рефераты
Главная

Рефераты по рекламе

Рефераты по физике

Рефераты по философии

Рефераты по финансам

Рефераты по химии

Рефераты по хозяйственному праву

Рефераты по цифровым устройствам

Рефераты по экологическому праву

Рефераты по экономико-математическому моделированию

Рефераты по экономической географии

Рефераты по экономической теории

Рефераты по этике

Рефераты по юриспруденции

Рефераты по языковедению

Рефераты по юридическим наукам

Рефераты по истории

Рефераты по компьютерным наукам

Рефераты по медицинским наукам

Рефераты по финансовым наукам

Рефераты по управленческим наукам

Психология и педагогика

Промышленность производство

Биология и химия

Языкознание филология

Издательское дело и полиграфия

Рефераты по краеведению и этнографии

Рефераты по религии и мифологии

Рефераты по медицине

Рефераты по сексологии

Рефераты по информатике программированию

Краткое содержание произведений

Реферат: Алкалоиды рода Carex на Европейском северо-востоке России

Реферат: Алкалоиды рода Carex на Европейском северо-востоке России

Сыктывкарский Государственный Университет

Химико-биологический факультет

РЕФЕРАТ

по летней практике

“Алкалоиды рода Carex на Европейском северо-востоке России”

Работу выполнил

студент 240 группы …….

Сыктывкар 2001

План реферата:

Введение.

§1. Краткая характеристика алкалоидов (особенности структуры, история открытия).

§2. Распространение алкалоидов в растительном мире.

§3. Биосинтез и возможные функции в растениях.

§4. Методы выделения и установления структуры.

§5. Растения - продуценты алкалоидов (краткая ботаническая характеристика рода Carex. Биологические особенности. Распространение в природе).

§6. Данные о химическом составе. Использование в медицине.

Заключение. Актуализация темы.

Список используемой литературы.

Введение.

      Алкалоиды являются достаточно интересным классом органических соединений с точки зрения их структуры и физиологических действий, оказываемых на животный организм.

     Данная работа является большей частью обзорной. В реферате рассмотрим краткую характеристику алкалоидов, в частности отметим имеющуюся классификацию, затронем историю открытия некоторых представителей. В следующих параграфах речь пойдет о распространении алкалоидов в природе и их  локализации в растительном организме.         Также, кратко отметим о возможных функциях алкалоидов в растениях, опишем биосинтез некоторых гетероциклических оснований, а также пути их выделения и установления структуры.

     Следующий блок будет включать информацию непосредственно о продуцентах алкалоидов – растениях. Здесь бы хотелось заострить внимание на непосредственно интересующем роде Carex, отметив его краткую ботаническую характеристику.

Также, будет приведен химический состав и полезные свойства представителей рода Carex на интересующем нас географическом ландшафте.

      Дополнительно будет представлена информация по Carex Brevicollis DC.

(Осока парвская), интересной наличием алкалоидов (бревиколлин, бревикарин, гарман), однако произрастающей за пределами изучаемой нами ‘флоры’.

      Информация  для реферата была взята из монографии академика А.П.Орехова “Химия Алкалоидов”, “Биохимии растений” С.О.Гребинского, ‘Растительных ресурсов России и сопредельных государств’, и др., а также из источников глобальной информационной сети.

§1. Краткая характеристика алкалоидов (особенности структуры, история открытия).

     C древнейших времен человек использовал алкалоиды как лекарства, яды и колдовские зелья, однако структура многих из этих соединений была определена относительно недавно. Термин «алкалоид» («похожий на щелочь») был предложен в 1819 фармацевтом В.Мейснером. Первое современное определение (1910), данное Э.Винтерштейном и Г.Триром, описывает алкалоид в широком смысле как азотсодержащее вещество основного характера растительного или животного происхождения; при этом истинный алкалоид должен удовлетворять четырем условиям: 1) атом азота должен быть частью гетероциклической системы; 2) соединение должно иметь сложную молекулярную структуру; 3) оно должно проявлять значительную фармакологическую активность и 4) иметь растительное происхождение.

      К настоящему времени выделено свыше 10 000 алкалоидов разнообразных структурных типов, что превышает число известных соединений любого другого класса природных веществ. Неудивительно, что классическое определение Винтерштейна – Трира устарело: соединения, рассматриваемые большинством химиков и фармакологов как алкалоиды, не отвечают всем его требованиям. Например, колхицин и пиперин не имеют основного характера, в то же время колхицин и такие b-фенилэтиламины, как мескалин, не являются гетероциклами:

     Сложность структуры – слишком расплывчатое понятие, чтобы входить в определение: то, что сложно для одних химиков, кажется простым для других. Фармакологическая активность – неудачный критерий, поскольку многие вещества проявляют ее, если присутствуют в достаточных дозах. Если включить ее в определение, придется оговорить уровень доз. Многие вещества со структурой классических алкалоидов получены из материалов нерастительного происхождения – тканей животных, грибов (в том числе плесневых), бактерий. Так что новое определение понятия «алкалоид», с одной стороны, должно охватывать, возможно, большее число соединений, относимых к алкалоидам большинством исследователей, а с другой – исключать такие классы природных азотсодержащих соединений, как алифатические амины, аминокислоты, аминосахара, белки и пептиды, нуклеиновые кислоты, нуклеотиды, птерины, порфирины и витамины. Следующее определение, предложенное У.Пельтье, отвечает этим условиям и, поэтому получило широкое признание: алкалоид – это циклическое органическое соединение, содержащее азот в отрицательной степени окисления и имеющее ограниченное распространение среди живых организмов.

