуда тока базы: Iбmax=0.47 мА;

-амплитуда напряжения на коллекторе: Uкэmax=1.7 В;

-амплитуда тока коллектора: Iкmax=120 мА;

-амплитуда напряжения на базе: Uбmax=0.74 В.

Задав режим работы транзистора, переходим к расчету элементов схемы модулятора (рис. 4.4). Здесь транзистор включен по схеме с общим эмиттером, а полупроводниковый лазер находится в цепи коллектора.

Падение напряжения в эмиттерной цепи должно удовлетворять условию:

,

где Еп – напряжение питания модулятора.

Зададимся напряжением питания Еп=15 В, тогда:

Сопротивление Rэ рассчитывается по формуле:




Ток делителя Iд должен не менее, чем в 5…10 раз превосходить ток покоя базы Iбо:

Соотношение между напряжением на эмиттерном сопротивлении и сопротивлении фильтра можно распределить по-разному. Для обеспечения более глубокой стабилизации режима лучше взять URэ >Uф.

Пусть: , тогда сопротивление фильтра определяется следующим образом:

Падение напряжения на сопротивлении делителя Rб’’ равно сумме падения напряжения на сопротивлении в цепи эмиттера и напряжении смещения на базе транзистора:


Тогда сопротивление делителя Rб’’:


Аналогично найдём сопротивление Rб’:


Для схемы с эмиттерной стабилизацией напряжение питания распределяется между тремя резисторами выходной цепи (Rэ, Rк, Rф), лазерным излучателем и транзистором:


где Uд = 2 В – падение напряжения на полупроводниковом лазере;

URф – падение напряжения на сопротивлении в цепи коллектора.


Отсюда:


Тогда сопротивление в цепи коллектора равно:


Расчет согласующего усилителя


Здесь в качестве усилительного элемента предполагается использовать быстродействующий операционный усилитель, включенный по схеме преобразователя напряжение – ток (известной так же в качестве усилителя с комплексной крутизной передачи). Схема согласующего усилителя представлена на рис.4.1 (функциональная группа СУС). Резистор R5, отбирающий ток, предназначен для обеспечения обратной связи на положительный входной зажим.

Значение сопротивления R5, определяется исходя из следующего условия:

,

где Rн – сопротивление нагрузки усилителя.

Сопротивлением нагрузки усилителя является входное сопротивление прямого модулятора и равно параллельному соединению сопротивлений делителя Rд (из двух параллельно соединённых сопротивлений в цепи базы Rб’ и Rб’’) и входного сопротивления транзистора Rвхэ.

Сопротивление входа транзистора определяется следующим соотношением:


Сопротивление делителя:


Тогда сопротивление нагрузки усилителя равно:


Таким образом, сопротивление R5:


Амплитудное значение падения напряжения на сопротивлении R5:



Требуемый от схемы коэффициент усиления равен отношению амплитуды выходного напряжения (напряжение ΔUR5) к амплитуде входного напряжения. Поскольку на вход согласующего усилителя сигнал поступает с преобразователя кода, собранного на микросхемах серии КМДП с уровнями логического нуля и единицы соответственно 0.7 и 5 В, то амплитуда входного сигнала составит ΔUвх=5-0.7=4.3 В.

Тогда коэффициент усиления схемы составит:

Обычно номиналы резисторов R1, R3 и R4 выбираются одинаковыми, при этом каждый из них должен превышать сопротивление R5 не менее чем в 20 раз.

Примем в соответствии с этим условием следующие значения сопротивлений:

Сопротивление R2 задаёт коэффициент усиления схемы и определяется следующим образом:

В настоящее время создан ряд быстродействующих операционных усилителей (ОУ). Наилучшими качествами с точки зрения автора обладает операционный усилитель КР140УД11. Данный прибор выполнен по планарно-эпитаксиальной технологии с изолированным p-n переходом, имеет скорость нарастания выходного напряжения 50 В/мкс и частоту единичного усиления 15 МГц. Кроме того, за счёт оригинальной схемы ОУ отличается высокой стабильностью параметров во всём диапазоне питающих напряжений от ±5 до ±16 В.

Быстродействующие усилители менее устойчивы по сравнению с универсальными ОУ, поэтому для предотвращения генерации с схеме необходимо уменьшить паразитную ёмкость между выходом ОУ и его инвертирующим входом. Для уменьшения указанной ёмкости применяют внешние цепи коррекции, состав которых зависит от задачи, которую решает операционный усилитель. В нашем случае будем использовать стандартную схему частотной коррекции, предназначенную для увеличения скорости нарастания выходного напряжения.


Расчет устройства автоматической регулировки уровня оптического сигнала


Устройство автоматической регулировки уровня оптического сигнала на выходе передающего устройства должно обеспечивать стабилизацию средней мощности лазерного излучения. Устройство АРУ включает в себя следующие основные элементы (функциональная группа АРУ на рис.4.1):

фотодатчик, детектор автоматической регулировки уровня и усилитель постоянного тока.

Следует обратить внимание на то, что чувствительность фотодиода в данном случае роли не играет, по этому при выборе типа фотодиода будем руководствоваться такими параметрами как надёжность и низкая стоимость.

В нашем случае, при использовании полупроводникового лазера ИЛПН-203, производитель этого лазера предусмотрел, что при применении полупроводниковых лазеров в различных устройствах, разработчики будут использовать метод стабилизации излучения основанный на обратной связи. И по этому конструкция полупроводникового лазера ИЛПН-203 уже содержит фотодатчик с оптическим ответвителем.

Т.е. схема полупроводникового лазера ИЛПН-203 имеет следующий вид:


Рассчитаем среднее значение напряжения, поступающего на вход детектора АРУ. Для этого определим среднюю оптическую мощность, попадающую на фотодиод VD1.2:


,

где Рпер = 2,43 Дб – средняя мощность оптического сигнала на выходе излучателя;

уорс = 2 Дб – затухание оптического разветвителя.

Тогда фототок, протекающий в цепи VD1.2 под действием Рфд:

,

где S = 0.3 А/Вт – монохроматическая токовая чувствительность используемого фотодиода.

Среднее значение напряжения на входе микросхемы равно среднему значению падения напряжения на сопротивлении Rфд в цепи фотодиода:

,

где Rару = 200 Ом.

В качестве детектора АРУ и усилителя постоянного тока предполагается использование интегральной схемы К175ДА1. Её основные характеристики:

-напряжение питания: Uп = 6 В;

-коэффициент передачи АРУ: Кару = 20

-верхняя граничная частота: Fв = 65 МГц.

Значение напряжения на выходе микросхемы:


Далее рассчитаем сопротивление в цепи эмиттера Rэ’’, служащее для введения напряжения обратной связи, поступающего с устройства АРУ. Для этого зададимся глубиной обратной связи 10 Дб (Fос = 3), и определим сквозную крутизну эмиттерного тока Sэ:

,


где - среднее значение статического коэффициента передачи транзистора.

Тогда сопротивление в цепи эмиттера:


Следовательно:



Пусть падение напряжения на сопротивлении фильтра URф1 = 1.2 В, тогда значение напряжения АРУ Uару на сопротивлении Rэ’’:



Для сохранения ранее рассчитанного режима работы транзистора при введении АРУ необходимо уменьшить величину сопротивления Rэ’’:


Тогда:


Сопротивление фильтра Rф1 равно:


    1. Расчёт схемы термостабилизации

При повышении температуры энергетическая характеристика лазерного диода смещается. Для обеспечения стабильности работы излучателя, в схему лазерного излучателя необходимо ввести систему термостабилизации, цель которой, обеспечивать стабилизацию рабочей точки излучателя при отклонениях температуры.



На рис. 4.5 представлена принципиальная схема термостабилизации одноволоконного оптического передатчика. Эта схема построена из следующих составных частей:

-генератор стабильного тока(ГСТ);

-температурный датчик(диод);

-усилитель;

В генераторе стабильного тока ток через транзистор VT2, при равенстве сопротивлений R1 и R2, одинаков с током через VT1 и не зависит от сопротивления нагрузки коллекторной цепи VT2.

В правую ветвь включен диод VD у которого ВАХ при различных показаниях температуры имеет следующий вид (рис.4.6):



Так как ток проходящий через VD имеет постоянное значение и не зависит от температуры то при изменении температуры VD с t1 до t2 - изменяется напряжение на нём. Это обстоятельство и даёт нам возможность управлять выходным напряжением усилителя.

Рассчитаем основные элементы схемы:

Пусть ток ІR1=1мА и сопротивления R1 и R2 равны по 1кОм.

Тогда

Падение напряжения Uбэ составит 0.6В.

Найдём значение сопротивления R3:

VT1 и VT2 выберем из справочника КТ337А. VD выбираем КД102A.

В качестве усилителя возьмём операционный усилитель К544УД1 включенный по классической схеме. Питание ОУ двух полярное 15В.



Диаппазон изменения Uвыхоу должен составлять не менее 0,15 В при изменении температуры от 10С до 40С. При этом изменение UVD составляет 18мВ (0,6мВ/К по справочным характеристикам). Тогда коэффициент усиления по напряжению должен составлять:

Принимаем значение R6=10кОм, тогда:

Таким образом напряжение на выходе ОУ будет прямо пропорционально зависеть от падения напряжения на VD, которое в свою очередь имеет зависимость от температуры термодатчика.



Начального значение будет регулироваться переменным сопротивлением R5=1,5кОм.


4.7 Расчёт источника питания одноволоконной оптической системы передачи


В составленной схеме оптического передатчика имеем следующие номинальные напряжения питания: +6В, +15В, -15В. Необходимо разработать блок питания для одноволоконного оптического передающего устройства и рассчитать основные его элементы.

Найдём токи потребляемые передатчиком для разных номинальных напряжений.

Для Uн= +6В:

В цепи АРУ микросхема К175ДА1 потребляет 3мА.


Возьмём ток нагрузки на выходе БП равным 20мА, т.е. с небольшим запасом. ІН(+6)=20мА


Для Uн= -15В:

В цепи входного усилителя микросхема К140УД11 потребляет 5мА

В цепи температурного стабилизатора К544УД1 потребляет 7мА.

Примем ток нагрузки ІН(-15)=20мА

Для Uн= +15В:

В цепи входного усилителя микросхема К140УД11 потребляет 10мА

В цепи температурного стабилизатора К544УД1 потребляет 7мА и на транзисторах VT2 и VT3 – 2мА.

Оптический модулятор потребляет 200мА.

Примем ток нагрузки ІН(+15)=250мА


Исходные даннные:

На выходе БП должно быть +6В, +15В, -15В при токах нагрузки соответсвенно 20мА, 250мА и 20мА.

На рис.4.8 представлена электрическая схема предполагаемого блока питания.



Выбор стабилизаторов напряжения

Для получения стабильного постоянного напряжения на нагрузке при изменении потребляемого тока к выходу выпрямителя подключают стабилизатор. Расчет позволит выбрать все элементы стабилизатора, исходя из заданного выходного напряжения Uн и максимального тока нагрузки Iн. Однако оба эти параметра не должны превышать параметры уже рассчитанного выпрямителя. А если это условие нарушается, тогда сначала рассчитывают стабилизатор, а затем - выпрямитель и трансформатор питания.

