рефераты
Главная

Рефераты по рекламе

Рефераты по физике

Рефераты по философии

Рефераты по финансам

Рефераты по химии

Рефераты по хозяйственному праву

Рефераты по цифровым устройствам

Рефераты по экологическому праву

Рефераты по экономико-математическому моделированию

Рефераты по экономической географии

Рефераты по экономической теории

Рефераты по этике

Рефераты по юриспруденции

Рефераты по языковедению

Рефераты по юридическим наукам

Рефераты по истории

Рефераты по компьютерным наукам

Рефераты по медицинским наукам

Рефераты по финансовым наукам

Рефераты по управленческим наукам

Психология и педагогика

Промышленность производство

Биология и химия

Языкознание филология

Издательское дело и полиграфия

Рефераты по краеведению и этнографии

Рефераты по религии и мифологии

Рефераты по медицине

Рефераты по сексологии

Рефераты по информатике программированию

Краткое содержание произведений

Реферат: Биоактивные производные хитозана

Реферат: Биоактивные производные хитозана

САНКТ-ПЕТЕРБУРГСКИЙ ГОСУДАРСТВЕННЫЙ ТЕХНОЛОГИЧЕСКИЙ УНИВЕРСИТЕТ РАСТИТЕЛЬНЫХ

ПОЛИМЕРОВ

ОТЧЕТ ПО ИНЖЕНЕРНОЙ ПРАКТИКЕ

Биоактивные производные хитозана

ПРОВЕРИЛ: С.Н.С., K.Х.H.

ЛЮДМИЛА АЛЕКСАНДРОВНА НУДЬГА

Институт высокомолекулярных соединений Российской академии наук

ВЫПОЛНИЛ: СТ. ГР. 156

ЕКИМОВ АЛЕКСАНДР ВЛАДИМИРОВИЧ

САНКТ-ПЕТЕРБУРГ 2004


1 Вступление

1.1 Хитозан – природный полимер XXI века

Уникальные свойства хитина и хитозана привлекают внимание большого числа специалистов самых разных специальностей. Роль полимеров в нашей жизни является общепризнанной, и все области их применения в быту, промышленном производстве, науке, медицине, культуре трудно даже просто перечислить. Если до XX века человеком использовались полимеры природного происхождения – крахмал, целлюлоза (дерево, хлопок, лен), природные полиамиды (шелк), природные полимерные смолы на основе изопрена – каучук, гуттаперча, то развитие химии органического синтеза в XX веке привело к появлению в различных областях деятельности человека огромного разнообразия полимеров синтетического происхождения – пластмасс, синтетических волокон и т.п. Происшедший технологический прорыв не только кардинально изменил нашу жизнь, но и породил массу проблем, связанных с охраной здоровья человека и защитой окружающей среды.

Поэтому закономерным является большой интерес науки и промышленности к поиску и использованию полимеров природного происхождения, таких как хитин и хитозан. Эти полимеры обладают рядом интереснейших свойств, высокой биологической активностью и совместимостью с тканями человека, животных и растений, не загрязняют окружающую среду, поскольку полностью разрушаются ферментами микроорганизмов, могут широко применяться в проведении природоохранных мероприятий.

В настоящее время известно более 70 направлений использования хитина и хитозана в различных отраслях промышленности, наиболее важными из которых во всем мире признаны:

медицина – в качестве средства борьбы с ожирением, связывания и выведения из организма холестерина, профилактики и лечения сердечно-сосудистых заболеваний, производства хирургических нитей, искусственной кожи, лекарственных форм антисклеротического, антикоагулянтного и антиартрозного действия, диагностики и лечения злокачественных опухолей и язвы желудка;

пищевая промышленность – в качестве загустителя и структурообразователя для продуктов диетического питания.

1.2 История создания и применения хитозана

Полимеры этой группы заинтересовали ученых-химиков почти 200 лет назад. Хитин был открыт в 1811 году (H. Braconnot, A. Odier), а хитозан в 1859 году (С. Rouget), хотя свое нынешнее название получил в 1894 году (F. Hoppe-Seyler). В первой половине XX века к хитину и его производным был проявлен заслуженный интерес, в частности, к нему имели отношение три Нобелевских лауреата: Е. Fischer (1903) cинтезировал глюкозамин, P. Karrer (1929) провел деградацию хитина с помощью хитиназ и, наконец, W.N. Haworth (1939) установил абсолютную конфигурацию глюкозамина.