     Требование наличия циклического фрагмента в структуре молекулы исключает из списка алкалоидов простые низкомолекулярные производные аммония, а также циклические полиамины, такие, как путресцин H2N(CH2)4NH2, спермидин H2N(CH2)4NH(CH2)3NH2 и спермин H2N(CH2)3NH(CH2)4NH(CH2)3NH2. В то же время требование наличия азота в отрицательной степени окисления (с.о.) обусловливает включение в список алкалоидов аминов (с.о. –3), аминоксидов (–1), амидов (–3) и четвертичных аммониевых солей (–3), но исключает нитро- (+3) и нитрозо- (+1) соединения. При этом важно, чтобы соблюдалось условие ограниченной распространенности в живой природе, иначе почти все природные азотистые соединения пришлось бы причислить к алкалоидам. Определение алкалоидов, предложенное Пельтье, удобно в том отношении, что подтверждает отнесение к алкалоидам большинства тех соединений, которые, хотя традиционно считаются алкалоидами, должны были бы исключаться из их числа согласно классическому определению Винтерштейна – Трира. Это, например, колхицин, пиперин, b-фенилэтиламины, рицинин, генцианин, буфотоксин. Поскольку структурой соединения определяется его принадлежность к алкалоидам, антибиотики соответствующей структуры (например, циклосерин, глиотоксин, митомицин С, пенициллин, стрептомицин и стрептонигрин) тоже могут быть отнесены к алкалоидам.

     Две обычно используемые системы классифицируют алкалоиды по родам растений, в которых они встречаются, или на основании сходства молекулярной структуры. Классы алкалоидов, члены которых объединены по источнику выделения, – это алкалоиды аконита, аспидоспермы, хинного дерева, спорыньи, эфедры, ибоги, ипекакуаны, люпина, опийного мака, раувольфии, крестовника, картофеля, стрихноса (рвотного ореха) и иохимбе. Химическая классификация основана на особенностях молекулярного азотно-углеродного скелета, общих для членов данной группы алкалоидов. Главные структурные классы включают пиридиновые (никотин), пиперидиновые (лобелин), тропановые (гиосциамин), хинолиновые (хинин), изохинолиновые (морфин), индольные (псилоцибин, активное начало мексиканских галлюциногенных грибов, резерпин и стрихнин), имидазольные (пилокарпин), стероидные (томатидин из томатов), дитерпеноидные (аконитин), пуриновые (кофеин из чая и кофе, теофиллин из чая и теобромин из чая и какао) алкалоиды:

История открытия некоторых алкалоидов.

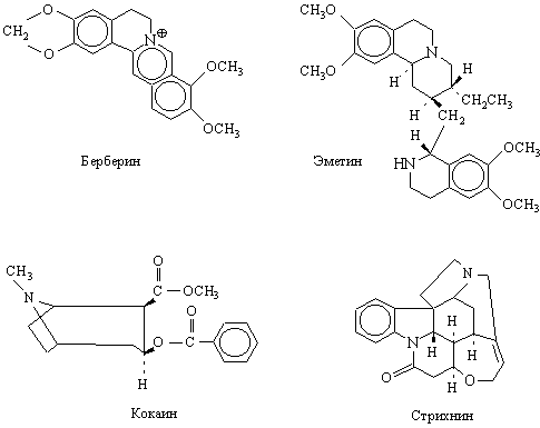
Начало химии алкалоидов обычно относят к 1803, когда Л.-Ш.Деронь выделил из опиума – высохшего на воздухе млечного сока снотворного (опийного) мака Papaver somniferum – смесь алкалоидов, которую он назвал наркотином. Затем в 1805 Ф.Сертюрнер сообщил о выделении морфина из опиума. Он приготовил несколько солей морфина и показал, что именно морфином обусловливается физиологическое действие опиума. Позднее (1810) Б.Гомес обработал спиртовый экстракт коры хинного дерева щелочью и получил кристаллический продукт, который назвал «цинхонино,». П.Пельтье и Ж.Кавенту на фармацевтическом факультете Сорбонны (1820) выделили из «цинхонино» два алкалоида, названные хинином и цинхонином. Позднее исследователи получили более двух десятков оснований из экстрактов коры хинного дерева и растений рода ремиджия (Remijia) сем. мареновых. Между 1820 и 1850 было выделено и описано большое число алкалоидов новых разнообразных типов. Среди них аконитин из растений рода аконит (Aconitum, борец) – одно из наиболее токсичных веществ растительного происхождения; атропин – оптически неактивная форма гиосциамина и мощное мидриатическое средство  (даже 4*10–6 г вызывают расширение зрачка); колхицин – алкалоид безвременника осеннего, применяемый при лечении подагры; кониин представляет особый исторический интерес, поскольку именно он стал орудием казни Сократа в 399 до н.э., когда великий философ был вынужден выпить чашу с настоем болиголова (Conium maculatum); кодеин – близкий к морфину алкалоид, являющийся ценным обезболивающим и противокашлевым средством; пиперин – алкалоид черного перца (Piper nigrum); берберин – алкалоид из корней барбариса обыкновенного (Berberis vulgaris); стрихнин – очень ядовитый алкалоид, содержащийся в семенах чилибухи (Strychnos nux-vomica) и используемый при некоторых сердечных болезнях и для истребления грызунов; эметин содержится в корне ипекакуаны (Cephaelis ipecacuanha, рвотный корень) – рвотное и противопротозойное средство, применяется для лечения амебной дизентерии; кокаин содержится в листьях тропических растений рода Erythroxylum, главным образом в коке (E. coca), используется в медицине как местноанестезирующее средство:

§2. Распространение алкалоидов в растительном мире.