Так как потребляемая схемой мощность небольшая, в качестве стабилизатора DA5 возьмем специально предназначенную микросхему КР142ЕН5, обеспечивающую выходное напряжение + 6В и ток в нагрузке до 1А. Данная микросхема обеспечивает коэффициент пульсаций на выходе примерно 0.03. Для нормальной работы напряжение на входе микросхемы должно быть не менее 10Вольт, поэтому конденсатор С19 выбираем на рабочее напряжение 25В и емкостью 1000мкФ. VD20 обеспечивает индикацию. Стабилизатор DA5 включен по типовой схеме. С20=С21=2,2мкФ.

Для выходного напряжения питания 15В целесообразно взять микросхему стабилизатора КР142ЕН6А (DA4), обеспечивающую выходное напряжение 15В при токах в нагрузке до 300мА. Для нормальной работы микросхемы, напряжение на входах DA4 должно составлять 20В, поэтому конденсаторы С11 и С12 выбираем на рабочее напряжение 25В и ёмкостью 1000мкФ. Стабилизатор DA4 включен по типовой схеме включения и его основные элементы имеют значения: С13=С14=С15=С16=0,1мкФ; С17=С18=2,2мкФ.


Расчёт диодных выпрямителей

Поскольку в преобладающем большинстве конструкций блоков питания используется двухполупериодный выпрямитель, диоды которого включены по мостовой схеме, о выборе его элементов здесь и пойдет речь.

При расчете выпрямителя нужно правильно выбрать выпрямительные диоды и конденсатор фильтра, а также определить необходимое переменное напряжение, снимаемое для выпрямления с вторичной обмотки сетевого трансформатора. Исходными данными для расчета выпрямителя служат: требуемое напряжение на выходе диодного моста (или входе следующих цепей) Uвых VD и потребляемый ток Iн.

Рассчитаем диодный выпрямитель для Uн= +6В. Исходными данными будут Uвых VD = 10В и Iн.=20мА.

Определим переменное напряжение, которое должно быть на вторичной обмотке сетевого трансформатора:

, где

В - коэффициент, зависящий от тока нагрузки, который определяют по таблице4.1.


Таблица 4.1

Коэффициент

Ток нагрузки, А

0.1 0.15 0.2 0.25 0.3 0.35
В 0,8 0,9 1 1,1 1,2 1,3
С 2,4 2,3 2,2 2,15 2,1 2

По току нагрузки определяем максимальный ток, текущий через каждый диод выпрямительного моста:

, где

С- коэффициент, зависящий от тока нагрузки (определяют по табл. 4.1).

Подсчитываем обратное напряжение, которое будет приложено к каждому диоду выпрямителя:

Для уменьшения габаритов печатной платы целесообразно использовать диодную сборку КЦ407А (DA6) , у которой значения выпрямленного тока и допустимого обратного напряжения превышают расчетные.

Определяем емкость конденсатора фильтра:

Выбираем конденсатор фильтра 1000мкФ Х 25Вольт.

Так же по аналогии расчитываем выпрямительные диоды и ёмкости фильтров для стабилизатора на 15В:

С12=С11=1000мкФх25В, и выбираем диодную сборку КЦ412А (DA7).


Расчет трансформатора

Зная необходимое напряжение на вторичной обмотке (UІІ) и максимальный ток нагрузки (Iн), трансформатор рассчитывают в такой последовательности:

Определяем значение тока, текущего через вторичные обмотки трансформатора ІІ и ІІ’:

Определим мощность, потребляемую выпрямителем от вторичных обмоток трансформатора:

Подсчитываем мощность трансформатора:

Определяем значение тока, текущего в первичной обмотке:

, где

UІ - напряжение на первичной обмотке трансформатора (сетевое напряжение).

Исходя из полученных расчётных данных выбираем из справочника трансформатор питания типа ТПП261-127/220-50.


4.8 Расчёт ёмкостей в схеме оптического передающего устройства


Расчёт эмиттерной ёмкости


Ёмкость эмиттера Сэ определяется значением сквозной крутизны эмиттерного тока и периодом повторения импульсов в информационном сигнале. Поскольку скорость передачи проектируемого устройства 8.5Мбит/с, то частота HDB сигнала на входе преобразователя кода FHDB=8.5МГц. Поскольку в линейном коде СМI длительность импульсов в два раза короче, чем в HDB сигнале, то частота модулирующего сигнала FCMI=8.52=17 МГц.

Отсюда период следования импульсов:


.


Тогда ёмкость эмиттера:



4.8.2 Расчёт разделительной ёмкости


Разделительная ёмкость Ср должна вносить минимальные искажения во фронт импульсов. Для этого постоянная времени цепи должна удовлетворять условию:

,


где и = T = 59нс – длительность импульса (для сигнала CMI равна периоду сигнала).

Тогда значение разделительной ёмкости:

,


где Rн – сопротивление нагрузки согласующего усилителя (входное сопротивление прямого модулятора).

Rвыхсус – выходное сопротивление согласующего усилителя:

,


где Rвыхоу = 300 Ом – выходное сопротивление операционного усилителя


Расчёт ёмкостей фильтров


Ёмкость фильтра в цепи модулятора Сф определим по формуле:

,

где ф = 10% - подъём плоской вершины импульса.

Значение ёмкости фильтра в цепи АРУ найдем по следующей формуле:

,


где Fн = FCMI/10000 = 850 Гц – частота среза фильтра.


4.9 Номиналы элементов схемы

Номиналы резисторов и конденсаторов схемы определяются в соответствии с существующими стандартными номиналами, выпускаемыми промышленностью.

Таким образом, в схеме модулятора имеем следующие номиналы элементов:

R10=5.6кОм; С2=10пФ;

R11=1.8кОм; С4=0,068мкФ;

R13=33Ом; С5=100мкФ;

R14 =10Ом; С3=0,022мкФ;

R12=33Ом;

R9=22Ом.

В схеме согласующего усилителя:

R1=R3=R4=180кОм; R7=50кОм;

R2=120Ом; R8=27кОм;

R5=10Ом; R20=3кОм;

R6=27кОм; С1=0.01мкФ;

В схеме устройства АРУ:

R15=220Ом;

R16=22Ом; С10=0,1мкФ;

С6=0,1мкФ; С8=0,1мкФ;

С7=0,1мкФ; С9=0,1мкФ;

В схеме температурной стабилизации:

R25=R26=1кОм; R31=100кОм; R30=10кОм; R28=1,44кОм;

R27=13кОм; R29=15кОм; R32=100Ом;

В схеме блока питания:

R40=750 Ом;

C11=C12=C19= 1000 мкФ;

C13=C14=C15=C16= 0,1 мкФ;

C17=C18=C20=C21= 2,2 мкФ;

Остальные:

К140УД11(DA1), К175ДА1(DA2), К544УД1(DA3), КР142ЕН6А(DA4),

КР142ЕН5(DA5), КЦ407А(DA6), КЦ412А(DA7),


ИЛПН-203(VD1), КД102A(VD3), АЛ102А(VD20),


КТ660Б(VT1), КТ337А(2шт)(VT2,VT3),


ТПП 261-127/220-50(T1).


Окончательный вариант принципиальной схемы оптического передаю-щего устройства и блока питания приведён на рисунке 4.9. и 4.10.






От Автора.


Тема дипломного проекта: «Передающее устройство одноволоконной оптической сети». Сдавался в Киевском политехническом институте (КПИ) на Радиотехническом ф-те в феврале 2001г. Сдан на «отлично», хотя любой другой его может сдать на 3 балла, если вообще «бестолочь»J. Вообще-то оценка зависит на 90% от ващего доклада! Т.е. как вы комиссии свой дилом изложите, как на вопросы будете отвечать - так и оценку поставятJ.

Диплом имеет достаточно современную и актуальную тему, которая подходит практически для любого вуза или техн. училища ПО СПЕЦИАЛЬНОСТИ РАДИОТЕХНИКА, СВЯЗЬ, и тому подобные.

Данный диплом в полном варианте(!!!) т.е. уже практически в чистовом виде. Выпонен полный расчёт принципиальной схемы передатчика и расчёт источника питания. Если вы хотите переделать его под себя – вам остаётся только внимательно его прочитать и изменить некоторые названия городов и ГОСТов. На пример в разделе “ Мероприятия по Охране Труда” есть такая фраза: “В рабочем помещении выполнены все требования по пожарной безопасности в соответствии с требованиями НАПБ А.01.001-95 «Правил пожежної безпеки в Україні». И вы должны написать тип требований который действует у вас в России например. А всё остальное в принципе остаётся без изменений.

К диплому прелагается 7 чертежей формата А1:

  1. Сборочный чертёж передающего устройства.

  2. Сборочный чертёж источника питания.

  3. Плата печатная передающего устройства (две стороны на 1-м чертеже).

  4. Плата печатная источника питания (две стороны на 1-м чертеже).

  5. Схема электрическая принципиальная.

  6. Схема электрическая структурная.

  7. Схема электрическая функциональная.

Но к сожалению я эти чертежи рисовал в ручную, а не в какой-то графической программе (дорого была распечатка А1 формата и я решил рисовать ручками). Но у меня остались Очень качественные ксерокопии всех чертежей в масштабе 1:1. Так, что если кому-нить надо – милости просим. Обращайтесь и я обязательно помогу вам их прислать(если уж кому-то сильно припечёт). У нас например в группе 2 человека отчислили из-за того, что вовремя не было всё готово.

Еще, в 4-м разделе (Расчёт электрической принципиальной схемы) отсутствуют рисунки: 4.1, 4.4, 4.5, 4.8, 4.9, 4.10. Я эти рисунки просто вклеивал на страницы диплома . У меня остались качественные ксерокопии. Мой товарищ из Института связи взял мой диплом в качестве «козы» . Он мне поклялся все эти рисунки нарисовать в электронном виде, а так же все чертежи А1 формата. Так, то к тому времени, пока кому-нить понадобится мой диплом, я уверен у меня все рисунки и чертежи будут в электронном виде. И вам останется только поставить их на свои места и распечатать (Кому не по карману – рисуйте рукамиJ). Я думаю, что мой диплом еще не раз спасёт душу ленивого студента. А может и не ленивого, а работящегоJ, у которого нет времени заниматься ерундой, а кормить семью все таки надо. Найти меня можно по адресам: rostik61@ukrpost.net, rostik61@rtf-15.ntu-kpi.kiev.ua, rostik61@mail.ru или по телефону (044)476-27-18. Ростислав.

Удачи вам на этом поприще…


35



5. Конструктивный расчёт печатной

платы одноволоконной

оптической системы передачи


5.1 Выбор материала печатной платы


Материал печатной платы должен обладать высокой механической прочностью, хорошими электроизоляционными свойствами, иметь высокую нагревостойкость, а также иметь высокую степень агдезии печатных проводников.

Основными наиболее часто употребляемыми материалами печатных плат являются гетинакс и стеклотекстолит. Проведём сравнительный анализ этих материалов.

Основные характеристики гетинакса и стеклотекстолита приведены в таблице 4.1.


Таблица 5.1 Основные характеристики материалов предназначенных для изго-товления печатных плат.

Материал

Плотность

Рабочая температура

С

Удельное сопротивление

Гетинакс

ГФ1-50

ГОСТ 10316-78

1,4

78


-60

+105

Стеклотекстолит

СФ-2-35

ТУ16-503-161-83

1,5 294

-60

+105


Гетинакс значительно дешевле стеклотекстолита. Гетинакс также легче обрабатывается, что способствует повышению технологичности платы.

