рефераты
Главная

Рефераты по рекламе

Рефераты по физике

Рефераты по философии

Рефераты по финансам

Рефераты по химии

Рефераты по хозяйственному праву

Рефераты по цифровым устройствам

Рефераты по экологическому праву

Рефераты по экономико-математическому моделированию

Рефераты по экономической географии

Рефераты по экономической теории

Рефераты по этике

Рефераты по юриспруденции

Рефераты по языковедению

Рефераты по юридическим наукам

Рефераты по истории

Рефераты по компьютерным наукам

Рефераты по медицинским наукам

Рефераты по финансовым наукам

Рефераты по управленческим наукам

Психология и педагогика

Промышленность производство

Биология и химия

Языкознание филология

Издательское дело и полиграфия

Рефераты по краеведению и этнографии

Рефераты по религии и мифологии

Рефераты по медицине

Рефераты по сексологии

Рефераты по информатике программированию

Краткое содержание произведений

Реферат: Изоморфизм уравнений диссипативных свойств растворов электролитов

Реферат: Изоморфизм уравнений диссипативных свойств растворов электролитов

Асеев Д.Г.

Аннотация

Показана принципиальная возможность объединения таких диссипативных свойств, как электропроводность, вязкость и диффузия растворов электролитов.

На основе этого равенства теоретически получены значения диффузии D, и вязкости  растворов электролитов (LiCl, NaCl, KCl) исходя из значений электропроводности, до концентраций насыщенных растворов.

Введение.

Растворы электролитов, в значительной мере определяющие уровень современной химической технологии, продолжают оставаться предметом многочисленных исследований с применением всего арсенала теоретических и экспериментальных методов. Благодаря требованиям практики изучению растворов всегда уделялось и уделяется большое внимание, так как большинство химических реакций, используемых в химической, фармацевтической, пищевой, металлургической и других отраслях промышленности, проходит в растворах.

Все биологические процессы в растительных или животных организмах, в том числе и в организме человека, совершаются в растворах. Это же относится и к процессам, происходящим в почве. Поэтому прогресс таких наук, как биология, медицина, почвоведение и т. д., тесно связан с развитием учения о растворах.

Оптимизация существующих технологий и создание новых требуют в каждом случае сведений о механизмах элементарных процессов, их проявлений в макроскопических неравновесных условиях и т.д.

Огромный экспериментальный материал по свойствам растворов электролитов, накопленный к настоящему времени, нуждается в теоретических обобщениях, удовлетворяющих в той или иной степени, реальным взаимодействиям на микроскопическом уровне.

При этом значительные усилия затрачиваются на исследование индивидуальных характеристик ионов в растворах и их кинетических свойств, называемых иногда транспортными или диссипативными. К последним относят электропроводность, диффузию, вязкость и теплопроводность растворов электролитов.

По очевидным причинам, кинетические свойства определяются преимущественно энергией многочастотных взаимодействий ионов в диэлектрической среде. А это предполагает однозначно привлечение индивидуальных характеристик, как сольватные числа, массы сольватированных ионов, энергии межмолекулярных взаимодействий растворителя, коэффициентов активности, размеров сольватированных ионов. По ряду позиций, экспериментальное определение невозможно в принципе (условие электронейтральности), вероятны лишь теоретические оценки, либо полуэмпирические обработки экспериментального материала на основе ряда правдоподобных, но произвольных по существу, допущений.

Что касается вязкости и диффузии растворов электролитов, то соотношения Эйнштейна, Стокса и Фика дают соответствие с экспериментом лишь в области малых концентраций. Причина – отсутствие приемлемой аппроксимации подвижности ионов и их линейных размеров в условиях сольватации.

Фактический экспериментальный и теоретический материал преимущественно относится к водным разбавленным растворам электролитов. При этом отсутствуют систематические сведения в концентрированных растворах. Наличие широкого спектра методов исследований предопределяет существенную неопределенность при использовании для реальных задач литературных сведений.

Приведенный, далеко не полный перечень сложностей теории растворов электролитов, представляет собой сугубо качественный аспект проблемы системы зарядов в диэлектрических средах.

В последнее время для водных растворов электролитов показана перспективность использования плазмоподобного состояния ионов в растворах, для оценок индивидуальных характеристик от нулевых концентраций до насыщенных водных растворов в удовлетворительном соответствии с экспериментом. Это было достигнуто за счет применения формального аппарата плазмы в более строгом смысле, чем в электростатической теории Дебая – Хюккеля, где понятие плазмы лишь введено в теорию, но нераскрыто по существу.

