рефераты
Главная

Рефераты по рекламе

Рефераты по физике

Рефераты по философии

Рефераты по финансам

Рефераты по химии

Рефераты по хозяйственному праву

Рефераты по цифровым устройствам

Рефераты по экологическому праву

Рефераты по экономико-математическому моделированию

Рефераты по экономической географии

Рефераты по экономической теории

Рефераты по этике

Рефераты по юриспруденции

Рефераты по языковедению

Рефераты по юридическим наукам

Рефераты по истории

Рефераты по компьютерным наукам

Рефераты по медицинским наукам

Рефераты по финансовым наукам

Рефераты по управленческим наукам

Психология и педагогика

Промышленность производство

Биология и химия

Языкознание филология

Издательское дело и полиграфия

Рефераты по краеведению и этнографии

Рефераты по религии и мифологии

Рефераты по медицине

Рефераты по сексологии

Рефераты по информатике программированию

Краткое содержание произведений

Реферат: Алкалоиды и история их открытия

Реферат: Алкалоиды и история их открытия

Государственный комитет РФ по Высшему образованию


Тверской Государственный Университет


Химико-Биолого-Географический факультет

Кафедра органической химии


КУРСОВАЯ РАБОТА

Тема: «Алкалоиды и история их открытия»


Выполнена студентками 3 курса ДО

Коршуновой Ю.А.

Бойцовой И.Ю.


Научный руководитель

Родионова Р.Е.


Тверь – 1997 г.


СОДЕРЖАНИЕ

СОДЕРЖАНИЕ 3

Понятие об алкалоидах. 4

Выделение. 4

Общие свойства алкалоидов 4

Реакции осаждения. 5

Реакции окрашивания. 5

Классификация 5

История открытия алкалоидов 6

Морфин. 6

Никотин. Кокаин. 7

Стрихнин. 9

Пилокарпин. 9

Псевдопельтерин. 9

Кофеин. Теобромин. Теофиллин. 9

Заключение 11

Литература 12


Понятие об алкалоидах.


Алкалоидами называют группу азотистых соединений, обладающих основными свойствами и встречающихся преимущественно в растениях1; алкалоиды характеризуются в большинстве случаев сложным строением и обычно содержат в своих молекулах гетероциклы. Многие алкалоиды обладают сильным физиологическим действием: в больших дозах они являются ядами, а в малых их часто применяют как ценные лекарственные вещества.

Алкалоиды очень широко распространены в растительном мире. Некоторые семейства растений особенно богаты алкалоидами, например маковые, пасленовые и ряд других. В большинстве случаев алкалоиды встречаются группами, причем представители такой группы часто имеют сходное химическое строение. В растениях алкалоиды обычно встречаются в виде солей органических кислот – щавелевой, яблочной, виннокаменной, лимонной и др. Свободные алкалоиды ( выделенные из солей) в связи с их основными свойствами часто называют алкалоидами-основаниями.

Выделение.

При выделении алкалоидов из растений обычно пользуются тем, что многие соли алкалоидов хорошо растворимы в воде, свободные же алкалоиды-основания плохо растворимы в воде, но хорошо растворимы в спирте, эфире и хлороформе.

Для выделения алкалоидов измельченные растения непосредственно обрабатывают щелочами, а затем извлекают выделенные алкалоиды-основания хлороформом, эфиром и др. Существуют и другие способы. Иногда из растворов солей алкалоидов последние для очистки выделяют путем осаждения различными реактивами ( см. ниже реакции осаждения алкалоидов ).


Общие свойства алкалоидов


Большинство алкалоидов-твердые вещества, хотя иногда встречаются и жидкие алкалоиды, например никотин. Большинство алкалоидов-оснований трудно растворяется в воде, легко в кислотах, а также в органических растворителях. Соли алкалоидов обычно хорошо растворимы в воде, за исключением некоторых. Существует ряд реакций, носящих название алкалоидных; при помощи этих реакций можно осадить алкалоиды для их обнаружения и выделения.

Реакции осаждения.

Реакции осаждения алкалоидов основаны либо на образовании нерастворимых солей алкалоидов, либо на образовании нерастворимых двойных солей.

1.Образование нерастворимых простых солей.

а) Реакция с танином. При добавлении к раствору соли алкалоида раствора танина выпадает осадок. При этой реакции образуется нерастворимая соль алкалоида и танина, имеющего кислотные свойства. Реакция имеет большое практическое значение: при отравлении алкалоидами пострадавшему дают пить раствор танина или просто крепкий чай, содержащий много дубильных веществ.