По электроизоляционным свойствам гетинакс уступает стеклотекстолиту. Тангенс угла диэлектрических потерь у гетинакса 0.06, у стеклотекстолита 0.03. Гетинакс также уступает и по механической прочности и жесткости, что приводит к увеличению требуемой толщины платы. Гетинакс более подвержен воздействиям химических реактивов при химическом методе изготовления печатной платы. Это еще больше ухудшает его диэлектрические свойства

Прочность сцепления проводящего покрытия с гетинаксовым основанием невысокая и резко падает при повышении температуры. Это затрудняет производство плат высоких классов точности на гетинаксовом основании, а также практически исключает возможность замены элементов из-за отслаивания контактных площадок. При изготовлении двухсторонних печатных плат на гетинаксовом основании, практически невозможно выполнить качественную металлизацию отверстий.

Рассмотренные недостатки делают гетинакс практически непригодным для изготовления печатной платы одноволоконного оптического передатчика. Поэтому выбираем в качестве материала печатной платы стеклотекстолит марки СФ2-35-15.


5.2 Размещение элементов и разработка топологии печатной платы


При размещении элементов на печатной плате необходимо руководствоваться следующими принципами:

  • Длинна соединений между элементами должна быть минимальной.

  • Необходимо максимально разнести наиболее термочувствительные элементы схемы и тепловыделяющие элементы, за исключением термодатчиков, специально предназначенных для обнаружения изменения температуры тепловыделяющих элементов схемы.

  • Для обеспечения наибольшей механической прочности платы необходимо равномерно (с точки зрения массы) разместить элементы на поверхности печатных плат.

  • Элементы стабилизаторов должны находится на максимальном удалении (расстоянии) от входных сигнальных цепей для увеличения помехозащищённости устройства.

  • Для удобства монтажа однотипные ЭРЭ рекомендуется размещать группами.

  • Рассчитаем необходимые размеры печатной платы.

В конструкции разрабатываемого блока присутствуют два устройства: источник питания и передающее устройство. Целесообразно разместить эти устройства на разных печатных платах.

Тогда площадь занимаемая всеми ЭРЭ в передающем устройстве рассчитываем по формуле:


(5.1)


где площади занимаемые резисторами, конденсаторами, диодами, транзисторами, интегральными микросхемами и разъемами соответсвенно. Рассчитаем эти площади:

где количество резисторов С2-23-0.125,

С2-23-1, СП3-19А в схеме соответсвенно. Тогда:

Аналогично находим площади, занимаемые остальными элементами:

Тогда:

Необходимую площадь печатной платы рассчитываем по формуле:

(5.3)

где коэффициент заполнения платы, для профессиональной передающей аппаратуры

Тогда:

В соответствии с требованиями технического задания ширина платы должна быть не более 100мм. Тогда находим необходимую длину печатной платы:

Значит максимальный размер печатной платы для передающего устройства составляет 100х138мм.

Найдём площадь занимаемую всеми ЭРЭ в источнике питания:

,

где площади занимаемые резисторами, конденсаторами, диодами, диодными сборками и разъемами соответсвенно. Рассчитаем эти площади:

Тогда:


Необходимую площадь печатной платы источника питания рассчиты-ваем по формуле:

В соответствии с требованиями технического задания ширина платы должна быть не более 80мм. Тогда находим необходимую длину печатной платы:

Значит максимальный размер печатной платы для источника питания составляет 80х86мм.

По конструкции печатные платы делятся на типы:

  • односторонние

  • двусторонние

  • многослойные

Для данного изделия необходимо использовать двустороннюю печатную плату с металлизированными монтажными и переходными отверстиями. Несмотря на высокую стоимость, двусторонние печатные платы с металлизи-рованными отверстиями характеризуются высокими коммутационными свойствами, повышенной прочностью соединения вывода навесного элемента с проводящим рисунком платы и позволяет уменьшить габаритные размеры платы за счет плотного монтажа навесных элементов.

Двухсторонние платы с дискретными элементами, микросхемами, имеющими штыревые и планарные выводы, при средней насыщенности поверхности печатной платы навесными элементами, относятся к 3-му классу точности по ГОСТ 23751-86. Основные конструктивные параметры печатных плат, соответствующих этому классу точности, приведены в таблице 5.3.


Таблица 5.3

Наименование параметра
Значение

1


2

3

4

5


6

7

8

9

  • Минимальное значение номинальной ширины проводника t, мм.

  • Номинальное расстояние между проводниками S, мм.

  • Гарантийный поясок на наружном слое , мм.

  • Отношение диаметра отверстия к толщине платы

  • Допуск на отверстие с металлизацией при диаметре меньше 1мм , мм.

  • Допуск на ширину проводника , мм.

  • Допуск на расположение отверстий , мм.

  • Допуск на расположение контактных площадок, мм.

  • Допуск на расположение проводников , мм.


0,25

0,25

0,10

>0.33


+0.05, -0.10

+0.03, -0.05

0.08

0.20

0.05



Плата относится ко второму классу плотности печатного рисунка, который характеризуется следующими значениями параметров:

  • расстояние между проводниками 0.25мм;

  • разрешающая способность 2.0 линий на 1 мм;

Шаг координатной сетки выберем 1.25мм. По данным [17] для второго класса плотности рабочее напряжение не должно превышать 30В, ток по печатному проводнику, при толщине фольги 50мкм, не должен превышать 250мА. Электрический режим блока не превышает этих требований.

На печатной плате имеются элементы с диаметром выводов =0.8мм (построечные резисторы, конденсаторы, диоды, трансформаторы), а также =0.5мм (конденсаторы, резисторы, микросхемы и т.д.).

Выбираем диаметр монтажных площадок:

где значения параметров взяты из таблицы 5.3.

Рассчитав необходимые параметры с помощью системы автоматизированного проектирования P-CAD в диалоговом режиме производим размещение элементов и трассировку платы. Полученная топология печатных плат приведена на чертежах “Передающее устройство, плата печатная” и “Источник питания, плата печатная”.


6



6. Расчет надежности волоконнооптического передающего устройства


Надежностью называется свойство объекта, системы, изделия, устройства или их частей выполнять заданные функции, сохраняя во времени значения установленных эксплуатационных показателей в заданных пределах, соответствующих заданным режимам и условиям эксплуатации, технического обслуживания, хранения и транспортировки.

Расчет надежности основывается на сле­дующих допущениях:

  • Все элементы данного типа равнонадежны, т. е. интенсивность отказов для этих элементов одинакова;

  • Все элементы работают в нормальных технических условиях;

  • Интенсивность отказов всех элементов не зависит от вре­мени (срока службы);

  • Отказы элементов являются событиями случайными и незави­симыми;

  • Все элементы работают одновременно;

  • Отказ любого элемента приводит к отказу всей системы;

При расчете надежности блока волоконнооптического передающего устройства необходимо определить вероятность безотказной работы устройства в произвольном интервале времени t, которая определяется выражением:

,

где  – интенсивность отказов устройства;

t – время, за которое определяется вероятность безотказной работы.

Расчёт надёжности произведём по методике изложенной в [17].

Интенсивность отказов элементов в рабочем режиме определяется по формуле:

(6.1)

где номинальная интенсивность отказов, определяемая по таблицам средне групповых интенсивностей отказов для каждой группы элементов (табл.4.1 [17]);

коэффициент учитывающий уровень электрической нагрузки и температуру среды непосредственно у элемента;

коэффициент учитывающий условия эксплуатации.

(6.2)

где коэффициент для стационарной аппаратуры из табл.4.3 [17];

для относительной влажности до 98% при температуре 40С из табл.4.3 [17];

при эксплуатации на высотах до 1км, из табл.4.3 [17];


Подставляя численные значения в (6.2) получаем:

Значения находим для каждой группы элементов из табл.4.2 [17], учитывая что при разработке принципиальной схемы выбор элементной базы был произведён из условия, что бы коэффициенты нагрузки элементов не превышали рекомендуемых значений из табл.4.6 [17], а эксплуатация происходит в наихудших условиях (tmax = 60C).

Исходные данные для расчёта надёжности блока волоконнооптического передающего устройства приведены в таблице 6.1:


Схемное обозначение Тип элемента Кол-во

Параметры режима


Кн

ТУ Факт.
1 2
3
4 5 6 7 8 9 10 11 12 13

1


R2, R6, R32, R8,R10, R12, R25, R26, R40


C2-23
9

1

Вт

0,5

Вт

0,5 0,016 0,8 0,03 0,3 0,3 0,09

2

R11, R13, R14, R9, R1, R3, R4, R5, R20, R15, R16,R30, R31, R27, R29 C2-23 15

0,125

Вт

0,08

Вт

0,64 0,016 1,0 0,04 0,64 0,3 0,19

3


R7, R28


СП3-2 2

0,125

Вт

0,09

Вт

0,72 0,1 1,4 0,37 0,75 0,3 0,23

4


С11, С12, С19


К50-35 3 25В 15В 0,6 0,7 1,6 2,9 8,9 0,4 3,6

5


С1 - С10,

С13 - С18, С20, С21


К10-17А 18 50В 15В 0,3 0,1 0,3 0,08 1,44 0,4 0,57

6

VT1 КТ660Б 1

800

мА

120 мА 0,15 0,5 0,2 0,25 0,25 0,3 0,08

7

VT2, VT3 КТ337А 2

10мА

1мА 0,1 0,5

0,2

0,25 0,5 0,3 0,15

9

VD3

КД102А 1 20мА 1мА 0,05 0,4 0,2 0,214 0,214 0,3 0,06

10

VD20

АЛ102А 1 10мА 2мА 0,2 0,05 0,2 0,03 0,03 0,3 0,01
1 2 3 4 5 6 7 8 9 10 11 12 13

12

T1 ТПП 261-127/220-50 1

0,5А

0,35А 0,7 0,8 0,2 0,43 0,43 0,7 0,3

13

VD1

ИЛПН-203 1 3,5 мВт

1,6

мВт

0,45 0,05 0,2 0,02 0,02 0,9 0,03

14

DA1 К140УД11 1 - - 0,8 0,02 2,5 0,13 0,13 0,6 0,08

15

DA2 К175ДА1 1 - - 0,8 0,02 2,5 0,13 0,13 0,6 0,08

16

DA3 К544УД1 1 - - 0,8 0,02 2,5 0,13

0,13

0,6 0,08

17

DA4 КР142ЕН6А 1 - - 0,8 0,02 2,5 0,13 0,13 0,6 0,08

18

DA5 КР142ЕН5 1 - - 0,8 0,02 2,5 0,13 0,13 0,6 0,08

DA6 КЦ407А 1 80мА 25мА 0,3 0,5 0,5 0,67 0,67 0,3 0,2

DA7 КЦ412А 1 80мА 25мА 0,3 0,5 0,5 0,67 0,67 0,3 0,2

19

Пайка - 200 - - - 0,01 - 0,01 2 0,5 1

20

Плата печатная - 1 - - - 0,1 - 0,1 0,1 - -

21

Сумма 21,6
7,32

Среднее время восстановления взяты из табл. 4.8 [17].

Интенсивность отказов элементов i-й группы определяем по формуле:

(6.3)

где количество элементов в i-й группе.

Для определения параметра потока отказов всего блока воспользуемся следующей формулой:

(6.4)

где k- количество групп элементов.

Подставляя численные значения из табл.6.1 получаем:

Средняя наработка на отказ для нормального закона распределения определяется по формуле:

(6.5)

Вероятность безотказной работы устройства p(t) определяем по формуле:

(6.6)

График зависимости приведён на рис.6.1.