Биологически активные свойства хитина и его производного – хитозана - начали изучаться в 1940-50 годах. В Советском Союзе эти исследования проводились учреждениями Министерства обороны и имели закрытый характер. Последнее было связано со способностью хитозана эффективно связывать радиоактивные изотопы и тяжелые металлы, поэтому хитозан исследовался прежде всего как эффективный радиопротектор и детоксикант, а также исследовались возможности применения его для дезактивации объектов, подвергавшихся радиоактивному заражению.

Новый всплеск интереса к производным хитина и, в частности, хитозану произошел в 70-е годы, когда результаты исследований этих соединений начали появляться в открытой печати. Проведенные во всем мире исследования показали уникальные сорбционные свойства хитозана. Обнаружилось отсутствие выраженной субстратной специфичности этого вещества, что означает примерно одинаковую способность связывать как гидрофильные, так и гидрофобные соединения. Кроме того, у хитозана были обнаружены ионообменные, хелатообразующие и комплексообразующие свойства. В дальнейших исследованиях была показана антибактериальная, антивирусная и иммуностимулирующая активность. Комплексные формы хитозана также проявляют высокие антиоксидантные свойства, что нашло свое применение в лечении заболеваний желудочно-кишечного тракта, в лечении механической и ожоговой травмы.

О большом интересе к проблемам изучения этих биополимеров, технологии их получения и использования свидетельствуют восемь международных конференций по хитину и хитозану, проведенных за последние 27 лет: США (1977), Япония (1982), Италия (1985), Норвегия (1988), США (1991), Польша (1994), Франция (1997)

         В России за прошедшие годы хитину и хитозану были посвящены  семь  конференций: Владивосток (1983), Мурманск (1987), Москва (1991, 1995, 1999 и 2001), Санкт-Петербург 2003, из которых две последних имели статус международных. Весной 2000 года было создано Российское Хитиновое Общество, объединившее более 50 региональных отделений.

Все это говорит о нарастающем интересе к хитину и хитозану не только химиков, но и специалистов самого разного профиля – медиков, биологов, микробиологов и биотехнологов.

1.3 Химическое строение и свойства хитина и хитозана

Хитин является главным компонентом панцирей ракообразных и насекомых. По химической структуре он относится к полисахаридам, мономером хитина является N-ацетил-1,4-β-D-глюкопиранозамин (рис. 1).

 

Рис. 1 Химическая структура хитина.

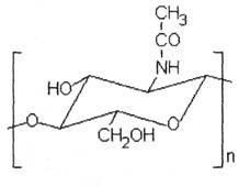
При деацетилировании хитина получается хитозан. По химической структуре хитозан является сополимером D-глюкозамина и N-ацетил-D-глюкозамина. В зависимости от эффективности реакции деацетилирования получаются хитозаны с различной  степенью деацетилирования . Степень деацетилирования показывает процентное содержание D-глюкозамина в молекуле хитозана, т.е. если речь идет о хитозане со степенью деацетилирования 85%, то это означает, что в молекуле хитозана в среднем содержится 85% D- глюкозаминовых остатков и 15% N-ацетил-D-глюкозаминовых остатков.

 

Рис.2 Химическая структура хитозана.

         Химические свойства хитозана связаны с его химической структурой. Большое количество свободных аминогрупп в молекуле хитозана определяет его свойство связывать ионы водорода и приобретать избыточный положительный заряд, поэтому хитозан является прекрасным катионитом. Кроме того, свободные аминогруппы определяют хелатообразующие и комплексообразующие свойства хитозана. Химическая структура хитозана показана на рис.2. Сказанное объясняет способность хитозана связывать и прочно удерживать ионы металлов (в частности радиоактивных изотопов и токсичных элементов) за счет разнообразных химических и электростатических взаимодействий.

Большое количество водородных связей, которые способен образовать хитозан, определяют его способность связывать большое количество органических водорастворимых веществ, в том числе бактериальные токсины и токсины, образующиеся в толстом кишечнике в процессе пищеварения.