Принципиальная возможность использования плазменной концепции состояния растворов электролитов отмечена в работах М.М. Балданова [М.М. Балданов. Изв. Вузов. Серия хим. и хим. технология. 1986, т.29, вып. 8, с.38-44 (“Приближение ионной плазмы в теории растворов электролитов”); М.М. Балданов, М.В. Мохосоев. ДАН СССР. 1985, т.284, вып.6, с. 1384-1387 (“Состояние ионов в растворах электролитов в приближении ионной плазмы”)]

Основная задача данной работы заключается в определении концентрационных зависимостей диффузии и вязкости растворов электролитов исходя из данных электропроводности полученных экспериментально или теоретически, и сравнении результатов с табличными данными, при постоянной температуре.

Причина подобного подхода к определению диффузии и вязкости кроется в погрешностях экспериментальных определений, например, коэффициент диффузии дается в справочной литературе с погрешность достигающей 15%, вязкость определяется с погрешностью до 5%, а электропроводность определяют довольно с большой точностью, порядка 0,05 – 0,08%.

Объектами исследования было решено выбрать водные растворы хлоридов щелочных металлов: LiCl, NaCl, KCl, поскольку они наиболее изучены и данные по электропроводности, диффузии и вязкости этих растворов наиболее доступны.

Справедливость теоретических моделей и их параметров подтверждаются результатами расчетов. Во всех случаях наблюдается удовлетворительное соответствие оценочных величин с экспериментальными данными в более широком диапазоне изменения концентрации, чем в соответствующих теориях. При этом соблюдается концептуальное единство для всех диссипативных процессов, позволяющее оценивать вязкость и коэффициент диффузии без экспериментальных методов по данным эквивалентной электропроводности, исключая возможность введения тех или иных подгоночных параметров, что имеет теоретический интерес и практическое значение.

2. Современное представление электропроводности растворов

В работах [1 - 6] предложена теоретическая модель многочастотных взаимодействий ионов в растворах электролитов и выведено уравнение электропроводности.

(1)

Которое получается из двух эквивалентных представлений потока и . Прировняв по j и выразив  получим .

Здесь (2)- скорость ионов (fM – максвелловское распределение по скоростям [7]),

(3)- напряженность внешнего электрического поля,

- параметр экранирования учитывающий колебательный характер,

причем - дибаевский радиус экранирования. Соответствует параметру затухания в гидродинамике.

Было показано [7], что уравнение (1) справедливо для водных растворов в широком диапазоне концентраций сильных и слабых кислот и оснований, а также солей от 0 до 10 моль/л.

Из выражения (1) видно, что молярная электропроводность раствора зависит от значений диэлектрической проницаемости  , энергии межмолекулярных взаимодействий растворителя в жидкой фазе  Н, приведенной массы сольватированных ионов электролита  s, степени диссоциации  , потенциальной энергии ионов в растворах G, определяемых следующими соотношениями:

, (4)

, (5)

, (6)

, (7)

(8)

где F – число Фарадея; е – заряд электрона; СV=5R/2 – теплоемкость; k – постоянная Больцмана; Т – температура, К; , - массы сольватированных ионов, г; М – молекулярная масса растворителя, г; ns – сольватное число иона; - эффективный радиус молекулы растворителя, см; ri и zi – радиус (см) и заряд иона; rs и rd – радиус сольватированного иона и дебаевский радиус экранирования; р – дипольный момент молекулы растворителя, ед.СГС; КД – константа диссоциации электролита; - постоянная Планка; NA – число Авогадро;  - приведенная масса молекулы электролита, г; сi – молярная концентрация ионов (сi= c0); с0 – исходная молярная концентрация электролита.

3. Изоморфизм уравнений

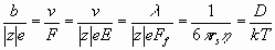
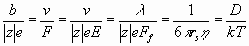
При рассмотрении движения в поле вязких сил удобно ввести понятие подвижности b. Подвижность определяется как предельная скорость, приобретаемая телом под действием силы, равной единице, т. е.

Таким образом, абсолютная подвижность в системе CGS равна скорости в сантиметрах в секунду, приобретаемой под действием силы в 1 дин. При рассмотрении движения ионов в качестве единицы силы обычно пользуются равным единице градиентом потенциала, действующим на ионный заряд.