Используя формулу (6.6) определим вероятность безотказной работы в течении одного года(8760часов):




Среднее время восстановления работоспособности блока волоконнооптического передающего устройства определим по формуле:

(6.7)

где - коэффициент одновременной замены элементов, .

Коэффициент готовности определяется по формуле:

(6.8)


62



7. Технико-экономический расчет


Любое техническое решение может быть признано эффективным и принято к внедрению лишь после того, как будет доказана его техническая прогрессивность и экономическая целесообразность. Поэтому экономическое обоснование технических решений является обязательной составной частью дипломного проекта.

В данном разделе представлено следующее: себестоимость, цена, уровень качества, прибыль на единицу изделия, прогноз сбыта, прибыль на годовой выпуск.

Все расчёты выполнены по нормам, нормативам и ценам действующим на заводе «Генератор» по состоянию на 1.12.2000г.


7.1 Анализ рынка


В данном дипломном проекте разрабатывается волоконнооптическое передающее устройство. Передатчик рассчитан на работу в составе цифровых многоканальных систем передачи, работающих со скоростью 8 Мбит/с. А также для работы на соединительных линиях городской телефонной сети.

Цифровая связь по оптическим кабелям , приобретающая всё большую актуальность, является одним из главных направлений научно-технического прогресса .

Преимущества цифровых потоков в их относительно лёгкой обрабатываемости с помощью ЭВМ, возможности повышения отношения сигнал/шум и увеличения плотности потока информации.

Учитывая, что доля затрат на кабельное оборудование составляет значительную часть стоимости связи, а цены на оптический кабель в настоящее время остаются достаточно высокими, возникает задача повышения эффективности использования пропускной способности оптического волокна за счёт одновременной передачи по нему большего объёма информации.

Широкое применение на городской телефонной сети волоконно-оптических систем передачи для организации меж узловых соединительных линий позволяет решить проблему увеличения пропускной способности сетей. В ближайшие годы потребность в увеличении числа каналов быстро растет. Наиболее доступным способом увеличения пропускной способности волоконных оптических систем передачи в два раза является передача по одному оптическому волокну двух сигналов в противоположных направлениях.

Первое поколение передатчиков сигналов по оптическому волокну было внедрено в 1975 году. Основу передатчика составлял светоизлучающий диод, работающий на длине волны 0.85 мкм в многомодовом режиме. В течение последующих трех лет появилось второе поколение - одномодовые передатчики, работающие на длине волны 1.3 мкм. В 1982 году родилось третье поколение передатчиков - диодные лазеры, работающие на длине волны 1.55 мкм. Исследования продолжались, и вот появилось четвертое поколение оптических передатчиков, давшее начало когерентным системам связи. Специалисты фирмы NTT построили когерентную ВОЛС STM-16 на скорость передачи 2.48832 Гбит/с протяженностью в 300 км, а в лабораториях NTT в начале 1990 года ученые впервые создали систему связи с применением оптических усилителей на скорость 2.5 Гбит/с на расстояние 2223 км. Анализ опубликованных материалов и завершенных исследований и разработок одноволоконных оптических систем передачи позволяет сделать выводы, что волоконнооптические системы передачи имеют очень хорошие перспективы в будущем времени.

В настоящее время на нашем рынке предлагается различные устройства волоконнооптической системы передачи. Все они имеют различные функциональные возможности и приспособлены на работу в разных условиях и под конкретно поставленную задачу. Почти все устройства подобного типа являются импортными, из-за отсутствия конкуренции отечественного производителя. Только единичные устройства (очень малый процент от всех действующих устройств) изготовлены в Украине. У зарубежных аналогов есть один серьезный недостаток и это их высокая цена, не смотря на низкую себестоимость изделия. Следовательно у нас есть альтернатива – выпуск устройств пользующихся спросом, при существенно меньшей цене нашего устройства в отличии его ближних аналогов.

На сегодняшний день одним из конкурентов рынка волоконноопти-ческих систем передачи я являются производители России. Внедрение волоконнооптических систем передачи в сетях Российских городов началось в 1986 г. вводом в эксплуатацию в городских телефонных сетях во вторичной цифровой волоконнооптической системе передачи на базе аппаратуры «Соната-2». С её использованием во многих городах сооружены линии связи. Аппаратура «Соната-2» сопрягается со стандартным канало- и группо-образующим оборудованием типов ИКМ-30 и ИКМ-120. В 1990 г. начат промышленный выпуск оборудования вторичной цифровой системы передачи для городских сетей ИКМ-120-5, предназначенной для передачи по градиентному оптическому кабелю линейного тракта, работающего на длинах волн 0,85 или 1,3 мкм. Разработана также волоконнооптическая система передачи «Сопка-Г», предназначенная для организации оптического линейного тракта со скоростью передачи 34,368 Мбит/с по одномодовому и градиентному оптическому кабелю, с рабочей длиной волны 1,3 мкм. Аппаратура «Сопка-Г» выполнена в конструкции ИКМ-30-4, ИКМ-120-5 и аналогична им по системе технического обслуживания, то есть является продолжением единого семейства цифровой системы передачи для городской сети.

Так как блок оптического передатчика входит в состав оптического линейного тракта передающей системы и сопрягается со стандартным канало- и группо- образующим оборудованием, то количество выпускаемых изделий можно напрямую связать с планом внедрения волоконнооптических систем передачи в отечественных телефонных сетях.

А так же возможен промышленный выпуск волоконнооптической системы передачи для внедрения и реализации его в ближнем зарубежье. Возможный объем производства устройств составляет от 100шт/год.


7.2 Определение себестоимости одноволоконного оптического передатчика


Расчет себестоимости устройства производится с помощью утверждённого перечня затрат. Сущность метода сводится к тому, что прямые затраты на единицу продукции определяются путем нормативного расчета себестоимости проектируемого устройства по статьям калькуляции. Тип производства –мелкосерийное.


7.2.1 Затраты на приобретение материалов


Эта статья включает в себя затраты на приобретение основных материалов, расходуемых в нашем случае при изготовлении печатного узла. Затраты определены по каждому наименованию и приведены в таблице 7.1

Таблица 7.1

Материал

Марка или

стандарт

единица Норма расхода Цена за единицу, грн Сумма, грн Обоснование цены

Стеклотекстолит


Припой


Канифоль сосновая

Лак


Клей


СФ-2-35

ГОСТ 10816-88

ПОС-61

ГОСТ 21931-86

ГОСТ 14256-69


УР-231.023

ТУ-6-10-863-76

ВК9

ОСТ УГО.029.204

кг


кг


кг


кг


кг


0,2


0,1


0,8


0,15


0,1

0,5


12,22


0,78


4,1


3,0

0,1


1,222


0,624


0,615


0,3

договорная


договорная


договорная


договорная


договорная

Всего, грн 2,861

Неучтённые материалы, 10%, грн

Транспортно заготовительные расходы, 5%, грн

0,286

0,143


Итого, грн

3,29



7.2.2 Затраты на покупные изделия и полуфабрикаты


Эта статья включает в себя затраты на приобретенные готовые изделия и полуфабрикаты. Список изделий и полуфабрикатов составляется в соответствии со схемой электрической принципиальной и сборочным чертежом блока. Составим таблицу для расчета стоимости покупных комплектующих изделий.

Таблица 7.2 Затраты на покупные изделия и полуфабрикаты.

Изделие

Стандарт или марка

Кол-во,

шт.

Цена,

грн.

Сумма,

грн.

Обоснование цены

Резисторы

C2-23-0,125

C2-23-1

СП3-13А

Конденсаторы

К10-17А

К50-35

Транзисторы

КТ660Б

КТ337А

Диоды


КД102А

АЛ102А

Микросхемы

К140УД11

К175ДА1

К544УД1

КР142ЕН5

КР142ЕН6А

КЦ407А

КЦ412А

Трансформатор

ТПП 261-127/220-50

Лазер полупроводниковый

ИЛПН-203


ОЖО 467.093ТУ

ОЖО 467.093ТУ

ОЖО 468.134ТУ


ОЖО 460.107ТУ

ОЖО 464.136ТУ


СБО 336.051ТУ

аАо 339.256ТУ


дР3 362.173ТУ

СМ3 362.839ТУ


бКО 347.455-02ТУ

бКО 347.304СТУ

бКО 347.266-02ТУ

бКО 347.098-03СТУ

бКО 347.098ТУ5

бКО 347.090-04СТУ

бКО 347.305СТУ


ТПП 477.001ТУ


ИЛПН-203


15

9

2


18

3


1

2


1

1


1

1

1

1

1

1

1


1


1


0.02

0.02

0.15


0,02

0,5


2

0.4


0.4

0.1


0.9

0.7

1.2

0.3

0.3

0.5

0.5


10


200


0,3

0,18

0,3


0,36

1,5


2

0,8


0,4

0,1


0,9

0,7

1,2

0,3

0,3

0.5

0.5


10


200


Договорная

Договорная

Договорная


Договорная

Договорная


Договорная

Договорная


Договорная

Договорная


Договорная

Договорная

Договорная

Договорная

Договорная

Договорная

Договорная


Договорная


Договорная

Всего, грн 223,6
Транспортно заготовительные расходы 5%, грн 11,18

Итого, грн

234,7


7.2.3 Основная заработная плата производственных рабочих


Эта статья включает в себя основную заработную плату производ-ственных рабочих и других категорий работников за работу, непосредственно связанную с изготовлением продукции. Основная зарплата рабочих включает тарифную зарплату, доплаты и надбавки. Тарифную заработную плату определяют по каждой операции (виду работ) как произведение норм времени и часовых тарифных ставок рабочих.

Найдём тарифную заработную плату по формуле:

, (7.1)

где -общая трудоёмкость изготовления блока волоконнооптического передающего устройства;

- средняя ставка рабочих. Норматив средней ставки рабочих на заводе «Генератор» составляет

Общую трудоёмкость изготовления устройства, можно рассчитать по формуле:

(7.2)

где -трудоёмкость мотажно сборочных работ;

-удельный вес данного вида работ в общей трудоёмкости, для изделий типа оптический передатчик полагаем .

Трудоёмкость монтажно сборочных работ определяем по типовым нормам времени на монтажно-сборочные работы. Нормы времени на отдельные операции приветдены в таблице 7.3.

По формуле (7.2):

Подставляя численные значения в (7.1) получаем:

Так как надбавки и доплаты на заводе «Генератор» составляют 60%, то основная заработная плата будет составлять:


Таблица 7.3 Расчёт норм времени.

Операция Кол-во Норма времени, мин Всего времени, мин
1 2 3 4
  1. Подготовка элементов к монтажу:

  • Травление и сверление печатной платы

  • резисторов

  • конденсаторов

  • диодов

  • транзисторов

  • микросхем

  • лазеров

  • трансформаторов


  1. Установка элементов на плату:

  • Резисторов

  • конденсаторов

  • диодов

  • транзисторов

  • микросхем

  • лазеров

  • трансформаторов


  1. Пайка паяльником

  2. Монтаж разъемов

  3. Маркировочные работы

  4. Регулировочные работы

  5. Остальные



2

26

21

3

3

7

1

1


26

21

3

3

7

1

1


300

3

-

-

-


160

0,129

0,129

0,129

0,164

0,192

1,5

0,95


0,15

0,15

0,15

0,216

0,42

1,4

0,9


0,15

1,05

5

2,5

5



320

3,354

2,709

0,387

0,492

1,344

1,5

0,95


3,9

2,9

0,45

0,648

2,94

1,4

0,9


45

3,15

5

2,5

5

Всего, мин

час

483

8,06


7.2.4 Калькуляция себестоимости блока волокон-нооптического передатчика


Используя полученные данные, составим калькуляцию себестоимости блока волоконнооптического передатчика и занесём в таблицу 7.4.