    Согласно данным, берущим свои истоки из трудов академика А.П.Орехова (1955), алкалоиды находятся не во всех растениях и число последних невелико. Но из-за малого изучения растений в этой области можно ожидать определенных перемен в сторону увеличения числа видов алкалоидсодержащих растений. Распределение алкалоидов между ботаническими видами довольно неравномерно. Некоторые семейства богаты алкалоидоносными представителями, в других царит отсутствие таковых.

     Часто растения, стоящие близко одно к другому в системе ботанической классификации, заключают в себе ряд алкалоидов, весьма близких по своему строению и образующих естественную группу. Но известны случаи, когда из двух весьма близких между собой ботанических видов один богат алкалоидами, а другой или совершенно их не содержит, или же содержит алкалоиды другого строения. Раньше считалось, что определенные алкалоиды являются характерными и специфичными для определенных ботанических семейств или даже видов, и не встречаются ни в каких других растениях. Однако по мере рассмотрения этого вопроса выявился ряд случаев, когда один и тот же алкалоид был найден в растениях, стоящих очень далеко одно от другого в ботанической классификации и принадлежащих к совершенно разным свойствам. Поскольку число таких случаев довольно велико, их нельзя считать исключениями и не может идти речи о строгой ботанической специфичности алкалоидов.

     В растительном организме обычно распределение алкалоидов бывает довольно неравномерно. Локализация алкалоидов происходит преимущественно в определенных частях. Например, в видах Cincona алкалоиды находятся главным образом в коре, тогда как у аконитов главная их масса находится в клубнях. У ракитника алкалоиды сосредоточены главным образом в семенах, в кокаиновом кактусе в листьях.

Известны случаи, когда одни части растений очень богаты алкалоидами, тогда как в других частях того же растения они полностью отсутствуют или содержаться в гораздо меньшем количестве.

     Различные части одного и того же растения могут отличаться между собой также и качественными содержанием алкалоидов, т.е. в различных частях растений могут находиться разные алкалоиды. Например, корень мачка бахромчатого содержит исключительно хелеретрин и сангвинарин, тогда как в надземных его частях находятся только протопин, коридин и аллокриптопин. Поэтому при изучении новых растений необходимо исследовать отдельно различные их части. Кроме того, как процентное содержание, так и качественный состав алкалоидной смеси могут меняться в течение года в зависимости от стадий развития растений.

     Процентное содержание алкалоидов, заключающихся в каком-либо органе растения, обычно невелико. Известно, правда, несколько примеров – хинное дерево, барбарис, коридалис и др., когда содержание алкалоидов доходит до 10-15 %. Но такие случаи являются редкими исключениями, и растения, содержащие 1-2 % алкалоидов, считаются уже богатым сырьем. В ряде же случаев содержание алкалоидов измеряется десятыми, а иногда и сотыми долями процента. Процентное содержание алкалоидов подвержено сильным колебаниям, зависящим не только от изучаемой части растения, но и от времени года (периода вегетации) и условий произрастания: климата, почвы, удобрения, влажности и т.д. При этом за время вегетации оно может или непрерывно расти, или же сначала увеличиваться, а затем падать. Поэтому для тех алкалоидоносных растений, которые имеют производственное значение, нужно знать, в какой момент количество алкалоидов достигаем максимума, что может быть достигнуто путем изучения динамики их накопления и изменения их состава, чтобы установить таким образом оптимальный момент сбора.

     Для культивируемых видов алкалоидоносных растений путем селекции и  агромероприятий не только увеличить общее содержание алкалоидов, но и изменить их качественный состав в желательную для исследователя сторону.

Количественное и качественное содержание алкалоидов может сильно меняться от перенесения дикорастущего растения в иную обстановку. Иногда такое дикорастущее алкалоидоносное растение в культуре теряет свои алкалоиды или же их состав сильно меняется, что, конечно, объясняется только нецелесообразными условиями культуры, не соответствующими тем, к которым дикорастущее растение приспособилось в процессе эволюции.

     Один алкалоид растение содержит только в очень редких случаях, т.к. при детальном изучении не исключена возможность, что в нем будут найдены другие алкалоиды. В большинстве случаев в растении находится смесь нескольких алкалоидов, число которых может доходить до 15-20 и даже более.

     Обычно алкалоиды находятся в растении в виде солей различных органических или минеральных кислот. Особенно часто встречаются они в виде солей яблочной, лимонной, щавелевой, янтарной и дубильной кислот (таннин). Далее встречаются соли уксусной, пропионовой и молочной кислот. Из минеральных кислот встречаются серная, фосфорная, роданистоводородная. В некоторых растениях алкалоиды связаны с кислотой, являющейся характерной для данного растения, например аконитовой (в аконите), хинной (в хинной корке), меконовой (опий).

§3. Биосинтез и возможные функции в растениях. Фармакологическая активность.

     В основе биосинтеза алкалоидов лежит образование соответствующих гетероциклов. Исходными веществами для образования гетероциклов, содержащих азот, являются аминокислоты или продукты их декарбоксилирования - амины. Приведем конкретные схемы образования ряда гетероциклов на основании опытов по кормлению растений мечеными аминокислотами. Меченые атомы углерода обозначены звездочками.