б) Реакция с пикриновой кислотой. Растворы солей алкалоидов дают с пикриновой кислотой желтый осадок. В данном случае сущность реакции точно так же сводится к образованию обычной соли алкалоида и пикриновой кислоты.

в) Реакции с фосфорновольфрамовой и фосфорномолибденовой кислотами приводят к выпадению в осадок нерастворимых солей алкалоидов и названных кислот.

2.Образование двойных (комплексных) солей.

а) Реакция с хлоридом ртути (II) (сулемой) HgCl2. Алкалоиды дают нерастворимые в воде соли HgCl2.

б) Реакция с раствором йода в растворе йодида калия. Указанный реактив (I2+KIKI3) осаждает шоколадно-коричневый осадок двойной соли алкалоидов.

в) Реакция с раствором йодида висмута в растворе йодида калия (BiI3+KI) протекает аналогично предыдущей. Применяемый при этом реактив часто называют реактивом Драгендорфа.

Реакции окрашивания.

Помимо реакций осаждения, для обнаружения алкалоидов часто применяют реакции окрашивания. Окрашивание растворов, содержащих некоторые алкалоиды, происходит при действии серной, азотной кислоты и других реактивов.

Многие реакции осаждения и окрашивания алкалоидов обусловлены наличием в них гетероциклов. Так как гетероциклы содержатся также в белковых веществах, так называемые алкалоидные реакции неспецифичны для алкалоидов и получаются также и с белками.


Классификация


Для удобства изучения алкалоиды делят на группы. Раньше, когда химическое строение алкалоидов было малоизвестным, их делили на группы в зависимости от тех растений, из которых их получали. Так, например, выделяли группы алколоидов хинной коры, мака и др.

В настоящее время в связи с выяснением строения алколоидов чаще пользуются химической классификацией. Большинство алколоидов, содержащих в своиз молекулах гетероциклы, делят на группы в зависимости от присутствующих гетероциклов. Так, например, различают алкалоиды группы пиридина (в эту группу входит никотин), алкалоиды группы хинолина (в эту группу входит хинин) и т.д. К алкалоидым часто относят метлированные производные ксантина, например теобромин и кофеин, как производные пурина. Эту группу алкалоидов называют называют алкалоидами группы пурина.

Некоторые учёные относят к алкалоидам и некотрые другие азотосодержащие вещества, обладающие основными свойствами и сильным физиологическим действием, но не содержащие гетероциклы. Примером таких алкалоидов являются алкалоиды группы фкнилэтиламина C6H5-CH2-CH2-NH2. Представителем этой группы является адреналин C6H3(OH)2-CH(OH)-CH2-NH(CH3).


История открытия алкалоидов


Во второй половине 18 века и в начале 19 века при изучении химического состава растений были выделены относительно сложные производные гетероциклов, получившие впоследствии объединяющее название «алкалоиды». Сам термин был введен Мейснером в 1818 году: по-латыни alkali-щелочи, oides-подобный, т. е. Подобные щелочам.

Морфин.

Первым из алкалоидов был открыт морфин, выделенный из опия Деросном (1803), а затем рядом других химиков. Деросн обнаружил, что выделенное им вещество обладает более сильным снотворным действием, чем сам опий. В процессе выделения действующего начала опия Дерсон применял щелочь, а затем полученную им соль ему никак не удавалось освободить от примеси щелочи, поэтому он пришел к выводу, что находящееся в опиуме вещество представляет собою «кислую соль». Однако еще в 1806 году Сертюрнер сообщил о своих исследованиях опия и о выделении из некого кристаллического тела, которое обладает снотворным действием и в опии образует соль с также выделенной Сертюрнером «меконовой» (оксипиродикарбоновой) кислотой. Все же, на существование растительных оснований химики обратили внимание лишь после второй работы Сертюрнера (1817) «О морфии, новом солеобразующем основании, и меконовой кислоте как главных составных частях опиума ». Сертюрнер полагал, что кристаллическое вещество, выделенное Деросном, представляет собою меконокислый морфий. Робике (1817), однако, показал, что в опиуме имеются два основания: морфин (название, предложенное Гей-Люссаком вместо прежнего «морфий») и наркотин, который также был, по-видимому, получен Деросном в 1803г. Впоследствии Робике (1832) выделил из опия и кодеин. Папаверин был открыт Мерком (1848), а тебаин Тибумери (1835)2 в лаборатории Пеллетье. Морфин был первым алкалоидом, в котором был обнаружен азот (Бюсси, 1822), до этого ни в морфине, ни в других алкалоидах при анализе либо не находили азота вовсе, либо его присутствие приписывали примесям. В 30-х годах 19в. эти вещества были исследованы группой французских химиков (особенно Кёрбом), а в 50-е годы –Андерсоном, нашедшим для некоторых из них правильные эмпирические формулы.