Таблица 7.4. Калькуляция себестоимости продукции.

Статьи расходов Сумма, грн Удельный вес, %
1 2 3 4

1

2

3


4

5


6


7


8

Основные материалы

Покупные изделия и полуфабрикаты

Основная заработная плата основных производственных рабочих

Дополнительная заработная плата(20% от осн.з/п.)

Начисления на заработную плату:

  • Пенсионный фонд(32% от осн.з/п.)

  • Фонд соцстраха(5,5% от осн.з/п.)

Износ инструментов и приспособлений целевого назначения (20% от осн.з/п.)

Затраты на содержание и эксплуатацию оборудования (80% от осн.з/п.)

Цеховые расходы (60% от осн.з/п.)

3,29

234,7


39,7

7,94


12,7

2,18


7,94


31,616

23,82

0,9

60,5


11,08

2,21


3,54

0,6


2,21


7,83

6,4

9 Цеховая себестоимость, грн 314,2
11

Общезаводские расходы, (90% от осн.з/п.)

35,7 8,97
12 Заводская себестоимость, грн 350,9
13 Внепроизводственные расходы 2% 6,8 1,89

14

Полная себестоимость, грн

358

100


7.3 Определение уровня качества изделия


Для определения уровня качества нового изделия необходимо сравнить показатели нового и базового изделий. Экспертная оценка производится специалистами. Для обеспечения объективной оценки и удобства обработки данных целесообразно привлекать к оценке не менее пяти специалистов, так как группа экспертов должна быть достаточно велика.

В качестве базового изделия взят блок передающего оптического модуля вторичной цифровой волоконно-оптической системы передачи на базе аппаратуры "Соната-2", введённый в эксплуатацию на городских телефонных сетях в России.

Показатель качества можно определить по формуле:

(7.6)

где коэффициент учитывающий весомость i-го показателя изделия;

коэффициент изменения параметра i-го показателя изделия;

Коэффициент изменения по каждому показателю находят, как отношение числового значения параметра нового и базового изделий по формулам:

(7.7)

или

(7.8)

где числовые значения показателей соответсвенно базового и нового изделий.

Причём , если происходит улучшение показателей и наоборот, , если происходит ухудшение i-го параметра. Для базового изделия принято за эталоном . Технические характеристики базового и нового изделий приведены в таблице 7.5.


Таблица 7.5. Технические характеристики изделий

Показатели Индекс Вариант Коэфициент изменения
Базовый Новый
  1. Энергопотребление, Вт

  2. Пропускная способность, Мбит/сек

  3. Количество каналов

  4. Длинна волны, мкм

  5. Оптическая мощность на вых., мВт

  6. Расстояние до следующего регенерационного пункта, км

X1

X2

X3

X4

X5


X6


15

6

30

0.85

1


5

11

8,5

120

0.85

1,5


8,5

1,36

1,4

4

1

1,5


1,7

Результаты экспертных сравнений важности параметров приведены в таблице 7.6:

Показатели Эксперты Итоговая оценка Числовое значение
1 2 3 4 5 6

X1 и X2

X1 и X3

X1 и X4

X1 и X5

X1 и X6

X2 и X3

X2 и X4

X2 и X5

X2 и X6

X3 и X4

X3 и X5

X3 и X6

X4 и X5

X4 и X6

X5 и X6

=

=

>

>

=

>

=

=

=

>

>

>

=

=

>

=

>

>

>

>

=

=

=

=

>

=

>

>

=

>

=

=

=

=

>

>

>

>

>

=

=

=

=

>

>

>

>

=

>

=

>

>

=

>

=

=

0.5

0.5

1.5

0.5

0.5

1

1.5

1.5

1

1.5

1

0.5

0.5

0.5

1

На основании принятой системы сравнения составляем квадратную матрицу таблица 7.7.

Коэфициент учитывающий важность (весомость) каждого показателя находим по формулам:

(7.9)

(7.10)

где n – число показателей.


Таблица 7.7 Результаты расчёта приоритета (относительных оценок)показателей

Показатели 1-й шаг 2-й шаг
Х Х1 Х2 Х3 Х4 Х5 Х6

вi

Квi

вi

К’вi

Х1

Х2

Х3

Х4

Х5

Х6

1

1.5

1.5

0.5

1.5

1.5

0.5

1

1

0.5

0.5

1

0.5

1

1

0.5

1

1.5

1.5

1.5

1.5

1

1.5

1.5

0.5

1.5

1

0.5

1

1

0.5

1

0.5

0.5

1

1

4,5

7,5

6,5

3,5

6,5

7,5

0,125

0,21

0,18

0,1

0,18

0,21

23,75

43,25

36,25

19,72

36,25

43,25

0,12

0,21

0,18

0,1

0,17

0,21

36

1

202,5

1


Относительные оценки рассчитывают несколько раз, до тех пор пока значения будут значительно отличаться от предыдущих. На втором и последующих шагах находим так:

(7.11)

Подставляем числовые значения и в формулу (7.6) получим коэфициент качества:


7.4 Определение цены изделия

Среди разных методов ценообразования на ранних стадиях проектирования очень распространённый метод лимитных цен. При этом определяется нижняя и верхняя граница цены.


7.4.1 Нижняя граница цены изделия

Нижняя граница цены изделия () защищает интересы производителя продукции и предвидит, что цена должна покрыть затраты производителя, связанные с производством и реализацией продукции, и обеспечит уровень рентабельности не ниже за тот, который имеет предприятие при производстве своей основной продукции.

,

где оптовая цена изделия, грн;

полная себестоимость изделия, 358грн;

нормативный уровень рентабельности, %, на опытном заводе “Генератор”, где будет выпускаться проэктируемое изделие Рн = 17%;

налог на дополнительную стоимость, %, по состоянию на 1.12.2000г. –20%.

Необходимость включения налога на дополнительную стоимость возникает в связи с тем, что когда будет определятся верхняя граница цены, а потом договорная цена, то цена базового изделия уже составляет этот налог.

Тогда:


7.4.2 Верхняя граница цены изделия

Верхняя граница цены изделия () защищает интересы потребителя и определяется той ценой, которую потребитель готовый заплатить за продукцию с лучшим потребительским качеством.

,

где цена базового изделия и она составляет 420грн;

коэффициент качества изделия относительно базового;


7.4.3 Договорная цена

Договорная цена может быть установлена за договорённостью между производителем и потребителем в интервале между нижней и верхней граничными ценами.


7.5. Определение минимального объема производства


Потенциальные потребители и возможные объёмы производства определяются в разделе “Анализ рынка”. Но экономические показатели определяют минимальный объем производства, из-за которого выпуск продукции будет целесообразным. Это зависит от отношения условно-переменных, условно-постоянных расходов в составе себестоимости продукции и договорной цены.

Определение условно-переменных и условно-постоянных расходов определяется следующим образом:

Для продукции приборостроительных предприятих можно принять, что в составе сбестоимости продукции условно-переменные расходы составляют 65-75%, а условно-постоянные – 25-35%. Тогда при годовой мощности производства Х штук себестоимость годового выпуска продукции Ср составляет

,

где полная себестоимость единицы продукции, грн;

соответсвенно условно-переменные и условно-постоянные расходы в составе себестоимости продукции ()

годовая мощность производства продукции шт/год

годовой обьём выпуска продукции, шт/год;

Стоимость годового выпуска продукции:

принимаем среднее значение: (501+651)/2=576[грн]

Строим график, на котором определим при каком объеме продукции выторг от реализации продукции и её себестоимость совпадают (прибыль равна нулю), что отвечает безубыточности производства. И определим объем продукции , при котором будет достигнут необходимый уровень рентабельности (Рисунок 7.1).

Аналитически и могут быть рассчитаны по формулам:

Годовая прибыль при запланированном уровне рентабельности составит:




87



8. Мероприятия по охране труда


В данном дипломном проекте требуется разработать передающее устройство одноволоконной оптической системы передачи, рассчитанной на работу с длиной волны 0.85 мкм, которая относится к ближнему инфракрасному диапазону излучения.

Поскольку передающее устройство рассчитано на работу в составе многоканальных систем связи на соединительных линиях городской телефонной сети, то в главе освещены вопросы организации охраны труда на предприятиях.


8.1 Лазерная безопасность

Воздействие лазерного излучения на органы зрения

Основной элемент зрительного аппарата человека - сетчатка глаза - может быть поражена лишь излучением видимого ( от 0.4 мкм ) и ближнего ИК-диапазонов ( до 1.4 мкм ), что объясняется спектральными характеристиками человеческого глаза. При этом хрусталик и глазное яблоко, действуя как дополнительная фокусирующая оптика, существенно повышают концентрацию энергии на сетчатке, что, в свою очередь, на несколько порядков понижает максимально допустимый уровень ( МДУ ) облучения зрачка.

Технико-гигиеническая оценка лазерных изделий

В нашей стране на базе проведенных комплексных исследований и современных представлений о влиянии лазерного излучения на организм человека разработан и утвержден ряд нормативных документов, обеспечивающих безопасную эксплуатацию лазерных изделий. Эти документы устанавливают единую систему обеспечения лазерной безопасности. В такую систему входят: технические средства снижения опасных и вредных производственных факторов, организационные мероприятия, контроль условий труда на лазерных установках. В современной отечественной научно-технической и нормативной литературе дано несколько вариантов классификации лазерных изделий. С позиции обеспечения лазерной безопасности их классифицируют по основным физико-техническим параметрам и степени опасности генерируемого излучения.

В зависимости от конструкции лазера и конкретных условий его эксплуатации обслуживающий его персонал может быть подвержен воздействию опасных и вредных производственных факторов. Уровни опасных и вредных производственных факторов на рабочем месте не должны превышать значений, установленных по электробезопасности, взрывоопасности, шуму, уровням ионизирующего излучения, концентрации токсических веществ и др.

Классы опасности лазерного излучения

Степень воздействия лазерного излучения на оператора зависит от физико-технических характеристик лазера — плотности мощности (энергии излучения), длины волны, времени облучения, длительности и периодичности импульсов, площади облучаемой поверхности. Биологический эффект лазерного облучения зависит как от вида воздействия излучения на ткани организма (тепловое, фотохимическое), так и от биологических и физико-химических особенностей самих тканей и органов.

Наиболее опасно лазерное излучение с длиной волны:

3801400 нм — для сетчатки глаза,

180380 нм и свыше 1400 нм — для передних сред глаза,

180105 нм (т.е. во всем рассматриваемом диапазоне) — для кожи.

Гигиенистами выдвинуты требования, в соответствии с которыми, в основу проектирования, разработки и эксплуатации лазерной техники должен быть положен принцип исключения воздействия на человека (кроме лечебных целей) лазерного излучения, как прямого, так и зеркально или диффузно отраженного.