Глутаминовая кислота и орнитин служат источниками образования пирролидина:

Орнитин, введенный в листья белены, включается в тропановое кольцо гиосциамина:

Никотиновая кислота и орнитин в листьях табака превращаются в никотин:

Из никотиновой кислоты у клещевины образуется рицинин, а сама никотиновая кисота возникает из аспаргиновой кислоты и глицеринового альдегида:

При кормлении мака Papaver somniforum мечеными фенилаланином и тирозином был получен морфин, содержащий изохинолиновое кольцо.

Лизин превращается в амин кадаверин, который является непосредственным предшественником анабазина, лупинина, спартеина и других алкалоидов:

Тирозин служит источником горденина; из фенилаланина образуется эфедрин.

Алкалоид из проростков ячменя грамин образуется из триптофана:

При синтезе стероидных алкалоидов атом азота внедряется в  кольцо при помощи реакции трансаминирования.

Большинство алкалоидов содержит  группу. Метильные группы у таких алкалоидов, как никотин, рицинин, гиосциамин, морфин и др., появляются в результате переноса их от метионина и аналогичных соединений. Источником метильных групп могут служить также муравьиная кислота, формальдегид, серин и гликолат.

Функции алкалоидов в растениях не вполне понятны. Возможно, алкалоиды – это побочные продукты обмена веществ (метаболизма) в растениях, или они служат резервом для синтеза белков, химической защитой от животных и насекомых, регуляторами физиологических процессов (роста, обмена веществ и размножения) или конечными продуктами детоксикации, обезвреживающей вещества, накопление которых могло бы повредить растению. Каждое из этих объяснений может быть справедливым в конкретных случаях, однако 85–90% растений вовсе не содержат алкалоидов.

Фармакологическая активность алкалоидов изменяется в широких пределах в зависимости от структуры. Среди них имеются обезболивающие средства и наркотики (морфин, кодеин); мощные стимуляторы центральной нервной системы (стрихнин, бруцин), мидриатические (т.е. расширяющие зрачок) средства (атропин, гиосциамин) и миотические (т.е. суживающие зрачок) средства (физостигмин, пилокарпин). Некоторые алкалоиды обнаруживают адренергическую активность, возбуждают симпатическую нервную систему, стимулируют сердечную деятельность и повышают кровяное давление (эфедрин, эпинефрин). Другие – снижают кровяное давление (резерпин, протовератрин А). Благодаря своей физиологической активности многие алкалоиды, будучи сильными ядами, находят применение в медицине.

§4. Методы выделения и установления структуры.

      Главной проблемой при выделении алкалоидов является отделение вещества от “балластного ” материала, составляющего главную массу растительного сырья. В случае с легколетучими алкалоидами, выделение производится путем отгонки с водяным паром, однако такие случаи редки. Так как обычно алкалоиды находятся в растении в виде различных кислот, то необходимо сначала освободить их путем смачивания измельченного растения раствором щелочи.

     Нередко для извлечения алкалоидов прибегают к экстракции при помощи подходящих растворителей. Подобные методики выделения делятся на две группы: экстракция в виде солей и экстракция в виде свободных оснований. В первом случае растительное сырье обрабатывается подходящим растворителем, к которому прибавляется небольшое количество какой-либо кислоты (уксусной, соляной, винной, лимонной и др.). Экстракция ведется обычно в конических экстракционных аппаратах (перколяторах), в которые загружается мелко размолотое сырье и заливается растворитель. После настаивания в течение нескольких часов раствор медленно выпускают через кран, имеющийся в нижней части перколятора, а сырье снова заливают свежим растворителем и продолжают так до полного извлечения, т.е. до того момента, когда в пробе жидкости, стекающей из перколятора, при помощи подходящих качественных реакций не удается больше открыть присутствие алкалоида. Еще более совершенной является непрерывная перколяция; при этом способе, по мере того как из крана перколятора медленно сливается раствор, в верхнюю его часть автоматически добавляется такое же количество свежего растворителя.     При наличии аппаратуры целесообразно использование экстракцию в нескольких перколяторах по принципу противотока: раствор,  вытекающий из первого перколятора, поступает на свежее сырье, находящееся в во втором перколяторе; из второго обогащенный раствор поступает на свежее сырье – в третьем перколяторе и т.д. Этим путем удается получить более концентрированные растворы алкалоида и обойтись с меньшим количеством растворителя. На производстве устанавливаются “экстракционные батареи”, состоящие из 5-10 перколяторов.

     Соли алкалоидов обычно растворимы в воде, спиртах (метиловом и этиловом) и нерастворимы в эфире и углеводородах. Поэтому при извлечении алкалоидов в виде солей в качестве растворителя обычно применяется вода или спирт. Хотя экстракция алкалоидов идет в большинстве случаев легко и быстро, однако этот способ имеет недостаток, что спирт, а особенно вода, извлекает из растений наряду с алкалоидами большое количество так называемых  “экстрактивных веществ” (белки, смолы, дубители, слизи и др.), присутствие которых часто сильно затрудняет обработку таких растворов.

Экстракция алкалоидов в виде свободных оснований.