Эквивалентная ионная электропроводность  , связана простым соотношением с подвижностью. Из определения удельной электропроводности следует, что  представляет собой ток, текущий через проводник с равным единице поперечным сечением под действием градиента потенциала, равного единице. Полный ионный заряд в единице объема равен Fc, если с измеряется в эквивалентах на единицу объема. Этот заряд, движущийся со скоростью b’, вызывает ток  :

(9)

или

(10)

Следовательно, для абсолютной подвижности имеем

(11)

Для макроскопической частицы, движущейся в идеальной гидродинамической среде, можно вычислить сопротивление трения. Оно выражается через размеры частицы и вязкость среды. Для сферической частицы Стоксом [8] выведена формула

(12)

где r - радиус сферы. Если ион движется по закону Стокса, его радиус определяется соотношением

(13)

Если b выражено через предельную эквивалентную электропроводность согласно уравнению (11), то получаем

(14)

Выразив r в , а  и  в обычных единицах, придем к соотношению

(14а)

Движение малых ионов не подчиняется закону Стокса, так как не выполняются необходимые предпосылки. Подвижность связана с коэффициентом диффузии D соотношением

(15)

где k—постоянная Больцмана. Это ведет к так называемой формуле Эйнштейна — Стокса:

(16)

Формула Эйнштейна — Стокса справедлива при тех же предположениях, что и уравнение (14).

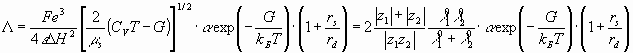
Связав рассмотренные выше уравнения, через подвижность при условии ее неизменности, получим

(17)

Сугубо качественно, для произвольного электролита КА в диэлектрической среде имеет место:

(18)

Причем, k1 и k2 – константы скоростей, и - сольватированые катион и анион. Очевидно, что при смещении равновесия (18) влево плотность зарядов (равно как и плотность числа частиц) падает, вязкость уменьшается, диффузия увеличивается, электропроводность растет. При смещении равновесия вправо имеет место обратные эффекты. Другими словами, динамика равновесия (18) характеризуется столкновительными инвариантами кинетической теории газов, определяемыми относительными скоростями V смещения ионов в (18) и напряженности внешнего поля E, см. уравнения (2, 3).

Выражение (2) представляется несколькими вариантами

(19)

(20)

Представление скорости (19) отвечает направленному движению зарядов при наличии внешнего поля. Это соответствует явлениям вязкости и электропроводности.

Если же внешнее поле отсутствует (Е = 0), следует уравнение (20) соответствующее диффузии.

Таким образом, для двух возможных значений скоростей по выражениям (19), (20) из уравнения b=V/eE следует:

(21)

(22)

Из взаимосвязи (17) выражая коэффициент диффузии и вязкость, через электропроводность, можно теоретически определить эти неточно экспериментально определяемые характеристики раствора.

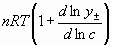
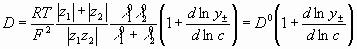
Взаимосвязь диффузии с электропроводностью была проведена Нернстом и Хартли:

. (23)

Где - средний молярный коэффициент активности.

Предельное значение D при бесконечном разбавлении, когда , определяется формулой

(24)

было получено Нернстом.

Проверка проводилась, используя эквивалентную электропроводность хлоридов LiCl, NaCl, KCl.

В уравнениях (17) неизвестной величиной является rs – приведенный радиус молекулы АВ, который можно найти, используя уравнение

(25)

теоретически радиусы иона и сольватированного иона можно оценить по формулам [1-6]:

, (26) где

, (27) где

(28)

rs – радиус сольватированного иона,

ns – число молекул растворителя окружающих ион,

ri – радиус иона,

Zэ – экранированный заряд ядра,

Z – заряд иона,

I – энергия ионизации,

R0 – радиус молекулы растворителя,

р – дипольный момент молекулы растворителя,

 - диэлектрическая проницаемость среды,

Мs – молекулярная масса растворителя.

Zэ – экранированный заряд ядра находится используя константы экранирования Слейтера  определяемые по стандартным правилам приводимым в различных учебниках по теоретической основе неорганической химии, в частности [9].