Лазерные изделия по степени опасности генерируемого излучения подразделяют на 4 класса. При этом класс опасности лазерного изделия определяется классом опасности используемого в нем лазера. Классификацию лазеров с точки зрения безопасности проводит предприятие-изготовитель путем сравнения выходных характеристик излучения с предельно допустимыми уровнями (ПДУ) при однократном воздействии. Определяя принадлежность лазерного изделия к тому или иному классу по степени опасности лазерного излучения, необходимо учитывать воздействие прямого или отраженного лазерного пучка на глаза и кожу человека и пространственные характеристики лазерного излучения (при этом различают коллимированное излучение, то есть заключенное в ограниченном телесном угле, и неколлимированное, то есть рассеянное или диффузно отраженное). Использование дополнительных оптических систем не входит в понятие "коллимация", а оговаривается отдельно. Лазерные изделия с точки зрения техники безопасности классифицируют в основном по степени опасности генерируемого излучения. Установлены следующие 4 класса лазеров:

1. Полностью безопасные лазеры, выходное излучение которых не представляет опасности для глаз и кожи человека;

2. Лазеры, выходное излучение которых представляет опасность при облучении кожи или глаз человека коллимированным пучком. В то же время диффузно отраженное излучение лазеров этого класса безопасно как для кожи, так и для глаз;

3. Лазерные устройства, работающие в видимой области спектра и выходное излучение которых представляет опасность при облучении как глаз (коллимированным и диффузно отраженным излучением на расстоянии менее 10 см от отражающей поверхности), так и кожи (только коллимированным пучком);

4. Наиболее опасный — к нему относят лазерные устройства, даже диффузно отраженное излучение которых представляет опасность для глаз и кожи на расстоянии менее 10 см.

При определении класса опасности лазерного излучения учитываются три спектральных диапазона.

Таблица 8.1 – Диапазоны лазерного излучения

Класс
опасности

180380 нм

3801400 нм

1400105 нм

лазерного Диапазон
излучения I II III
1 + + +
2 + + +
3 +
4 + + +

Гигиеническое нормирование лазерного излучения

Для каждого режима работы лазера и его спектрального диапазона регламентируют предельно допустимый уровень излучения. Нормируемыми параметрами с точки зрения опасности лазерного излучения являются энергия W и мощность P излучения, прошедшего ограничивающую апертуру диаметрами dа=1.1 мм (в спектральных диапазонах I и II) и dа=7 мм (в диапазоне II); энергетическая экспозиция H и облученность E, усредненные по ограничивающей апертуре:

H=W/Sa; E=P/Sa , (3.1)

где Sa — площадь ограничивающей апертуры.

Таблица 8.2 - Предельные дозы при однократном воздействии на глаза коллимированного лазерного излучения

Длина волны , нм

Длительность воздействия t, с

WПДУ, Дж

380600

t2.310-11


2.310-11t510-5

810-8


510-5t1

600750

t6.510-11


6.510-11t510-5

1.610-7


510-5t1

7501000

t2.510-10


2.510-10t510-5

410-7


510-5t1

10001400

t10-9


10-9t510-5

10-6


510-5t1


Примечания: 1. Длительность воздействия меньше 1 с.

2. Ограничивающая апертура = 710-3 м.


Предельно допустимый уровень лазерного излучения устанавливают для двух условий - однократного и хронического облучения. Под хроническим понимают "систематически повторяющееся воздействие, которому подвергаются люди, профессионально связанные с лазерным излучением".

Предельно допустимый уровень при этом определяют как:

1. Уровни лазерного излучения, при которых "существует незначительная вероятность возникновения обратимых отклонений в организме" человека;

2. Уровни излучения, которые "при работе установленной продолжительности в течение всего трудового стажа не приводят к травме (повреждению), заболеванию или отклонению в состоянии здоровья как самого работающего, так и последующих его поколений".

Предельно допустимый уровень хронического воздействия рассчитывают путем уменьшения в 510 раз ПДУ однократного воздействия.


8.2 Требования безопасности при эксплуатации лазерных изделий


Требования к размещению лазерных изделий

Размещение лазерных изделий в каждом конкретном случае производится с учётом класса опасности изделий, условий и режима труда персонала, особенностей технологического процесса, подводка коммуникаций.

Требования для класса 3Б:

Расстояние между лазерными изделиями должно обеспечивать безопасные условия труда и удобство эксплуатации, ремонта и обслуживания. Рекомендуется для класса 3Б:

- Со стороны органов управления: при однорядном расположении–1,5 м;

- при двухрядном не менее - 2,0 м;

- c других сторон не менее – 1,0 м;

- траектория прохождения лазерного пучка должна быть заключена в оболочку из несгораемого материала или иметь ограждение, снижающие уровень лазерного излучения к допустимому уровню и исключающие попадание лазерного пучка на зеркальную поверхность. Открытые траектории в зоне возможного нахождения человека должны располагаться значительно выше уровня глаз. Минимальная высота траектории 2,2 м.

- Рабочее место должно быть организовано таким образом, чтобы исключать возможность воздействия на персонал лазерного излучения или чтобы его величина не превышала допустимый уровень для первого класса;

- рабочее место обслуживающего персонала, взаимное расположение всех элементов (органов управления, средств отображения информации и др.) должна обеспечивать рациональность рабочих движений и максимально учитывать энергетические, скоростные, силовые и психофизические возможности человека.

- Следует предусматривать наличие мест для размещения съемных деталей, переносной измерительной аппаратуры, хранения заготовок, готовых изделий.

Классификация условий и характера труда

По степени зашиты персонала от воздействия лазерного излучения условия и характер труда при эксплуатации лазерных изделий независимо от класса изделия подразделяются:

А) оптимальные – исключающие воздействие на персонал лазерного излучения;

Б) допустимые – уровень лазерного излучения, воздействующего на персонал, меньше предельно допустимого уровня.

В) вредные и опасные – уровень лазерного излучения, воздействующего на персонал, превышает предельно допустимый уровень.

Требования безопасности при эксплуатации и обслуживании лазерных изделий

Выполнение следующих требований безопасности должно обеспечивать исключение или максимальное уменьшение возможности облучения персонала лазерным излучением, а также воздействия на него других опасных факторов:

- К ремонту, наладке и испытаниям лазерных изделий допускаются лица,

имеющие соответствующую квалификацию и прошедшие инструктаж по

технике безопасности в установленном порядке.

  • К работе с лазерными изделиями допускаются лица, достигшие восем-надцати лет, не имеющие медицинских противопоказаний,

прошедшие курс специального обучения в установленном порядке работе

с конкретными лазерными изделиями и аттестацию на группу по охране

труда при работе на электроустановках с соответствующим напряжением.

  • При эксплуатации изделий выше класса 2 должно назначаться лицо, ответственное за охрану труда при их эксплуатации.

  • Лазерные изделия, находящиеся в эксплуатации, должны подвергаться регулярной профилактической проверке. При проведении профилактической проверки следует обращать особое внимание на безотказность работы всех защитных устройств, надёжность заземления.


8.3 Мероприятия по производственной санитарии


Обоснование вида пайки

В связи с незначительным объемом производства (предполагаемый объем производства составляет 100 штук за год), а также учитывая форму и размеры печатного узла, количество радио элементов на печатной плате устройства, при изготовлении данного блока целесообразно применять ручную пайку. А для обеспечения электробезопасности необходимо применить электропаяльник мощностью 20-40Вт при напряжении питания 36В.

В соответствии со сборочным чертежом волоконнооптического передающего устройства, пайку печатных плат нужно производить припоем ПОС-61 ГОСТ 21931-76. Химический состав этого припоя приведён в таблице8.3


Таблица 8.3. Химический состав низкотемпературных припоев


Марка припоя Олово Свинец Висмут Примеси
ПОС-61 60-62%

37,7 –39,7%

нет 0,29%

Пайка в атмосфере обычными припоями производится, обычно, с применением флюсов. В качестве флюсов применяются канифоль, стеарин, их спиртовые растворы, а также флюсы содержащие солянокислый гидразин.

Для пайки выше вышеперечисленными низкотемпературными припоями применим наиболее распространённый и дешёвый смолосодержащий флюс марки ФКСП по ОСТ4.ГО.033.000. Состав флюса:

  • 70-60% сосновой канифоли.

  • 30-40% спирта этилового.

В качестве моющего средства для удаления остатков флюса применим

смесь бензина и этилового спирта в соотношении 1:1.


Опасные и вредные воздействия, вызванные

процессами пайки

Потенциально опасные и вредные производственные факторы при пайке:

  • Запыленность и загазованность воздуха рабочей зоны;

  • Наличие инфракрасных излучений;

  • Неудовлетворительная освещенность рабочих мест или повышенная яркость;

  • Неудовлетворительные метеорологические условия в рабочей зоне;

  • Воздействия брызг и капель расплавленного припоя;

  • Возможное поражение электрическим током;

  • Психофизиологические перегрузки.


Описание биологического действия опасных и вредных веществ находящихся в воздухе рабочей зоны

Процессы пайки сопровождаются загрязнением воздушной среды аэрозолями припоя, флюса, парами различных жидкостей, применяемых для флюса, смывки и растворения лаков.

Находясь в запыленной атмосфере, рабочие подвергаются воздействию пыли и паров. Вредные вещества оседают на кожном покрове, попадают на слизистые оболочки полости рта, глаз, верхних дыхательных путей, заглаты-ваются в пищеварительный тракт, вдыхаются в лёгкие.

Особенно вредны при пайке оловяно-свинцовыми припоями пары свинца. Свинец и его соединения ядовиты. Часть поступившего в организм свинца выводится из него через кишечник и почки, а часть задерживается в костном веществе, мышцах, печени. При неблагоприятных условиях свинец начинает циркулировать в крови, вызывая явления свинцового отравления. Для предотвращения острых заболеваний и профессиональных заболеваний содержание свинца не должно превышать предельно допустимых концентраций. Биологическое действие и предельно допустимые концентрации компонентов входящих в состав используемых припоев приведены в табл.8.4.

Применение флюсов при пайке также оказывает вредное влияние на организм человека. Компоненты входящие в состав флюса, обладают раздражающим, наркотическим действием.


Таблица 8.4. Биологическое действие, класс опасности и ПКД в воздухе рабочей зоны исходных компонентов входящих в состав припоев.

Компонент
Характер токсичности и действие
Класс опасности ПКД в воздухе рабочей зоны
Олово Поражение бронхов, вызывает профилактивно-креточную реакцию в легких. При длительном воздействии возможен пневмокониоз. 3

10мг\

Свинец При отравлении наблюдается поражение нервной системы, крови, желудочно-кишечного тракта, сердечно-сосудистой системы, половой системы, нарушение течения беременности. 1

0.01мг\

Висмут Подобно действию других металлов вызывает угнетение активности ферментов, оказывает эмбриотропное и гонадотропное действие. __ __

Достаточно высокую токсичность имеют компоненты, входящие в состав флюса и моющих средств.

Токсические действия и предельно допустимые концентрации для компонентов входящих в состав флюсов и моющего средства приведены в таблицах 8.4 и 8.6 соответственно.


Таблица 8.5. Токсичное действие компонентов, входящих в состав флюса марки ФКСП.

Компонент Токсичность и характер действия Класс опасности

ПДК в воздухе рабочей зоны, мг\

Канифоль сосновая Обладает раздражающим действием. При длительном воздействии на кожу вызывает дерматит. __ __
Спирт этиловый Обладает наркотическим и раздражающим действием. Вызывает изменения печени, сердечно-сосудистой и нервной системы, сухость кожи при длительном контакте. 4 1000

Таблица 8.6. Токсические свойства моющих средств, класс опасности и ПДК в воздухе рабочей зоны.