     При этом методе необходимо предварительно выделить алкалоиды, находящиеся в растении в виде солей, что достигается обработкой щелочью. Иногда для этого слегка влажный порошок растительного сырья тщательно смешивают с сухим основанием (окись магния или известь), а затем подвергают экстракции. В других случаях растение смачивают и тщательно растирают с раствором щелочи (аммиак, сода, едкий натр) и затем подвергают экстракции в перколяторе. Так как свободные алкалоиды растворимы не только в воде и спирте, но и в большем числе органических растворителей, то выбор подходящего растворителя в этом случае гораздо богаче. Чаще всего для этой цели применяют бензол, дихлорэтан, реже пользуются эфиром, хлороформом, четыреххлористым углеводородом, петролейным эффиром и керосином.  Сама экстракция ведется путем перколирования совершенно так же, как в случае экстракции в кислой среде.

      Выбор подходящей щелочи является очень важным моментом, так как многие алкалоиды  очень чувствительны к действию сильных щелочей и могут при этом подвергаться нежелательным изменениям, также могут встретить случаи, когда алкалоид представляет собой настолько сильное основание, что для его выделения из солей недостаточно слабых оснований вроде аммиака.

Предварительная экстракция.

      Для разделения смеси алкалоидов от балластных веществ применяется способ предварительной очистки сырья. Для этого сырье сначала обрабатывают какой-либо слабой кислотой (или солью, имеющей слабокислую реакцию) и подвергают экстракции  бензолом или петролейным эфиром. Алкалоиды, будучи связаны в виде солей, в эти растворители не переходят, а растворитель извлекает только нейтральные или кислые экстрактивные вещества. После этой предварительной обработки растительный материал снова обрабатывают подходящей щелочью и вторично извлекают по тому же способу. Раствор алкалоидов при этом получается значительно более чистым, содержащим гораздо меньше посторонних веществ, и выделение из него чистых оснований значительно облегчается. Однако, вследствие громоздкости и большой затраты времени этот метод применяется только в исключительных случаях, там где приходится иметь дело с сырьем, особо богатым балластными веществами, или в случае очень чувствительных и легко изменяющихся алкалоидов.

      Экстракты, полученные тем или иным способом, содержат алкалоиды (и балластные вещества), или в виде солей, или уже в свободном виде. Сообразно с этим дальнейшая обработка их несколько отличается.

      Далее проводится обработка экстрактов. При этом для выделения алкалоидов из водных, кислых растворов их солей эти растворы подщелачиваются и алкалоиды отсасываются (если они труднорастворимы в воде и прямо выпадают в твердом виде) или же извлекаются подходящим растворителем (эфиром, хлороформом, бензолом, амиловым спиртом и др.), не смешивающимся с водой. Такую обработку часто проводят многократно.

     В случае спиртовых кислых растворов необходимо сначала удалить спирт, что делается путем отгонки на водяной бане; остающаяся после этого густая масса обрабатывается водой (или разбавленной кислотой), причем часть смолистых веществ остается нерастворенной и отделяется путем фильтрации. Эти смолы часто адсорбируют значительное количество алкалоидов, так что приходиться обрабатывать их несколько раз горячей водой (или разбавленной кислотой) до полного выделения из них алкалоидов.

     В последнее время для выделения алкалоидов из водных или кислых диффузионных

соков применяется более простой метод адсорбции.

     В качестве адсорбента обычно применяются угли и ионообменные адсорбенты: природные глины или искусственные смолы.

      Растворы свободных алкалоидов в не смешивающемся с водой растворителе, полученные путем щелочной экстракции растения, обычно значительно чище, чем водные и спиртовые экстракции, т.е. содержат меньше балластных веществ. Для получения из них алкалоидов эти растворы сначала взбалтываются с разбавленной кислотой (1-5 %), в которую переходят все алкалоиды. Последние, таким образом, сразу концентрируются в сравнительно небольшом объеме жидкости. Этот кислый раствор подвергается обычной очистке, подщелачивается и алкалоидная смесь или отсасывается или снова извлекается органическим растворителем.

Разделение алкалоидов.

     Разделение алкалоидов на основании различных температур кипения. Этот метод используется в случае, когда алкалоиды, находящиеся в смеси, сильно отличаются один от другого по своей температуре кипения. Таким образом, возможно разделить их путем дробной перегонки.

Методы, основанные на различии растворимости.

      Различие в растворимости алкалоидов и их солей в различных растворителях является основой наиболее часто применяемых методов их разделения и очистки.

     Уже при извлечении “суммы алкалоидов” из первичного кислого раствора, полученного при экстракции, можно, путем применения различных несмешивающихся органических растворителей, достигнуть частичного разделения смеси. Так, например, при взбалтывании подщелоченного раствором эфиром в последний переходит часть алкалоидов, тогда как часть остается в водном растворе и извлекается из него только применением другого растворителя, например хлороформа или бензола. Такое частичное разделение алкалоидной смеси на две или более группы, применялось например, в случае алкалоидов кактуса - Anhalonium . Это разделение, конечно, никогда не бывает полным и представляет собой только грубую первую фракционировку.

Разделение на основании различной “силы основности”.

     Метод основан на том, что различные алкалоиды обладают различной “силой основности”. Если к смеси таких алкалоидов прибавить количество кислоты, недостаточное для нейтрализации всей массы, то в первую очередь с кислотой свяжутся наиболее сильные основания, тогда как более слабые останутся свободными. Наоборот, если к раствору смеси алкалоидов в теоретическом количестве какой-либо кислоты прибавить количество щелочи, недостаточное для освобождения всей суммы алкалоидов, то в первую очередь разложатся соли наиболее слабых оснований, тогда как сильные останутся в связанном с кислотой виде. Разделение этим способом обычно бывает неполным, в особенности при сложных смесях, и в отдельных фракциях наблюдается обогащение одним из оснований. Для полного разделения и очистки этот метод комбинируют с другими способами, основанными на кристаллизации солей или свободных оснований.