Изохинолиновые алкалоиды представляли для химиков, пытавшихся расшифровать их строение, высокий барьер. Здесь важен каждый шаг, как, например, доказательство того, что кодеин представляет собой метилпроизводное морфина (Гримо, 1881).Еще труднее было подойти к их синтезу. Все же Пикте удалось в 1909г.синтезировать папаверин-первый алкалоид этой группы.

Систематическое исследование алкалоидов изохинолинового ряда началось в 1918 г. (Шпет).

В 1925г. Робинсон и Галланд установили строение морфина, в основе которого лежит следующая изохинолино-фенантреновая группировка:




Синтезирован он был в 1952 году (Гейтс и Тшуди).

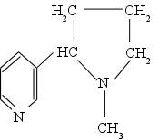
Никотин. Кокаин.

В 1886г. Ладенбург от -пиколина перешел к пропилпиперидину и расщепил полученный продукт на оптические изомеры путем кристаллизации его в виде кислого тартрата, причем правовращающий изомер оказался тождественным природному алкалоиду кониину. Этот алкалоид был открыт еще в 1827 г. Гизеке в вытяжке из болиголова (Cnium maculatum), а в 1881 г. Гофман установил его структурную формулу и показал отношение кониина к пиридину и пиперидину.

Алкалоид никотин, как видно из формулы также принадлежит к пиридиновой или, точнее, пиридин-пирролидиновой группе алкалоидов.




Он был открыт в табаке Вокленом (1809), установившим также принадлежность никотина к основаниям. Правильная структурная формула никотина предложена Пиннером (1891); она была подтверждена синтезом этого алкалоида, осуществленным Пикте (1903).

Окислением никотина Хуберт (1867) получил никотиновую кислоту. Скрауп и Лобенцль (1883) установили строение - и -пиридикарбоновых кисллот (пиколиновой и никотиновой) получением их при окислении хинолина и изохинолина.

К алкалоидам пиперидин-пирролидиновой группы принадлежит алкалоид кокаин. После нескольких неудачных попыток выделить его из листьев колы это удалось Ниману (1860) в лаборатории Вёлера. Вёлер и Лоссен предложили (1862) эмпирическую формулу кокаина С16Н20О4N, допустив ошибку только в определение числа атомов водорода (должно быть Н21,а не Н20). Либерман и Гизель (1890) усовершенствовали способ получения кокаина из листьев колы и тем открыли путь к промышленному производству этого алкалоида.


Из продуктов своего разложения кокаин был вновь синтезирован независимо Мерком и Скраупом (1885). Впервые правильную структурную формулу кокаина предложил Вильштеттер (1897); он подтвердил её в 1923 году 18-ступенчатым синтезом этого алкалоида.

Стрихнин.

С некоторым основанием к производным индола с гидрированным гетероциклом можно отнести алкалоид стрихнин, так как при его окислении выделяется динитроиндолдикарбоновая кислота. Алкалоиды стрихнин и бруцин (диметоксильное производное стрихнина ) были выделены Пеллетье и Каванту (1818 ) из « рвотных орешков » - семян одного ядовитого индонезийского растения. Систематические структурные исследования этих алкалоидов начались с работ Тафеля (с 1890г.) и Лейкса(с 1908г.). К 1910г. относится первая работа по изучению строения этих алкалоидов Перкина-младшего и Робинсона. В этой работе уже была предложена формула стрихнина, содержащая шесть циклов. Правда, оба атома азота у Перкина и Робинсона оказались ошибочно в одном и том же, притом шестичленном,цикле. После смерти Перкина в 1924г. исследование стрихнина продолжал Робинсон, который наконец в 1945г. пришел к правильной структурной формуле этого алкалоида. Синтезирован стрихнин Вудвордом в 1945г. Это был, конечно, очередной триумф органического синтеза.

Пилокарпин.

Применяющийся в медицине алкалоид пилокарпин был выделен из растительных веществ в 1875г. английским химиком Харди. Строение пилокарпина было доказано в 1930г. Чичибабиным и Н.А.Преображенским, а синтез осуществлён в 1933г. Преображенским и сотрудниками.