Компонент
Токсичность и характер действия
Класс опасности

ПДК в воздухе рабочей зоны, мг\

Бензин
Обладает раздражающим действием и как наркотик… Функциональные нервные расстройства, сопровождаемые мышечной слабостью, вялостью, сонливостью или бессонницей. Расстройства пищеварительного тракта, печени, дрожание пальцев и языка, поражение кожи. Характерно развитие судорог, понижается кровяное давление, пульс замедляется. 4 300 (в пересчёте на углерод)

Биологическое действие инфракрасного излучения на организм человека.

По физической основе инфракрасное излучение представляет собой поток энергии, обладающий волновыми и корпускулярными свойствами. На человека инфракрасное излучение оказывает в основном тепловое воздействие. Эффект действия инфракрасных излучений зависит от длинны волны ИК излучения и подразделяется на три области: А,В,С, (таблица 8.7)


Таблица 8.7 Области инфракрасного излучения.

Область ИК излучения
Длинна волны, нм
А
760…15000
В 1500…3000
С 3000…10000

Эффект действия зависит от принадлежности излучения к одной из областей инфракрасного излучения. Наиболее опасным является излучение области А, т.к. обладает большой проницаемостью через кожу. Действие инфракрасных лучей при поглощении их в различных слоях кожи приводит к её перегреванию, что обуславливает переполнение кровеносных сосудов кровью и усиление обмена веществ. Увеличивается содержание фосфора и натрия в крови человека, происходит повышение максимального давлений, повышение температуры тела, заболеваемость середчно-сосудистой системы и органов пищеварения.


Определение интенсивности ИК излучения

Интенсивность облучения Е от нагретой поверхности определяем по формуле:


,(7.1)


где l – расстояние до источника теплового излучения (принимаем l=100мм);

F – площадь излучающей поверхности (F=300);

А=85 для кожи человека и хлопчатобумажной ткани;

Т – температура излучающей поверхности, складывающейся из температуры плавления припоя Тпп=483 К, избыточной температуры жала паяльника Тж=70 К, тогда Т=Тпп + Тж=483 + 70=553 К.




По закону Вина находим длину волны ИК излучения тела с температурой 553 К.

Д
анное излучение относится к области С. Допустимая плотность потока энергии для нашего случая в соответствии с требованиями составляет 85. Приходим к выводу, что инфракрасное излучение не будет оказывать вредного действия на организм человека.


Определение концентрации аэрозолей свинца

в воздухе рабочей зоны

Количество аэрозоля свинца, выделяемое при пайке в атмосферу составляет 0.02-0.04мг на 100 паек.

Исходными данными для расчета концентрации свинца при пайке является:

N – количество рабочих мест, на которых ведётся пайка; N=4;

Размеры помещения, 5х5х3м,

n – количество паек в минуту, n=10;

Концентрация аэрозоля свинца в атмосфере при ручной пайке определяется по формуле:

y – удельное образование аэрозоля свинца; y=0.03мг/100паек.

t – длительность смены; t=8ч;

V – объём помещения,

Тогда:

Концентрация свинца в воздухе рабочей зоны в 7 раз превышает предельно допустимую концентрацию, поэтому необходимо предусмотреть местную вентиляцию, расчёт которой приведен далее.


8.4 Требование к освещению и расчёт освещённости

При монтаже печатных плат уровень освещённости должен быть оптимальным. При излишне ярком освещении возникает быстрое утомление рабочего, что может привести к потере работоспособности и травмы.

Естественное освещение помещения осуществляется боковым светом через световые проёмы в наружных стенах или через прозрачные части стен.

Основная величина для расчёта освещения (КЕО). Он зависит от широты местности, времени года и погоды. По нему производится нормирование естественного освещения.

При одностороннем боковом освещении нормируется минимальное значение КЕО в точке, расположенной на расстоянии 1 метр от наиболее удаленной от световых проёмов стены, на пересечении характерного размера помещения и условной рабочей поверхности.

Методика расчёта изложена в [8]. Согласно СНиП ІІ-4-79/85 нормированное значение КЕО для работ высокой точности(объект различения от 0.3 до 0.5мм) со средним контрастом объекта различения с фоном и средним фоном для ІІІ-го пояса .Для г.Киев (ІV пояс светового климата) КЕО:

(7.2) ,где


-КЕО для ІІІ-го пояса;

m – коэффициент светового климата; по таблице 1.2 из [8] находим m=0.9

c- коэффициент солнечности климата по табл. 1.3. [8], для световых проёмов ориентированных по азимуту 70град. коэффициент с=0.8

(7.3)

Фактичесоке значение КЕО для бокового овещения расчитываем по формуле: (7.4), где

- геометрические КЕО в расчётной точке при боковом освещении, учитывающие прямой свет неба и свет отражённый от противостоящего здания соответсвенно;

n1,n1`,n2,n2` -количество лучей по графикам І и ІІ [8] проходящим от неба и противостоящего здания в расчётную точку на поперечном разрезе и плане помещения;

(7.5)

(7.6)

q –коэффициент, учитывающий неравномерную яркость облачного неба из таблицы 2.4. [8] для угловой высоты середины светового проёма над рабочей поверхностью (рис.8.1);

R – коэффициент учитывающий относительную яркость противосто-ящего здания, для здания из кирпича с учётом индексов противостоящего здания в плане Z1 и в разрезе Z2.

; ; (7.7)

- соответственно длинна и высота противостоящего здания ;

-расстояние от расчётной точки в помещении до внешней поверхности наружной стены здания;

р –расстояние между рассматриваемыми зданиями;

а –ширина окна в плане;

r1- коэффициент учитывающий увеличение КЕО при боковом освещении из-за отражения от поверхностей помещения и подстилающего слоя. Зависит от отношения глубины В к высоте верха окна до уровня рабочей поверхности h1, отношения l к В, и отношения длинны помещения длинны помещения к его глубине В, средневзвешенного коэфициента отражения поверхностей помещения :

(7.8)

- коэффициенты отражения соответственно потолка, стен, пола из таблицы 1.7 [8]



- площади соответсвенно потолка, пола и стен;

- общий коэффициент светопропускания;

(7.9)

- коэффициент светопропускания материала остекления, берётся из таблицы 1.8 [8] для двойного оконного листового стекла;

- коэффициент учитываующий потери в переплётах светопроёма из таблицы 1.9. [8]

- коэффициент запаса, определяемый по таблице 1.12 [8].

Значения параметров определяемые по таблицам [8], а также по плану и разрезу помещения, результаты промежуточных вычислений сведены в таб. 8.7 подставляя численные значения находим:

Таюлица 8.7 Исходные данные и значения коэффициентов необходиых для расчёта КЕО.

Исходные данные коэффициенты
Значение

Исходные

данные коэффициенты

Значение

n1

n1`

n2

n2`


q

p


a

h1`

h1

B


Z1

Z2

4

1

31

19

1.24

0.19


14

0.64

30м

10м

4,25м

40м


3,6м

2,8м

2,1м


0,8

0,27

0,7


B/h1



R

0,7

0,1

25

49

25


0,55

2,4

0,8

1

2,5


0,8

0,7

1

1

1


0,56

1,5

0,25


,

В результате получаем:

Расчитанный КЕО в 2 раза меньше нормированного. Следовательно рабочие места следует располагать ближе к окнам помещения, так чтобы они находились в зоне, в пределах которой фактичесоке значение КЕО больше или равно нормированному, либо нужно применить совмещённое освещение при соответсвующей ему норме КЕО при этом по формуле (7.2) определяем:

При этом нормы СНиП ІІ-4-79/85 будут выполнятся в пределах всего помещения.

Произведём проверочный расчёт искусственного освещения по методике изложенной в [9]. На рисунке 8.2 Представлена схема для определения условий применения методов расчёта . При рядах небольшой протяжённости (ln/n

(7.10)

N – количество светильников в помещении;

n – количество ламп в светильнике;

- Световой поток лампы, лм;

- коэффициент учитывающий увеличение освещённости;

- относительная освещённость в расчётной точке, создаваемая i-м полурядом светильников.

- коэффициент запаса;

h – высота подвесов светильника;

lp – длинна ряда светильников;

Высота подвеса светильников h=3-0.3-0.8=3м

Длинна ряда светильников lp=3.4м

Для ламп типа ЛБ40, применяемых для освещения данного помещения, световой поток по таблице 1.1.[9] =3120лм

Имеем n=4, N=4, =1.5, =1.2, m=2

Для определения табличного значения функции находим отношение

p` и l` :

p`=p/n , p – расстояние от расчётной точки до проекции ряда светильников на горизонтальную плоскость.

l`=l2/n, l2 – расстояние до расчётной точки от стены.

p`=1/4=0.25 l`=2.5/4=0.62

Для угла =25 под которым падает свет У=162лм. По табл.1.10 [9] по У, для светильников 9-й группы определяем f(p`,l`)=0.55

Тогда = f(p`,l`) У=0.55*162=89

Поставляя численные значения в формулу (7.10), получаем:



По таблице П1 [9] определяем значение нормированной освещённости. Для работ высокой точности (объект различения от 0.3 до 0.5 мм) со средним контрастом объекта различения с фоном при среднем фоне находим Ен=400лк.

Так как рассчитанное фактическое значение освещенности больше нормированного, делаем вывод о пригодности системы освещения в помещении.


8.5 Мероприятия по улучшению условий труда


8.5.1 Расчёт местного отсоса

Поскольку концентрация аэрозоля свинца в воздухе превышает предельно допустимую норму, то необходимо применить местную вентиляцию.

Вентиляционная установка включается до начала работы и выключается после её окончания. Работа вентиляционных установок контролируется с помощью световой сигнализации.

Разводка вентиляционной сети и конструкция местных отсосов обеспечивает возможность регулярной очистки воздуховодов.

Электропаяльник в рабочем состоянии находится в зоне действия вытяжной вентиляции.

Метеорологические условия на рабочих местах должны соответствовать ГОСТ 12.1 005-88.

Местная вентиляция при пайке является наиболее эффективным и экономическим средством обеспечения санитарно-гигиенических параметров воздушной среды в рабочей зоне. Широкое применение при пайке имеет местная вытяжная вентиляция , которая условно разделяется на местные отсосы открытого и закрытого типа.

В данном случае, для улавливания выделяющихся при пайке вредных паров используем местный отсос в виде прямоугольного отверстия (рис.8.3)




Определяем количество отсасываемого воздуха [11]:

(7.12)

S – площадь высасывающего отверстия, ;

Е – большая сторона отверстия, м;

Х – расстояние от плоскости всасывающего отверстия до зоны пайки;

- скорость воздуха в зоне пайки.

Задаёмся =0.6

Величины Е и Х выбираем в соответствии со сборочным чертежом волоконнооптического передатчика как наибольшую и меньшую стороны соответствующего блока. Габариты блока одноволоконного оптического передатчика 304,5 х101мм. Принимаем Е=0.31м, а Х=0.11м. Определим оптимальный размер наименьшей стороны всасывающего отверстия [11]:

(7.13)

Площадь всасывающего отверстия:

По формуле (7.12) определяем количество отсасываемого воздуха:

Определим допустимую концентрацию пыли в удаляемом воздухе. Так как для всех рабочих мест помещения общее количество отсасываемого воздуха:

то в соответствии с [11]

(7.14), где

К – коэффициент зависящий от ПДК пыли в воздухе рабочей зоны (для аэрозоля свинца К=0.3);

L – объём удаляемого воздуха, тыс. ;

(7.15)

y – удельное образование свинца ; y=0.03;

n – количество паек в минуту, n=10;

N – количество рабочих мест.