         С другой стороны, обилие водородных связей между молекулами хитозана приводит к его плохой растворимости в воде, поскольку связи между молекулами хитозана более прочные, чем между молекулами хитозана и молекулами воды. Вместе с тем, хитозан набухает и растворяется в органических кислотах – уксусной, лимонной, щавелевой, янтарной, причем при набухании он способен прочно удерживать в своей структуре растворитель, а также растворенные и взвешенные в нем вещества    Хитозан также способен связывать предельные углеводороды, жиры и жирорастворимые соединения за счет гидрофобных взаимодействий и сетчатой структуры, что сближает его по сорбционным механизмам с циклодекстринами.

Расщепление хитина и хитозана до N-ацетил-D-глюкозамина и D-глюкозамина происходит под действием микробных ферментов – хитиназ и хитобиаз, поэтому они полностью биологически разрушаемы и не загрязняют окружающую среду.

Таким образом, хитозан является универсальным сорбентом, способным связывать огромный спектр веществ органической и неорганической природы, что определяет широчайшие возможности его применения в жизни человека.

Несмотря на огромную литературу о связи сорбционных свойств хитозана с его химической структурой, нельзя сказать, что исследования в области химии хитина/хитозана близки к завершению. Постоянно открываемые новые свойства этого вещества, в частности, обнаруженная биологическая активность еще не получила должного объяснения с точки зрения химической структуры. Имеющиеся данные, что характер биологической активности хитозана зависит от его молекулярного веса и степени деацетилирования, нуждаются в дальнейшей проверке и изучении. Этот обзор является тем более актуальным, что выяснение связи химического строения и биологической активности позволит создавать вещества, сохраняющие известные свойства хитозана и обладающие новыми полезными качествами.

2. Биоактивные производные хитозана

2.1 Противобактериальное действие четвертичных аммониевых солей хитозана

         Производные соединения хитозана, такие как N,N,N-триметил хитозан, N-N-пропил-N,N-диметил хитозан и N-фурфурил-N,N-диметил хитозан были получены при использовании в качестве исходного продукта  хитозана со степенью деацетилирования 96%  и следующими молекулярными массами - 2,14·105; 1,9·104; 7,8·103 . Аминогруппы хитозана реагируют с альдегидами, образуя  промежуточное соединение  - основание Шиффа. Четвертичные соли хитозана были получены при реакции основания Шиффа с йодистым метилом. На степень превращения в четвертичное соединение и водорастворимость получившегося производного влияла молекулярная масса исходного образца хитозана. [1]

Хотя хитина в природе много, он имеет ограниченное применение из-за его недостаточной растворимости и реакционной способности. Хитозан растворим уксусной кислоте и других органических растворителях. [2] Хитозан обладает некоторым бактерицидным и фунгицидным действием.  Однако хитозан показывает свою биологическую активность только в кислой среде, так как он плохо растворяется при pH выше 6,5. Таким образом, водорастворимые производные хитозана, которые растворяются в кислоте, могут иметь хорошие шансы быть внедренными в медицинскую практику как антибактериальные средства.

Четвертичные аммониевые соли хитозана были исследованы на предмет увеличения растворимости. Опубликована информация о синтезе N-диметилхитозана и получении N-триметилхитозана йодида с формальдегидом и боргидридом натрия. Триметилхитозан  йодид аммония был также получен реакцией низкоацетилированного хитозана с йодистым метилом и гидроксидом натрия при контролируемых условиях. N-алкил хитозан был приготовлен введением алкильной группы в аминные группы хитозана (Mv 7,25·105) через основание Шиффа. Для получения четвертичной аммониевой соли хитозана, которая растворяется в воде, была проведена реакция производных N-алкил хитозана с йодистым метилом (рис. 3). Антибактериальное действие данного производного хитозана усиливалось с увеличением  длины цепи алкильного заместителя.

Рис.3  Синтез  N-триметилхитозана йодида

         Было исследовано влияние молекулярной массы на антибактериальную и фунгицидную активность. При выявлении противобактериального действия четвертичного производного хитозана против Escherichia coli определяли минимальную ингибирующую концентрацию (МИК) и минимальную бактерицидную концентрацию (МБК) в воде, 0,25% и 0,5%  среде уксусной кислоты. Результаты показывают, что антибактериальная активность против Escherichia coli связана с молекулярной массой. Антибактериальная активность четвертичных аммониевых солей хитозана в среде уксусной кислоты более выражена, чем в воде. Их противобактериальное действие тем более выраженное, чем выше концентрация уксусной кислоты. Так же было найдено – бактерицидное действие производного сильнее, чем хитозана. [1]

