рефераты
Главная

Рефераты по рекламе

Рефераты по физике

Рефераты по философии

Рефераты по финансам

Рефераты по химии

Рефераты по хозяйственному праву

Рефераты по цифровым устройствам

Рефераты по экологическому праву

Рефераты по экономико-математическому моделированию

Рефераты по экономической географии

Рефераты по экономической теории

Рефераты по этике

Рефераты по юриспруденции

Рефераты по языковедению

Рефераты по юридическим наукам

Рефераты по истории

Рефераты по компьютерным наукам

Рефераты по медицинским наукам

Рефераты по финансовым наукам

Рефераты по управленческим наукам

Психология и педагогика

Промышленность производство

Биология и химия

Языкознание филология

Издательское дело и полиграфия

Рефераты по краеведению и этнографии

Рефераты по религии и мифологии

Рефераты по медицине

Рефераты по сексологии

Рефераты по информатике программированию

Краткое содержание произведений

Реферат: Полипропилен

Реферат: Полипропилен

Пропилен

Получение

Пропилен наряду с этиленом и бутиленом относится к числу важнейших видов сырья современной нефтехимической про­мышленности.

Разнообразие синтезов на основе пропилена является причи­ной быстрого увеличения объема производства этого продукта. Это наглядно иллюстрируется приведенными ниже данными (табл. 1) по планируемому производству пропилена в США , стране с самой мощной нефтехимической промышленностью.

Значительное расширение производства пропилена намечается и в других промышленно развитых странах.

Источником сырья для промышленного производства пропиле­на могут служить продукты переработки нефти, а также природ­ные углеводородные газы.

Пропилен получают различными методами: а) разделением газов нефтепереработки, содержащих олефины; б) пиролизом эта­на и пропана, содержащихся в газах нефтепереработки; в) пиролизом этана и высших алканов, выделенных из природного газа; г) пиролизом жидких углеводородов.

Таблица 1 Планируемое производство мономеров в США (в тыс. т)

Год
Мономер 1955 1960 1975
Пропилен 707 925 1614
Бутилен 988 1121 2129
Этилен 1608 2356 4711

Под газами нефтепереработки подразумеваются газы первич­ной перегонки нефти, крекинга и риформинга. Их состав зависит от технологических параметров указанных процессов. При нефте-перегонке образуется 25—30% от общего количества газов нефте­переработки. Ниже приведен примерный состав газов (в мол.%), образующихся при переработке нефти на современном нефтепере­рабатывающем заводе [2]:

Инертные газы 4,1
Водород 6,1
Метан 39,1
Этилен 7,3
Пропилен 8,9
Этан 17,5
Пропан 9,4
Бутаны 2,6
Пентаны 1,4
Сероводород 3,0
Двуокись углерода 0,6

Пиролиз углеводородов природного газа или жидких углево­дородных фракций, выделенных из нефти, протекает при темпера­турах свыше 700° С.

В ходе технологического процесса пиролиза в основном осуществляются следующие реакции: а) дегидрогенизация, характе­ризующаяся разрывом химической связи С—Н; б) деструкция, характеризующаяся  разрывом связи С—С; в) реакции изомериза­ции; г) реакции типа синтезов — полимеризация, циклизация, ре­акции конденсации и т. п.

Процессы дегидрогенизации и деструкции являются эндотер­мическими первичными, а все остальные — экзотермическими вто­ричными реакциями.

При высоких температурах сначала разрывается химическая связь С—С, имеющая меньшую энергию связи (62,8 ккал/моль), чем связь С—Н. Энергия связи С—Н снижается при переходе от первичного к третичному атому углерода: энергия связи атома во­дорода с первичным атомом углерода составляет 87,0, со вторич­ным — 85,5 и с третичным — 83,0 ккал/моль .

В зависимости от способа подвода тепла в реакционную зо­ну различают следующие методы пиролиза углеводородов для по­лучения пропилена: а) в трубчатых печах с наружным огневым обогревом; б) с применением в качестве теплоносителя перегре­того водяного пара и дымовых газов; в) в регенеративных печах с неподвижной насадкой; г) в регенеративных печах с движущимся теплоносителем; д) окислительный пиролиз (так называемый ав­тотермический процесс, не требующий подвода тепла извне).