Таблица 1

Радиусы ионов, сольватные числа и радиусы сольватированных ионов рассчитанные по уравнениям 26 – 28

Ион I, эв

ns

Li+ 75,62 2,7 0,5446 7,3873 4,4246
Na+ 47,29 6,55 1,0004 3,2301 3,3583
K+ 31,81 7,75 1,3785 1,8682 2,7980
Cl- 3,82 4,875 1,8100 1,0090 2,2786

Таблица 2

Приведенные радиусы молекул рассчитанные по формуле 25

Молекула

LiCl 1,5040
NaCl 1,3575
KCl 1,2559

Выражая из уравнения (17) вязкость и коэффициент диффузии через электропроводность (Т = 298К), получим отдельно для каждого i-го иона:

(29)

(30)

Переходя к вязкости и диффузии, как свойствам раствора, необходимо учитывать взаимную корреляцию движения ионов противоположного знака, поэтому вязкости и коэффициенты диффузии отдельных ионов одной молекулы, объединяем в приведенное значение.

Например, для 1-1 электролита

(31)

(32)

Соответственно при бесконечном разбавлении

(33)

(34)

Неренст и Хартли для определения коэффициента диффузии одного единственного электролита предложили уравнение (23)

(35)

где D0 – предельное значение коэффициента диффузии по Нернсту (33)

Сравнивая теоретические уравнения электропроводности (1) и диффузии по Неренсту – Хартли (35), учтя в последнем максвеловское распределение по скоростям и параметр экранирования, можно показать, что

(36, 37)

Электропроводности экспериментально найденные, и рассчитанные по уравнениям (36, 37), приведены в таб. 4.3 – 4.5.

Из полученных данных можно сделать вывод, что электропроводность найденная по уравнению (36) хорошо согласуется с экспериментально найденной в случаях хлоридов натрия и калия, хуже для хлорида лития, но электропроводность рассчитанная по уравнению (37) для хлорида лития практически совпадает с данными полученными по уравнению (36), в остальных случаях уравнение (37) дает небольшое расхождение с опытом.

Роль среднего значения кинетической энергии ионов в уравнении (1), которая, согласно теореме вариала, равна по модулю среднему значению полной энергии, играет функция , причем - есть максвелловское распределение по скоростям.

В уравнении (35) выражение равно , а это есть –полная энергия молекулы при данной концентрации.

Роль распределения для коэффициента диффузии играет функция , которую, если учесть  при средне молярном коэффициенте активности, можно представить в виде .

Применив поправку , окончательно получим

(38)

С другой стороны, учитывая уравнение (37) получим:

(39)

Здесь  - электропроводность экспериментальная, либо рассчитанная по уравнениям (36, 37). Нернст и Хартли получили уравнение (39) без учета вероятностного распределения, поэтому должно быть

или

(40)

Используя уравнение Стокса – Эйнштейна (16)

выразим вязкость, через коэффициент диффузии найденный по уравнению (38) получим

(41)

или по (40)

(41а)

Так же вязкость можно определить через подвижность найденную по уравнению (21)

(42)

Используя значения эквивалентных электропроводностей (рис. 4.1), данные таблицы 2, уравнений 30, 35, 38, 40 и уравнений 29, 41, 41а, 42, где вместо  i также табличное значение электропроводностей, были подсчитаны значения вязкости и коэффициента диффузии выбранных солей см. таб. 4 – 12.

В концентрационных зависимостях Dлит дана с относительной погрешностью  10%,  лит с относительной погрешностью 5%.

Таблица 4

Результаты оценок электропроводностей, функции от среднемолярного коэффициента активности, степени диссоциации, параметр экранирования и функции распределения для раствора LiCl

C mol/l

 лит

[13, 10]

(36)

(37)

f
0,0000 115,03 115,0272 102,6938 0,0000 1,0000 1,0000 1,0000
0,0010 111,89 111,7256 99,9015 -0,0201 0,9727 1,0111 0,9892
0,0030 110,54 110,2571 98,7011 -0,0321 0,9610 1,0192 0,9813
0,0050 109,35 108,9754 97,6305 -0,0391 0,9506 1,0247 0,9759
0,0100 107,45 106,9120 95,9211 -0,0496 0,9341 1,0350 0,9661
0,0500 99,92 98,6459 89,0524 -0,0663 0,8686 1,0782 0,9259
0,1000 95,86 93,9805 85,2381 -0,0579 0,8333 1,1107 0,8968
0,5000 82,21 77,5348 71,7584 0,0600 0,7147 1,2474 0,7838
0,6000 80,00 74,8439 69,5160 0,0873 0,6955 1,2710 0,7658
1,0000 73,26 66,5405 62,5579 0,2015 0,6369 1,3499 0,7086
1,2300 69,50 62,1439 58,7745 0,2776 0,6042 1,3881 0,6824
2,0000 60,69 51,7162 49,7563 0,6206 0,5276 1,4949 0,6143
2,5140 55,20 45,6671 44,3722 0,9317 0,4799 1,5548 0,5791
3,0000 50,00 40,2781 39,4739 1,2812 0,4347 1,6061 0,5506
3,5000 45,00 35,3091 34,8919 1,6871 0,3912 1,6546 0,5249
5,1000 31,90 23,1378 23,4169 3,1493 0,2773 1,7902 0,4593
7,7500 16,78 10,8205 11,3334 5,0527 0,1459 1,9741 0,3832
10,4200 7,14 4,1320 4,4640 4,3115 0,0621 2,1295 0,3289
14,0823 - 5,1179 2,3131 0,2745