     Разделение на основании различной адсорбционной способности (хроматография).

Метод хроматографии состоит в том, что через колонку, наполненную адсорбентом, пропускается испытуемый раствор, содержащий несколько алкалоидов. После того как раствор полностью проникает в слой адсорбента, колонку промывают органическим растворителем или смесью нескольких растворителей и собирают отдельные фракции вытекающей из колонки жидкости. Дальнейшая обычная обработка отдельных фракций позволяет выделять индивидуальные соединения.

Разделение путем получения производных.

      Он используется в случаях, когда алкалоиды, находящиеся в смеси, отличаются одни от других такими химическими особенностями, которые позволяют произвести их разделение путем получения каких-либо подходящих производных. Этот метод разделения основывается на том, что один из алкалоидов вступает в реакцию с каким-либо реактивом, тогда как другой остается неизменным. Свойства образовавшегося таким образом производного первого алкалоида (растворимость и пр.) часто сильно отличаются от свойств исходного вещества и позволяют провести разделение его обычным методом кристаллизации. Основным условием при этом является то, что алкалоид должен легко обратно получаться из полученного производного и не должен претерпевать при этом никаких существенных изменений.

Общие методы изучения структуры.

     При изучении структуры алкалоидов особо важную роль играют реакции размыкания гетероциклических колец, так как они позволяют перейти от сложных полициклических структур к более простым. Наряду с этими реакциями большое значение имеют также реакции, ведущие к установлению основного азотно-углеродистого “скелета” изучаемого алкалоида, т.е. той упрощенной структуры, которая остается после удаления боковых групп и цепей.

     Типичными примерами являются  реакции раскрытия кольца, в частности одной из важнейших является “гофманский распад” и его модификация  “распад по Эмде”. Это удается осуществить благодаря тому, что при нагревании четвертичных оснований, последние распадаются с образованием воды, третичного амина и ненасыщенного углеводорода.

     При изучении алкалоидов, являющихся третичным основаниями с метильной труппой при азоте, бывает важно перейти к соответствующему вторичному основанию, лишенному этой группы, т.е. надо провести диметилирование. Эта реакция осуществляется: действием бромциана; сухой перегонкой хлор- или иодгидрата с отщеплением хлорметана или иодметана; действием хлоргидритов на основание, дающее сначала хлорамин, восстанавливающийся до вторичного амина (метод Вильштеттера); окислением основания перманганатом, дающее соответствующую N-карбоновую кислоту, самопроизвольно теряющую CO2; действием азотной кислоты (при повышенной температуре) на третичное основание.

     Наиболее часто применяются разнообразные методы окисления и восстановления, имеющие своей целью либо видоизменение тех или иных групп молекул, или провести распад молекулы на более простые части.

     В качестве окислителей используют перманганат (в различных средах) и хромовую кислоту (в кислой среде). В качестве восстановителей применяют водород в момент выделения или же элементарный водород в присутствии металлических катализаторов.

§5. Растения - продуценты алкалоидов (краткая ботаническая характеристика. Биологические особенности – распространение в природе. Особенности культивирования).

CAREX L.-Осока.  сем. Осоковые Cyperaceae

Краткое описание.

     Осоки похожи на травы, и большинство их растут на болотистых местах и вдоль водоемов. С первого взгляда растения можно спутать со злаками, но есть одна особенность, которая позволяет "узнать их в лицо", - это трехгранный стебель, ребра которого могут быть острыми или закругленными. Большинство осок - многолетники с длинным или укороченным корневищем. Род Саrех охватывает множество видов, отличающихся друг от друга не только по облику и высоте, но и по экологическим требованиям. Среди них найдутся горные виды, арктические, а также низменные и болотные виды, растущие на мокрых кислых лугах, торфяниках, песчаниках. Одни образуют небольшие плотные подушки, другие — большие кустарники или зеленые ковры. Цветки однодомные или двудомные, состоящие из одного или двух колосков, которые могут быть двуполыми, мужскими или женскими. Плод — пушистая семянка.       Осоки декоративны в период цветения своими пыльниками, повисающими на тонких нитях.

     Род Carex - крупнейший род, включающий около 2000 видов. Представители Carex произрастают по всему земному шару – от высокой Арктики до самых южных пределов распространения покрытосеменных, встречаясь во всех климатических зонах, но наиболее характерен этот род для умеренных и холодных областей  северного полушария.

     На территории бывшего СССР встречается около 400 видов осок. 87 видов с подвидами произрастают на территории флоры северо-востока европейской части.

Самая многочисленная группа осок представлена здесь бореальными видами, из которых наибольшее распространение имеют C.aquatilis ssp.aquatilis, C.rostrata, C.vesicaria, C.globularis, C.caespitosa, C.diandra, C.cinerea. Небольшая часть осок является арктическими видами: C.aquatilis ssp.stans, C.bigelowii ssp.arctisibirica, C.rariflora, C.glacialis, C.rotundata, C.misandra, C.ursina.

     К арктоальпийской группе видов принадлежит C.atrata, C.rupestris, C.fuscidula, C.crause, C.ledebouriana, C.atrofusca, C.bicolor, C.tripartita. Неморальными элементами флоры являются C.digitata, C.ornithopoda, C.pediformis ssp.rhizodes, C.muricata, C.contigua. Эти виды приурочены, как правило, к карбонатным почвам и встречаются большей частью на возвышениях рельефа. На территории европейского северо-востока Росии лежат единичные местонахождения горно-степных (C.praecox, C.obtusata) видов.