          Хитозан с молекулярной массой в пределах от10000 до 100000 может быть полезен для ограничения роста бактерий. Хитозан кальмара с молекулярной массой 220000 проявляет наибольшую противобактериальную активность. Хитозан  со средней молекулярной массой 9300 эффективен для ограничения роста Escherichia coli, в то время как хитозан с молекулярной массой 2200 ускорял рост численности бактерий. [1]

         В отечественной литературе есть информация о синтезе четвертичных аммониевых соединений хитозана с применением органических оснований, и исследования, посвященные свойствам полученных соединений Для синтеза применялись перегнанные сухие метил- и этилиодид. Иодистоводородную кислоту, образующуюся во время реакции, связывали органическими основаниями: пиридином, 2,4-лутидином, 2,4,6-коллидином и триэтиламином. Полученное соединение выделяли из реакционной смеси фильтрованием, отмывали метанолом, сушили.

         Было установлено, что рКа хитозана 6.30. Был сделан вывод, что повышение степени N-алкилирования будет наблюдаться при использовании оснований с рКа > 6.30. Опыты показали, что наиболее глубоко реакция идет в присутствии триэтиламина, рКа которого гораздо выше, чем у хитозана. Установлено, что N-триметил- и N-триэтилхитозаны являются полиэлектролитами и их основность увеличивается с ростом степени замещения. [4]

2.2 Лечение ран с применением N-карбоксибутил хитозана

У больных, перенесших восстановительную хирургию, донорские участки лечились мягкими прокладками N-карбоксибутилхитозана. При сравнении с контрольными донорскими участками была обнаружена лучшая васкуляризация и отсутствие воспалительных клеток на кожном уровне. Применение N-карбоксибутилхитозана приводило к формированию регулярно организованной кожной ткани и уменьшало аномальное заживление. [2]

         Одно из преимуществ N-карбоксибутил хитозана при заживлении ран - обеспечение гелеподобного слоя при контакте с раневыми жидкостями. Данный слой обеспечивает превосходную защиту недавно сформированных тканей от механических повреждений. Внешняя поверхность прокладки принимала вид корки и обеспечивала защиту против вторичных инфекций ввиду бактерицидности полимера. В течение периода заживления форма раны сохранялась, хотя её размер уменьшался быстро и без осложнений, в противоположность контрольным группам. В контрольных группах форма раны была вскоре потеряна после традиционного лечения. [2]

         В ранних стадиях восстановления ткани N-карбоксибутил хитозан способствует формированию свободной соединительной ткани, а не  больших и плотных волоконных связок, облегчая тем самым диффузию. Соединительная ткань регулярно и надлежащим образом структурирована, без значительных рубцов и обладает хорошей функциональностью т.е. прочностью при растяжении. При образовании эпителия трехмерная решетка является очень важной составляющей. N-карбоксибутил обеспечивает такую решетку и возможно модулирует образование эпителия.

         Таким образом N-карбоксибутил хитозан может классифицироваться как новый тип биологически активных перевязочных средств.

3. Библиография

1.   Zhichen Jia, Dondfeng shen, Weiliang Xu// Synthesis and antibacterial activities of quaternary ammonium salt of chitosan// Carbohydrate research 2001, p. 1-6.

2.   Graziella Biagini, Aldo Bertani e.t.c.// Wound managment with N-carboxybutil chitosan// Biomaterials 1991, Vol. 12, April, p. 281-285.

3.   Hioshi Sashiwa, Norioki Kawasaki e.t.c.// Chemical modifications of chitosan. Part 15 // Carbohydrate research 2003.

4.   Л. А. Нудьга, Е. А. Плиско, С. Н. Данилов // N-алкилирование хитозана// Журнал общей химии 1973, том XLIII, с. 2756-2760.

5. Internet

Содержание

1 Вступление.. 2

1.1 Хитозан – природный полимер XXI века.. 2

1.2 История создания и применения хитозана.. 3

1.3 Химическое строение и свойства хитина и хитозана.. 4

2. Биоактивные производные хитозана.. 7

2.1 Противобактериальное действие четвертичных аммониевых солей хитозана.. 7

2.2 Лечение ран с применением N-карбоксибутил хитозана.. 10

3. Библиография.. 11


© 2012 Рефераты, курсовые и дипломные работы.