Таблица 5

Результаты оценок коэффициента диффузии раствора LiCl

C mol/l

Dтеор

(30)

Dтеор

(35)

Dтеор

(38)

Dтеор

(40)

Dлит

[10]

Dлит

[11]

0,0000 1,3226 1,1808 1,1808 1,3226 1,1802
0,0010 1,2865 1,1570 1,1386 1,2733 1,1621
0,0030 1,2710 1,1429 1,1208 1,2521 1,1500
0,0050 1,2573 1,1346 1,1075 1,2362 1,1431
0,0100 1,2354 1,1222 1,0886 1,2134 1,1336
0,0500 1,1489 1,1025 1,0422 1,1545 1,1146
0,1000 1,1022 1,1124 1,0402 1,1468 1,1059
0,2000 1,1475 1,0973
0,3000 1,1838 1,0886
0,4500 1,2352 1,0886
0,5000 0,9452 1,2516 1,0978 1,1861 1,0973
0,6000 0,9198 1,2839 1,1071 1,1920 1,1016
0,7000 1,3161 1,1059
1,0000 0,8423 1,4187 1,1454 1,2183 1,1232
2,0000 0,6978 1,9135 1,2362 1,2849 1,1750
3,0000 0,5749 2,6936 1,2834 1,3095 1,2355
3,5000 0,5174 3,1728 1,2687 1,2839 1,2649
5,1000 0,3668 4,8993 1,0982 1,0851
7,7500 0,1929 7,1468 0,5907 0,5639
10,4200 0,0821 6,2716 0,1978 0,1831
14,0823 0,0000 -4,8622 0,0000 0,0000

Таблица 6

Результаты оценок вязкости раствора LiCl

C mol/l

 теор

(29)

 теор

(41)

 теор

(41а)

 теор

(42)

 лит

[10]

 лит

[12]

эксп

0,0000 0,9433 1,0619 0,9481 1,0177 0,8937 0,9125
0,0010 0,9697 1,1013 0,9848 1,0191 0,8586
0,0050 0,9923 1,1322 1,0143 1,0211 0,9228
0,0100 1,0098 1,1518 1,0334 1,0227 0,9024
0,0500 1,0859 1,2031 1,0861 1,0308
0,1000 1,1319 1,2055 1,0933 1,0380 0,9613
0,1250 1,0412 0,9044 0,9663
0,2500 1,0552 0,9221 0,9928
0,5000 1,3199 1,1422 1,0571 1,0790 0,9534 1,0156 1,0337
0,6000 1,3563 1,1326 1,0519 1,0877
1,0000 1,4811 1,0947 1,0292 1,1204 1,0212 1,0628 1,0986
1,2300 1,5612 1,0844 1,0256 1,1381
2,0000 1,7879 1,0143 0,9759 1,1942 1,2208
2,5140 1,9657 0,9835 0,9557 1,2301 1,1504
3,0000 2,1701 0,9770 0,9575 1,2632
3,5000 2,4112 0,9883 0,9766 1,2969
5,1000 3,4014 1,1418 1,1556 1,4030
7,7500 6,4663 2,1229 2,2235 1,5781
10,4200 15,1968 6,3379 6,8471 1,7584
14,0823 2,0172

Таблица 7

Результаты оценок электропроводностей, функции от среднемолярного коэффициента активности, степени диссоциации, параметр экранирования и функции распределения для раствора NaCl

C mol/l

 лит

[13, 10]

(36)