     Большинство видов Carex  связано в своем распространении с различного типа болотами, луговыми ассоциациями (преимущественно гигрофильного характера), заболоченными тундрами, берегами водоемов. Некоторые осоки (C.recta, C.paleacea, C.salina, C.subspathacea, C.maritima, C.glareosa, C.mackenziei, C.ursina) обитают по морским побережьям на приморских лугах, песках, галечниках.

     Отдельные виды, ксерофильные, встречаются на сухих местообитаниях: щебенистых, каменистых и мелкозернистых склонах, песчаных местах, известняковых обнажениях (C.rupestris, C.obtusata, C.praecox, C.ornithopoda, C.pediformis ssp.pediformis, C.glacialis, C.fuscidula). Лесными видами являются C.digitata, C.pediformis ssp.rhizodes, C.macrouta.

Осокам принадлежит весьма существенная роль в сложении растительного покрова флоры территории европейского северо-востока Росии. В особенности это относится к видам, произрастающим обычно в массовом количестве и занимающим нередко большие пространства (C.aquatilis ssp.stans, C.aquatilis ssp.aquatilis, C.bigelowii ssp.arctisibiria, C.rotundata, C.rostrata, C.rhycchophysa, C.rariflora, C.globularis и др.).

Полезные свойства. Хим.состав. Применение.

     По данным об известном химическом составе, полезных свойствах и применении различных видов представителей рода Carex, произрастающих на интересующей нас территории составим таблицу.


Таблица №1.

Вид Хим.состав Полезные свойства

C.acuta L.

(C.gracilis Сurt.)

- О.острая.

Фитонциды Фитонциды обладают антибактериальными свойствами. В Беларуси входит в состав сбора для мытья головы при себорее. Пригодна как сырье для целлюлозно-бумажной промышленности. Как плетеночный материал. Кормовое для с/х животных. Декоративное.

C.acutiformis Ehrh.

- О.заостренная.

Листья: фенолкарбоновые кислоты и их производные: хлорогеновая. Флавоноиды: изоориентин, трицин, 5-глюкозид трицина.

C.cespitosa L.

- О.дернистая.

Входят в состав полюстровского торфа, используемого в практической медицине для стимуляции регенеративных процессов поврежденных тканей, нормализации обмена веществ, улучшения местного кровообращения, как аналгезирующее. Входят в состав полюстровского торфа, используемого в практической медицине для стимуляции регенеративных процессов поврежденных тканей, нормализации обмена веществ, улучшения местного кровообращения, как аналгезирующее. Мягчительное, при цинге, часотке.
C.dioica L.- О.двудомная.

Экстракт проявляет бактерицидную активность.

Подз.ч: Диуретическое, при ревматизме. Кормовое для с/х животных.

C.hirta L.- О.волосистая. Фитонциды

Фитонциды обладают антибактериальными свойствами.

Настой-отхаркивающее при заболеваниях верхних дыхательных путей, родовспомогательное, диуретическое; отвар – при ларингите, бронхите, женских болезнях, неврозах, мягчительное при цинге, часотке.

C.nigra (L.) Reichard- О.черная. Циклитолы:мезоинозит. Витамины группы B,PP,H. Листья: Флавоноиды: трицин. Хиноны: пластохинон.
C.praecox Schreb.- О.ранняя. Подз.ч. В Беларуси и Брянской обл. (отвар – внутри ванны)-при ревматизме и радикулите. Надз.ч. пригодна как плетеночный, набивочный, упаковочный материал, для изготовления веревок. Кормовое для с/х животных.
C.riparia Curt. – О.береговая. Листья. Фенолкарбоновые кислоты и их производные: хлорогеновая. Флавоноиды: изоориентин (гомоориентин, 6-С-глюкозид лютеолина), трицин 5-глюкозид трицина. В Сибири – при женских болезнях. Надз.ч. Пригодна как сырье для целлюлозно-бумажной промышленности, как плетеночный, набивочный, упаковочный материал. Перганос. Кормовое для КРС. Декоративное.

     Таким образом, осоки обладают рядом лечебных свойств, применяются в качестве сырья целлюлозно-бумажной промышленности, для  поделочных целей. Некоторые виды используются в качестве декоративных растений и для озеленения территорий. Осоки также находят применение в качестве корма для сельскохозяйственных животных.

Информация о культивировании осок автору не встречалась, однако тот факт, что различные виды рода Carex применяются в декоративных целях, свидетельствует о том, что на практике это применяется. Вероятно, эта процедура проводится по стандартным ботаническим приемам.

    Также приведем информацию об осоке парвской. Этот представитель достаточно изучен, но произрастает исключительно в южных регионах. Из этого вида осок был извлечен ряд алкалоидов и изготовляемые препараты на этой основе нашли применение в медицинской практике, в частности в акушерской.

Осока парвская, Carex Brevicollis DC.

     Многолетнее растение 30-45 см высоты, с укороченным густодернистым корневищем, семейства осоковых (Cyperaceae). Листья тонкокожистые, гладкие, 3-5 мм ширины. Соцветие состоит из 2-3 колосков, из которых один мужской – толстый,  ржавый, остальные женские. Плод – орешек. Растет в светлых лесах, кутсарниках Среднеднепровья, по склонам гор Западного и Южного Закавказья.

     Листья и корни растения содержат алкалоиды, причем содержание их в указанных органах растения неодинакого.