Так как >>, то в применении специальных мероприятий по охране окружающей среды нет необходимости.


8.6 Мероприятия по пожарной безопасности

Некоторые вещества и материалы, применяемые на участке монтажа пожаровзрывоопасны. Эти вещества, некоторые их характеристики и средства пожаротушения приведены в таблице 8.8.

Для того чтобы определить категорию помещения по взрывопожарной и пожарной опасности в соответствии с ОНТП 24-86, необходимо рассчитать избыточное давление взрыва в помещении. Избыточное давление взрыва определим по формуле [8]:


Таблица 8.8 Пожаровзрывоопасные вещества применяемые при производстве печатного узла



Наименование вещества

Температура воспламенения Температура самовоспламе-нения Пределы взрываемости Средства пожаротушения
Нижний Верхний
Канифоль -

850

12,6

- Химическая и воздушно-механическая пена, распыленная вода
Спирт этиловый бензиновый

18

104

3,6%; 68

19%;

340

Химическая пена, вода, инертные газы
бензины

17-44

255-474

0,76-1,1% 5,16-8,12%

Пена, водяной пар, инертные газы


Стекло-текстолит - - - - Вода, химическая пена

(7.16), где

- максимальное давление взрыва стехиометрической газо-воздушной или паро-воздушной смеси в замкнутом объёме (=750кПА);

- начальное давление, =101кПа;

m – масса горючего вещества, кг;

Z – площадь испарения, ;

- Свободный объём помещения;

- плотность газа и пара ()

Сст – стехиометрическая концентрация горючего газа или

паров ЛВЖ, %;

Ки - коэффициент учитывающий негерметичность помещения и недиабатность процесса горения, Ки=3;

Свободный объём помещения определяем по формуле:

(7.17)

Стехиометрическая концентрация попределяется по формуле:

- стехиометрический коэффициент кислорода в реакции горения.

- число атомов С, Н, О и галоидов в молекуле горючего;

Расчитываем по вышеуказанной методике принимая

Ежедневно на участке монтажа расходуется 0.3л спирта; расчёт произведён для самого неблагоприятного случая; все содержимое поступает в помещение (для 0.3л легко воспламеняющейся жидкости площадь

разлива 0.3);

Массу паров жидкости определим по формуле:

- интенсивность испарения, ;

- площадь испареня, ;

- длительность испарения ()

Интенсивность испарения определим так:

(7.18)

- коэффициент выбираемый из [8] в зависимости от скорости и температуры над поверхностью жидкости ();

- молекулярная масса ();

- давление насыщенности пара ();

Из справочных данных для :

Тогда:

, ,

, ,

В результате расчёта делаем вывод о принадлежности помещения к категории В пожароопасное (табл 10 [11]). Поскольку в помещении взрывчатые смеси горючих газов и паров с воздухом не образуется, а образуются они только в результате аварии или неисправности, то помещение можно отнести к классу В-lб взрывоопасных зон [11].

Основными причинами возникновения пожара являются:

-Нарушение установленных правил пожарной безопасности и неосторожное обращение с огнём;

-неисправность и перегрузка электрических устройств (короткое замыкание);

-неисправность вентиляционной системы, вызывающая самовозгорания или взрыв пыли;

-халатное и неосторожное обращение с огнём;

-самовоспламенение хлопчатобумажной ткани пропитанной маслом, бензином или спиртом;

-статическое электричество, образующееся от трения пыли или газов в вентиляционных установках;

-грозовые разряды при отсутствии или неисправности молниеотводов.

В помещениях, где производится монтаж печатных плат предусматриваем электрическую пожарную сигнализацию (пять извещателей типа ПОСТ-1), которая служит для быстрого извещения службы пожаротушения о возникновении пожара.

Количество размещённых огнетушителей в рабочем помещении соответствует требованиям ISO 3941-77.

В рабочем помещении выполнены все требования по пожарной безопасности в соответствии с требованиями НАПБ А.01.001-95 «Правил пожежної безпеки в Україні».

Вход в помещение, проходы между столами и коридоры не разрешается загромождать различными предметами и оборудованием. Для хранения всех веществ и материалов предусматриваем специальные шкафы и ёмкости.

С рабочими и обслуживающим персоналом предусматриваем проведение противопожарного инструктажа, занятий и бесед.


8.7 Мероприятия по молниезащите здания

Здание по молниезащите можно отнести к категории 2, как здание помещения в которых относятся к классу В-1б.

Ожидаемое число поражений молнией в год зданий и сооружений высотой не более 60м, не оборудованных молниезащитой, определяют по формуле [12]:

(7.19), где

S –ширина защищаемого здания, м;

h –высота здания по его боковым сторонам, м;

L – длинна защищаемого здания, м;

n – среднее число поражений молнией на 1кв.км. земной пов. за год;

В нашем случае имеем S=20м; L=150м; h=20m; n=9; (так как годовая продолжительность гроз для Киева – 60-80часов, что соответствует 9-ти поражениям на 1кв.км. за год)

Согласно таблице 2 [12] тип защиты – зона Б, так как здание относится к категории 2, а ожидаемое число поражений молнией в год N.

Здание должно быть защищено от прямых ударов молнии электростатической и электромагнитной индукции и заноса высоких потенциалов через наземные и подземные металлические коммуникации. Используются сетчатые молниеотводы. Защита зданий от электростатической индукции обеспечивается присоединением всего оборудования и аппаратов, находящихся в здании к защитному заземлению оборудования.


92



9. Литература


  1. Брискер А.С., Гусев Ю.М., Ильин В.В. и другие. Спектральное уплотнение волоконнооптических линий ГТС. Электросвязь, 1990, №1, с41-42.

  2. Брискер А.С., Быстров В.В., Ильин В.В.. Способы увеличения пропускной способности волоконнооптических линий ГТС. Электросвязь, 1991, №4, с28-29.

  3. М.М. Бутусов, С.М. Верник, С.Л. Балкин и другие. Волоконно оптические системы передачи. -М.: Радио и связь, 1992 –416с.

  4. Мигулин И.М., Чаповксий М.З. Усилительные устройства на транзисторах. –К.: Техника, 1974.

  5. Методичні вказівки до дипломного проєктування для студентів спеціальності “Радіотехніка” К: КПІ, 1993.

  6. Методические указания к курсовому проектированию устройств радиоприёма и обработки сигналов по дисциплине «Радиотехнические устройства», для студентов специальности «Радиотехника». К: КПИ, 1992.

  7. Методические указания к выполнению контрольных работ по курсу: «Охрана труда и окружающей среды». КПИ,1990г.

  8. Методические указания по выполнению расчёта естественного освещения в дипломных проектах с применением ЭВМ. КПИ, 1987г.

  9. Методические указания к выполнению расчёта искусственного освещения в дипломных проектах с применением ЭВМ. КПИ, 1989г.

  10. Шапиро Д.Н. Расчёт каскадов транзисторных радиоприёмников – Л.: Энергия, 1968г.

  11. Методические указания к выполнению домашних заданий по разделу «Мероприятия по охране труда при пайке», КПИ, 1984г.

  12. Методические указания по молниезащите промышленных объектов, КПИ, 1985г.

  13. Лазерная безопасность. Общие требования безопасности при разработке и эксплуатации лазерных изделий.-М.:Издательство стандартов,1995

  14. Полупроводниковые приборы. Транзисторы. Группа 6341. РД11.0799.2.-91. Сборник справочных листов –РНИИ № «Электростандарт». 1992г.

  15. Микросхемы интегральные. Том 2. РД11.0488.2-88. Сборник справочных листов –РНИИ № «Электростандарт». 1989г.

  16. К.К. Александров, Е.Г. Кузьмина. Электротехнические чертежи и схемы. М: Энергоатомиздат 1990.

  17. Практическое пособие по учебному конструированию РЭА. Под редакцией К.Б. Круковского, Ю.Л. Мазора. –К.Высш.шк.,1992г.

95



От Автора.


Тема дипломного проекта: «Передающее устройство одноволоконной оптической сети». Сдавался в Киевском политехническом институте (КПИ) на Радиотехническом ф-те в феврале 2001г. Сдан на «отлично», хотя любой другой его может сдать на 3 балла, если вообще «бестолочь». Вообще-то оценка зависит на 90% от ващего доклада! Т.е. как вы комиссии свой дилом изложите, как на вопросы будете отвечать - так и оценку поставят.

Диплом имеет достаточно современную и актуальную тему, которая подходит практически для любого вуза или техн. училища ПО СПЕЦИАЛЬНОСТИ РАДИОТЕХНИКА, СВЯЗЬ, и тому подобные.

Данный диплом в полном варианте(!!!) т.е. уже практически в чистовом виде. Выпонен полный расчёт принципиальной схемы передатчика и расчёт источника питания. Если вы хотите переделать его под себя – вам остаётся только внимательно его прочитать и изменить некоторые названия городов и ГОСТов. На пример в разделе “ Мероприятия по Охране Труда” есть такая фраза: “В рабочем помещении выполнены все требования по пожарной безопасности в соответствии с требованиями НАПБ А.01.001-95 «Правил пожежної безпеки в Україні». И вы должны написать тип требований который действует у вас в России например. А всё остальное в принципе остаётся без изменений.

К диплому прелагается 7 чертежей формата А1:

  1. Сборочный чертёж передающего устройства.

  2. Сборочный чертёж источника питания.

  3. Плата печатная передающего устройства (две стороны на 1-м чертеже).

  4. Плата печатная источника питания (две стороны на 1-м чертеже).

  5. Схема электрическая принципиальная.

  6. Схема электрическая структурная.

  7. Схема электрическая функциональная.

Но к сожалению я эти чертежи рисовал в ручную, а не в какой-то графической программе (дорого была распечатка А1 формата и я решил рисовать ручками). Но у меня остались Очень качественные ксерокопии всех чертежей в масштабе 1:1. Так, что если кому-нить надо – милости просим. Обращайтесь и я обязательно помогу вам их прислать(если уж кому-то сильно припечёт). У нас например в группе 2 человека отчислили из-за того, что вовремя не было всё готово.

Еще, в 4-м разделе (Расчёт электрической принципиальной схемы) отсутствуют рисунки: 4.1, 4.4, 4.5, 4.8, 4.9, 4.10. Я эти рисунки просто вклеивал на страницы диплома . У меня остались качественные ксерокопии. Мой товарищ из Института связи взял мой диплом в качестве «козы» . Он мне поклялся все эти рисунки нарисовать в электронном виде, а так же все чертежи А1 формата. Так, то к тому времени, пока кому-нить понадобится мой диплом, я уверен у меня все рисунки и чертежи будут в электронном виде. И вам останется только поставить их на свои места и распечатать (Кому не по карману – рисуйте руками). Я думаю, что мой диплом еще не раз спасёт душу ленивого студента. А может и не ленивого, а работящего, у которого нет времени заниматься ерундой, а кормить семью все таки надо. Найти меня можно по адресам: rostik61@ukrpost.net, rostik61@rtf-15.ntu-kpi.kiev.ua, rostik61@mail.ru или по телефону (044)476-27-18. Ростислав.

Удачи вам на этом поприще…


Приложение














© 2012 Рефераты, курсовые и дипломные работы.