(37)

f
0,0000 126,45 126,4452 126,4559 0,0000 1,0000 1,0000 1,0000
0,0010 123,74 123,8839 124,1052 -0,0160 0,9786 1,0100 0,9930
0,0030 121,93 122,1710 122,5421 -0,0264 0,9643 1,0173 0,9879
0,0050 120,64 120,9423 121,4142 -0,0329 0,9541 1,0223 0,9844
0,0100 118,53 118,9344 119,5879 -0,0435 0,9374 1,0316 0,9780
0,0500 111,06 111,7609 113,1362 -0,0731 0,8783 1,0706 0,9515
0,0700 109,62 110,3868 111,9977 -0,0784 0,8669 1,0836 0,9428
0,1000 106,74 107,5453 109,4273 -0,0825 0,8441 1,0999 0,9320
0,2000 101,71 102,5226 105,0841 -0,0829 0,8043 1,1412 0,9053
0,5000 93,62 94,0614 97,8557 -0,0551 0,7404 1,2233 0,8544
1,0000 85,76 85,3416 90,3338 0,0092 0,6782 1,3158 0,8005
1,5000 79,86 78,5873 84,3315 0,0894 0,6316 1,3868 0,7614
2,0000 74,71 72,6592 78,8992 0,1885 0,5908 1,4467 0,7300
3,0000 65,57 62,2472 68,9945 0,4430 0,5185 1,5470 0,6801
4,0000 57,23 53,0225 59,8362 0,7554 0,4526 1,6317 0,6408
5,0000 49,46 44,7258 51,3076 1,0944 0,3911 1,7062 0,6080
5,5203 1,2691 1,7421 0,5928

Таблица 8

Результаты оценок коэффициента диффузии раствора NaCl

C mol/l

Dтеор

(30)

Dтеор

(35)

Dтеор

(38)

Dтеор

(40)

Dлит

[10]

Dлит

[11]

0,0000 1,4539 1,3912 1,3912 1,4539 1,3910
0,0010 1,4227 1,3690 1,3535 1,4103 1,3694 1,3738
0,0030 1,4019 1,3546 1,3300 1,3830 1,3565 1,3565
0,0050 1,3871 1,3455 1,3144 1,3649 1,3478 1,3478
0,0100 1,3628 1,3307 1,2904 1,3367 1,3349 1,3392
0,0500 1,2769 1,2895 1,2242 1,2559 1,3020 1,3046
0,0700 1,2604 1,2821 1,2181 1,2460 1,3046 1,3046
0,1000 1,2273 1,2764 1,2017 1,2250 1,2813
0,2000 1,1694 1,2760 1,1920 1,2057
0,2200 1,2775 1,2787
0,5000 1,0764 1,3146 1,2086 1,2085
0,5700 1,3259 1,2701 1,2701
1,0000 0,9861 1,4040 1,2493 1,2395 1,2822 1,2787
1,5000 0,9182 1,5157 1,2874 1,2741
2,0000 0,8590 1,6536 1,3216 1,3078 1,3098
3,0000 0,7539 2,0075 1,3724 1,3631 1,3522
4,0000 0,6580 2,4422 1,3787 1,3781 1,3772
5,0000 0,5687 2,9138 1,3259 1,3358 1,3738
5,5203 3,1569

Таблица 9

Результаты оценок вязкости раствора NaCl

C mol/l

 теор

(29)

 теор

(41)

 теор

(41а)

 теор

(42)

 лит

[10]

 лит

[12]

эксп

0,0000 0,9507 0,9985 0,9555 1,0320 0,8937 0,9545
0,0010 0,9715 1,0264 0,9850 1,0307 0,9544 0,882
0,0030 0,9859 1,0445 1,0045 1,0299
0,0050 0,9965 1,0569 1,0178 1,0293
0,0100 1,0142 1,0766 1,0393 1,0284 0,896
0,0500 1,0824 1,1348 1,1062 1,0254
0,0700 1,0966 1,1405 1,1149 1,0248
0,1000 1,1262 1,1561 1,1340 1,0242 0,9020 0,9583 0,9467
0,1250 1,0239 0,9053 0,9598
0,2000 1,1819 1,1655 1,1522 1,0237 0,9653
0,2200 1,0238
0,2500 1,0240 0,9154 0,9636
0,5000 1,2841 1,1494 1,1496 1,0271 0,9361 0,9717 1,0031
0,8860 1,0345 0,9815 0,9831
1,0000 1,4018 1,1120 1,1208 1,0370 1,063
1,5000 1,5053 1,0791 1,0904 1,0486 1,0276 0,9984
1,8300 1,0568 1,0760 1,0051
2,0000 1,6091 1,0512 1,0622 1,0610 1,0773 1,0091 1,12
3,0000 1,8334 1,0122 1,0191 1,0870
4,0000 2,1006 1,0077 1,0081 1,1138
5,0000 2,4306 1,0477 1,0400 1,1411
5,5203 1,1555