     По данным Г.В.Лазурьевского, И.В.Терентьевой и А.В.Боровкова , содержание бревиколлина в листьях достигает 95 % от всей суммы алкалоидов, в корнях – 50 %, содержатся также бревикарин, гарман и др.

Бревиколлин относится к производным индола. Это бескислородное основание состава C17H19N3. Второй алкалоид осоки парвской относится к производным карболина – бревикарин C17H21N3, близкий по своему строению к бревиколлину.

Фармакологические свойства алкалоидов осоки парвской.

     Впервые фармакологическое исследование алкалоида бревиколлина было проведено В.М.Черновым, показавшим, что гидрохлоргидрат бревиколлина стимулирует дыхание, понижает артериальное давление, снимает сосудистые спазмы, усиливает сокращения кишечника и матки, обладает ганглиоблокирующими свойствами. В дальнейшем исследования бревиколлина были продолжены А.И.Лесковым в лаборатории фармакологии ВИЛАР. Им подтверждены данные, полученные В.М.Черновым, выявлены ведущие фармакологические свойства алкалоида и дано обоснование возможности использования его в медицинской практике. Бревиколлин усиливает сократительную функцию мускулатуры матки, повышает ее тонус в дозах, которые еще не оказывают влияния на другие систамы и органы. С этой точки зрения можно считать действие бревиколлина на матку избирательным. Бревиколлин изучался в сравнении с пехикарпином и отчасти изоверином.

     Внутривенное введение алкалоида в дозе 0,35-1 мг/кг вызывает повышение тонуса матки у наркотизированных кошек и морских свинок с одновременным учащением и увеличением амплитуды ее сокращений. Пехикарпин и изоверин в таких дозах вызывают меньший эффект. По токсичности у мышей бревиколлин близок к пахикарпину.

     Повышение тонуса матки, усиление и учащение ее сокращений отмечены также у кошек при введении алкалоида в двенадцатиперстную кишку в дозе 1 мг/кг.

     Препарат обладает ганглиоблокирующими свойствами, которые, по-видимому, можно объяснить его гипотензивное действие.

Применение в медицине.

     Бревиколлин применяют в акушерской практике в качестве средства для ускорения родовой деятельности в случаях родовых потуг и раннем отхождении вод, а также при заболеваниях, когда целесообразно уменьшить возбудимость узлов вегетативного отдела нервной системы (облитерирующий эндартериит, перемежающаяся хромота, ганглиониты и др.).

Препарат бревиколлина гидрохлорид (Brevicollini hydrochloridum). Светло-кремовый с желтоватым оттенком кристаллический порошок. Растворим в воде, легко растворим в спирте. Как маточное средство бревиколлин назначают внутрь в виде 3 % раствора по 20-25 капель на прием 4-5 раз в день с интервалами 1 час. Для более быстрого эффекта назначают в мышцу по 1-2 мл 2 % раствора (0,02-0,04 г) 3-4 раза в день с интервалом 1 час между инъекциями. Как спазмолитическое при спазмах периферических сосудов и ганглиотитах бревиколлин назначают в 3 % растворе по 20-25 капель на прием 2 раза в день. При применении бревиколлина иногда могут возникнуть шум в ушах, чувство оглушения, исчезающие при уменьшении дозы. Не следует назначать внутрь при язвенной болезни желудка и острых гастритах в стадии обострения из-за местного раздражающего действия препарата. Его нельзя вводить под кожу.

Заключение.

     В реферате была рассмотрена характеристику алкалоидов: отмечена классификация,  история открытия некоторых представителей, отмечен вопрос о распространении алкалоидов в природе и их  локализации в растительном организме и о возможных функциях алкалоидов в растениях, был представлен биосинтез некоторых гетероциклических оснований на конкретных примерах, а также пути их выделения и установления структуры.

     Рассматривая вопрос о продуцентах алкалоидов, был рассмотрен предложенный род Carex, в представителях которого на территории Европейского северо-востока Росии ранее алкалоиды обнаружены не были. С этой целью была приведена информация об осоке парвской, интересной наличием алкалоидов (бревиколлин, бревикарин, гарман), однако произрастающей за пределами изучаемой нами ‘флоры’. Относительно этого представителя хотелось бы сказать пару слов.

       Наличие алкалоидов в осоке парвской, дает надежду того, что нам возможно удастся обнаружить таковые (даже в ничтожных количествах) и в представителях рода Carex, произрастающих на наших северных территориях. Если это удастся сделать, то возможно, изучив алкалоидоноскость как можно большего числа видов из различных популяций интересующей нас флоры, может обнаружить какую-нибудь (пусть даже абсурдную) закономерность встечаемости этих уникальных азотсодержащих оснований на примере рода Carex.

Список используемой литературы.

·     Орехов А.П. Химия алкалоидов.- М.:Издательство Академии Наук СССР, 1955.

·     Гребинский С.О. Биохимия растений.-Львов:Вища школа, 1975. 280 с.

·     Растительные ресурсы России и сопредельных государств: Цветковые растения, их химический состав, использование; Семейства Butomaceae-Typhaceae.-СПб.:Наука, 1994.-271 с.

·     Флора северо-востока европейской части СССР. т.II. Семейство Cyperaceae-Caryophyllaceae. Под ред. А.И.Толмачева.-Л.:Наука,Ленингр.отд., 1976. 316 с.

·     Турова А.Д. Лекарственные растения СССР и их применение. – М.:Медицина, 1974. – 424 с.


© 2012 Рефераты, курсовые и дипломные работы.