Наиболее распространенным методом получения пропилена является пиролиз нефтяного сырья в трубчатых печах. Это объяс­няется небольшими капитальными затратами на строительство трубчатых пиролизных установок и сравнительной простотой об­служивания.

Для получения пропилена высокой степени чистоты, необхо­димой для химической переработки, производят разделение пиролизного газа на отдельные компоненты.

Таблица 2

Состав газа, полученного пиролизом бензина  (Средний молекулярный вес газа 25,6.)

Компоненты

 Объемн. %

Выход на сырье, вес. %
Водород 14,2 0,7
Метан 23,8 9,6
Этилен 34,9 24,6

Этан

Пропилен

Пропан

4,2

13,9

0.8

3,1

14,8

3,9

Бутадиен 3,1 4,2
Бутилен 5,0 6,9
Бутан 0,1 0,2
Итого 100,0 65,0

Выделение и очистка

Разделение газов пиролиза целесообразно осуществлять при повышенном давлении. Перед разделением газ сжимают компрес­сорами в четыре-пять ступеней и очищают в щелочных промывных аппаратах от кислых примесей. Затем из газа удаляют соедине­ния ацетилена (путем селективного гидрирования на специальном катализаторе или промывкой диметилформамидом) и подвергают его осушке с помощью различных адсорбентов.

Предварительно очищенный от вредных примесей газ разде­ляют на фракцию С3, содержащую углеводороды с двумя угле­родными атомами (этан+этилен), фракцию С3 (пропан+пропилен), фракцию C4 и т. д.

В промышленности для выделения пропилена из пиролизного газа чаще всего применяется метод ректификации, являющийся в технико-экономическом отношении наиболее выгодным.

Анализ

Для производства полипропилена требуется пропилен высокой степени чистоты. Содержание таких примесей, как ацетиленовые и сернистые соединения, кислород, окись и двуокись углерода, не должно превышать сотых и тысячных долей процента.

Удовлетворительным считается пропилен следующего состава (в объемн. ч. на 1 млн.):

Сера .................    10*

Вода .................    10

Пропадиен ..............    20

Кислород ...............    10

Окись углерода ...........    10

Карбонилсульфид ...........    10

Ацетилен  ...............     5

Этан + пропан ............  2000

Для определения отдельных компонентов применяют следующие методы аналитического контроля.

Сера. Общую серу определяют сжиганием навески в аппарате Wickbold ‘ a с последующим переводом образовавшегося сернистого ангидрида в серный ангидрид и далее в серную кислоту. Послед­нюю оттитровывают хлористым барием в присутствии торина в ка­честве индикатора или же определяют, фотометрически по реакции с хлоранилатом бария .

Ацетилен. Метод определения основан на образовании раство­римых комплексных соединений ацетиленидов серебра в концент­рированных растворах серебряных солей—азотнокислой, хлорно-кислой, фтористой и кремнефтористоводородной .

Вода. Содержание влаги в пропилене определяют в основном двумя методами: титрованием реактивом Фишера и кулонометрическим методом . Первый способ довольно сложен, а его точ­ность относительно невысока. Правда, его можно усовершенство­вать, в таком случае точность анализа составит ±2 ч. на 1 млн. Кулонометрический метод экспериментально очень прост и вместе с тем очень точен. Он основан на электролизе влаги, уловленной из потока анализируемого газа или пара гигроскопической плен­кой, например фосфорной кислотой,между двумя платиновыми электродами.

Окись углерода. Используются хроматографические методы .шализа (в качестве адсорбента применяют активированный уголь, а в качестве газа-носителя—водород) или инфракрасная спектро­скопия,

Пропадиен. Наиболее совершенным методом определения счи­тается хроматографический, причем в качестве насадки разде­лительной колонки можно использовать силикат магния, диэтил-формамид и другие вещества. Предельная концентрация пропа-диена в пропилене определяется чувствительностью метода .шализа.

Кислород. Наиболее известны три метода. Первый основан на взаимодействии кислорода с водородом на твердом катализаторе , причем за ходом реакции следят с помощью двух термопар, одна из которых расположена в протекающем газе, а вторая— в каталитическом пространстве. Они соединены по способу встреч­ною включения, так что замеряется разность температур. Точность анализа достигает 10 ч. на 1 млн., она зависит от активности катализатора в течение всего процесса.