Таблица 10

Результаты оценок электропроводностей, функции от среднемолярного коэффициента активности, степени диссоциации, параметр экранирования и функции распределения для раствора KCl

C mol/l

 лит

[13, 10]

(36)

(37)

f
0,0000 149,89 149,8840 149,7958 0,0000 1,0000 1,0000 1,0000
0,0010 145,90 146,0854 146,2624 -0,0164 0,9734 1,0092 0,9939
0,0030 144,92 145,2336 145,6019 -0,0271 0,9668 1,0160 0,9895
0,0050 143,61 144,0036 144,5005 -0,0338 0,9581 1,0207 0,9865
0,0100 140,80 141,3354 142,0616 -0,0450 0,9394 1,0292 0,9809
0,0500 134,41 135,3996 137,0724 -0,0779 0,8967 1,0653 0,9579
0,1000 130,01 131,2067 133,5506 -0,0915 0,8674 1,0924 0,9409
0,5000 117,25 118,4013 123,3921 -0,0968 0,7822 1,2066 0,8727
0,7000 113,60 114,4728 120,2643 -0,0880 0,7579 1,2445 0,8512
1,0000 111,07 111,4574 118,3158 -0,0693 0,7410 1,2922 0,8249
1,5000 107,20 106,6835 114,9154 -0,0253 0,7152 1,3579 0,7900
2,0000 104,12 102,6718 112,0035 0,0311 0,6946 1,4132 0,7617
2,2220 102,70 100,8436 110,5826 0,0584 0,6852 1,4356 0,7505
3,0000 100,70 97,3787 108,5911 0,1519 0,6718 1,5061 0,7164
3,5000 0,1979 1,5466 0,6976
3,9000 0,2187 1,5770 0,6837
5,0000 0,1568 1,6534 0,6502
6,0000 -0,1237 1,7157 0,6240
7,0000 -0,7022 1,7731 0,6009

Таблица 11

Результаты оценок коэффициента диффузии раствора KCl

C mol/l

Dтеор

(30)

Dтеор

(35)

Dтеор

(38)

Dтеор

(40)

Dлит

[10]

0,0000 1,7234 1,7223 1,7223 1,7234 1,7220
0,0010 1,6775 1,6941 1,6650 1,6608 1,6969
0,0030 1,6662 1,6757 1,6476 1,6398 1,6805
0,0050 1,6512 1,6641 1,6297 1,6196 1,6710
0,0100 1,6189 1,6449 1,5948 1,5806 1,6563
0,0500 1,5454 1,5881 1,5304 1,5006 1,6105
0,1000 1,4948 1,5648 1,5025 1,4626 1,5932
0,2000 1,5498 1,5880
0,3000 1,5477 1,5880
0,5000 1,3481 1,5556 1,5025 1,4277 1,5984
0,7000 1,3062 1,5708 1,5161 1,4321 1,6122
1,0000 1,2771 1,6030 1,5645 1,4687 1,6347
1,1800 1,6273 1,6502
1,5000 1,2326 1,6788 1,6424 1,5321 1,6788
2,0000 1,1972 1,7759 1,7273 1,6058 1,7280
3,0000 1,1578 1,9840 1,9206 1,7810 1,8248
3,5000 2,0632 1,8662
3,9000 2,0990 1,8973
5,0000 1,9923
6,0000 1,5092
7,0000 0,5129

Таблица 12

Результаты оценок вязкости раствора KCl

C mol/l

 теор

(29)

 теор

(41)

 теор

(41а)

 теор

(42)

 лит

[10]

 лит

[12]