Псевдопельтерин.

Алкалоид псевдопельтерин открыт в коре гранатового дерева в 1878г. Танре.


К

офеин. Теобромин. Теофиллин.

Коссель еще в 80-х годах 19в. нашел, что в состав нуклеиновых кислот входят пуриновые основания, но только в 30-х годах было установлено (Левин и Басс), что это четыре следующих основания, существующих в виде окси- и (приводимых ниже) оксоформ:




Производными этих оснований являются алкалоиды






Достаточно взглянуть на формулы этих соединений, чтобы стало очевидным, почему химики при попытках уяснить их природу и взаимные отношения наталкивались на такие же трудности, как и при исследовании мочевой кислоты.

Если же не считать ксантина, открытого Мерсером в 1819 г., сначала химики познакомились с алкалоидами этой группы. Кофеин был изолирован в 1821 г. несколькими химиками, но первая публикация принадлежит Рунге. Теобромин был выделен из бобов какао Воскресенским в 1840 г. Гуанин был получен в лаборатории Либиха Унгером в 1845 г. из гуано и поэтому первоначально был назван «ксантином из гуано», гипоксантин обнаружен в селезёнке Шерером в 1850 г., а аденин выделен из препаратов поджелудочной железы Косселем в 1885 г. В том же году Коссель открыл в чайных листьях и алкалоид теофиллин.

В открытии новых алкалоидов и изучении их строения огромная роль принадлежит ученым нашей страны. Так, ещё на заре развития органической химии, в 1816г., харьковский профессор И. Гизе открыл алкалоид хинин. Огромную роль в химии алкалоидов сыграли работы А. Н. Вышнеградского – ученика А. М. Бутлерова. Особенно широко развернулась работа по алкалоидам после Великой Октябрьской социалистической революции (исследования В.М. Родионова, А.М. Орехова, А.Г. Меньшиков, Н.А. Преображенского, Р. А. Коноваловой, С. И. Каневской и др.). Выдающаяся роль в этой области принадлежит А. П. Орехову и его школе.


Заключение


Среди алкалоидов мы находим и сильнейшие яды (стрихнин, бруцин, никотин), и полезные лекарства (пилокарпин – средство для лечения глаукомы, астропин – средство для расширения зрачка, хинин – препарат для лечения малярии, папаверин – сосудорасширяющее средство, помогающее при гипертонии). К алкалоидам относятся и широко применяемые возбуждающие вещества – кофеин, теобромин, теофиллин.

Интересно, что некоторые алкалоиды являются противоядиями по отношению к своим собратьям. Так, в 1952 г. из одного индийского растения был выделен алкалоид резерпин, который позволяет лечить не только людей отравившихся ЛСД или другими галлюциногенами, но и больных, страдающих шизофренией.

Таким образом, можно заключить, что алкалоиды – весьма обширный класс органических соединений, оказывающих самое различное действие на организм человека. В этом состоит их важная роль, которую играют алкалоиды в химической науке в целом и в повседневной жизни в частности.


Литература


  1. Быков Г.В., История органической химии. Открытие важнейших органических соединений. – М.: Наука, 1978 г.

  2. Пикулина Е.П., Исторический очерк развития органического синтеза в первой половине XIX в. – М.: Наука, 1977 г.

  3. Джуа М. – История химии. Под редакцией Погодина С.А. – М.: Мир, 1975 г.

  4. Гьельт Э., История органической химии с древнейших времён до настоящего времени. Перевод с немецкого под редакцией Луцкого А.Е. Харьков-Киев.-Гос. Науч.-техн. изд-во Украины, 1937 г.

  5. Азимов А. Краткая история химии. – М.: Мир, 1983 г.

  6. Шульпин Г.Б., Эта увлекательная химия. – М.: Химия, 1984 г.


1 Некоторые ученые относят в группу алкалоидов адреналин, содержащийся в надпочечных железах животных.

2 Тибумери, о котором почти ничего не известно историкам химии, был управляющий фабрикой химических продуктов, принадлежавшей Пеллетье. Варьируя способы осаждения морфина, Тибумери обрабатывал настой опия гашеной известью и, к своему удивлению, получил новое вещество, которому Пеллетье дал название «параморфин», а Кёрб, исследовавший это вещество-тебаин.


© 2012 Рефераты, курсовые и дипломные работы.