эксп

0,0000 0,8669 0,8718 0,8713 1,0536 0,8937 0,9714
0,0010 0,8906 0,9019 0,9041 1,0523 0,9706 0,982
0,0030 0,8966 0,9114 0,9157 1,0513
0,0050 0,9048 0,9214 0,9272 1,0507 0,9698
0,0100 0,9229 0,9416 0,9500 1,0496 0,986
0,0500 0,9667 0,9812 1,0007 1,0459
0,1000 0,9995 0,9994 1,0267 1,0440 0,991
0,2000 1,0425 0,9682
0,3000 1,0422
0,5000 1,1082 0,9994 1,0517 1,0433 1,005
0,6900 1,0454 0,8950 0,9753
0,7000 1,1438 0,9904 1,0485 1,0456
1,0000 1,1699 0,9598 1,0224 1,0499 1,012
1,4300 1,0574 0,9000 0,9882
2,0000 1,2480 0,8693 0,9351 1,0685 1,03
2,2220 1,2652 0,8523 0,9177 1,0730 0,9150 1,0013
3,0000 1,2904 0,7819 0,8431 1,0895 0,9350 1,0157 1,04
3,9000 1,1095 1,0292
5,0000 1,1348
6,0000 1,1584
7,0000 1,1825

Таким образом, плазменное приближение при исследовании водных растворов электролитов и составляющих их частиц, основанное на структурном единстве статистической механики для микро- и макроскопических объектов, открывает определенные перспективы для решения ряда проблем систем зарядов.

Прежде всего, это удовлетворительная аппроксимация проблемы диффузии и вязкости растворов электролитов различной концентрации и при различных температурах.

Выводы:

Показана принципиальная возможность объединения таких диссипативных свойств, как электропроводность, вязкость и диффузия.

Предложена новая теоретическая модель расчетов коэффициентов диффузии растворов электролитов, базирующаяся на применении известного уравнения Нернста – Хартли экспериментальных (или теоретических) данных по электропроводности и применении множителя , учитывающего колебательный характер равновесия “диссоциация – рекомбинация ионов” и силу сопротивления среды осциллирующими ионами.

Способ не требует введения подгоночных параметров и позволяет оценивать D от нулевых разбавлений до концентрированных растворов электролитов.

Используя уравнение Стокса – Эйнштейна показана возможность приближенного определения вязкости растворов электролитов используя найденные значения диффузии в большой области концентраций электролитов без подгоночных параметров.

Также рассмотрен известный способ теоретической оценки вязкости водных растворов электролитов, основанный на новой интерпретации подвижности.

Список литературы

Балданов М. М., Мохосоев М. В. //Докл. АН СССР. 1985. Т. 284. №6. с. 1384.

Балданов М. М. //Изв. Вузов. Химия и хим. технология. 1986. Т. 29. №8. с. 38.

Балданов М. М., Танганов Б. Б., Мохосоев М. В. Электропроводность водных растворов слабых кислот //Докл. АН СССР. 1988, Т. 299, №4, с. 899-904.

Балданов М. М., Танганов Б. Б., Мохосоев М. В. Электропроводность растворов и кинетическое уравнение Больцмана //Журн. Физ. Химии. 1990, Т. 64, №1, с. 88-94.

Балданов М. М., Танганов Б. Б. Проверка теории электропроводности на метанольных растворах электролитов //Журн. Физ. Химии. 1992, Т. 66, с. 1263-1271.

Балданов М. М., Танганов Б. Б., Мохосоев М. В. Метод расчета электропроводности спиртовых растворов электролитов //Журн. Физ. Химии. 1992, Т. 64, с. 1263-1271.

Балданов М. М., Танганов Б. Б. Применение уравнения электропроводности для оценки констант диссоциации электролитов и количественного определения бинарных электролитов //Региональная конференция “Аналитика Сибири и Дальнего Востока – 93”. Тезисы докладов. – Томск, 1993. – с. 19.

Stokes G. G. //Trans. Camb. phil. Soc., 1845, V. 3, p. 287.

К.Б. Яцимерский, В.К. Яцимерский, “Химическая связь”. Киев: Изд. Вища школа, 1975, с. 70.

Справочник химика. Т. III. М. – Л.: Химия. 1965, с. 672, 719.

Дзюба С.А., Попов В.И., Моралев В.И., Цветков Ю.Д. Определение коэффициентов диффузии парамагнитных частиц на основе концентрационной зависимости формы спектров ЭПР //Журн. физ. химии. 1987, Т. 51, №8, с. 2188-2193.

Краткий справочник физико – химических величин. Изд. 8-е, перераб./Под ред. А. А. Равделя и А. М. Пономаревой. – Л.: Химия, 1983. – 232 с.

Лобо В. М. М. //Электрохимия, 1991, Т.27, с.613.

Для подготовки данной работы были использованы материалы с сайта http://www.sciteclibrary.ru/


© 2012 Рефераты, курсовые и дипломные работы.