Свойства

Пропилен СН2=СН—СН3 (молекулярный вес 42,081) при обычных условиях—бесцветный газ со слабым характерным за­пахом.

С воздухом пропилен образует взрывоопасные смеси, нижний предел взрываемости которых равен 2,0 , а верхний— 11,1 объемн.%.

Критические константы:

 температура, °С

91,9

давление, кгс/см2

45,4

плотность, г/мл

0,233

0,233

Температура кипения при 760 мм рт: ст., °С 

Температура плавления при 760 мм рт. ст., °С

Температура воспламенения, °С

-47,7

-185,25

-107,8

Температура самовоспламенения в смеси с возду­хом, °С 458

Удельная теплоемкость Ср, ккал/(кгград)

0,363/25

Теплота испарения при температуре кипения, ккал/кг

Теплота сгорания газа при 25° С до жидкой Н2О и С02, ккaл/мoль

104,62

 491,99

Теплота образования газа DН0298, ккал/моль

Коэффициент теплопроводности, ккал/(см • сек • град)

4,879

 3,33. 10-5

В концентрации до 4000 ч. на 1 млн. пропилен физиологически безвреден. Оказывает слабонаркотическое действие, несколько бо­лее сильное, чем действие этилена. При концентрации 15 объемн.% пропилен вызывает потерю сознания спустя 30 мин, 24%—спустя 3 мин и 35—40% —через 20 сек .

Для пропилена в качестве средства огнетушения применяют двуокись углерода.

ПОЛИМЕРИЗАЦИЯ ПРОПИЛЕНА

Стереоспецифическая полимеризация

Катализаторы стереосспецифической полимеризации

Открытие стереоспецифических катализаторов представляло большой промышленный интерес и вызвало целый ряд исследо­ваний в области полимеризации пропилена и других олефинов. Вскоре после появления первых сообщений о полимеризации эти­лена при низких давлениях фирмой Монтекатини и Циглером были взяты совместные патенты , в которых описаны основ­ные группы веществ, применяемых в качестве катализаторов. Важ­нейшие из них следующие:

Соединения переходных металлов: TiCl4, TiCI3, TiCl2, , ацетилацетонат хрома и т. д.

Металлорганические    соединения:   Al (C2H5)3 , А1(С3Н7)3-Аl(С16Н33)3, , алюминиевые сплавы (например, Mg3Al2) и т. п.

Детальное изучение различных каталитических систем позво­лило выявить новые типы катализаторов, однако принцип их дей­ствия тот же и заключается во взаимодействии металлов органи­ческих соединений I, II или III групп периодической системы с соединениями переходных металлов IV—VIII групп. В этой сиязи представляется интересным вспомнить метилтрихлортитан (СН3ТiС13), являющийся, по мнению некоторых исследователей , эффективным катализатором. Однако более глубокое исследование указывает на то, что сначала происходит его разложение на треххлористый титан

RTiCl3 —> TiCl3 + R.                                         (1)

и катализатором служит, следовательно, система ТiС1з+RТiС1з.

Изотактический полипропилен в настоящее время получают только на гетерогенных каталитических системах, в которых пе­реходные металлы находятся в нерастворимой, более или менее кристаллической форме, а металлорганическое соединение растворимо в углеводородной среде. Ниже приводится краткое описание получения металлорганических соединений алюминия, триэтилалюминия и диэтилалюминийхлорида, а также треххлористого титана, представляющих собой наиболее широко распространенные и технологически наиболее хорошо разработанные системы ката­лизаторов.

 Получение алюминийорганических соединений

Алкилпроизводные алюминия, применяемые в качестве катализаторов стереоспецифической полимеризации пропилена, пред­ставляют собой бесцветные, на воздухе самовоспламеняющиеся жидкости; с водой и веществами, содержащими подвижный атом водорода (спирты, органические кислоты и т. п.), реагируют в концентрированном состоянии со взрывом. При незначительном до­ступе воздуха и влаги окисляются до соответствующих алкоксипроизводных или гидролизуются до гидроокиси алюминия. С дру­гими донорными соединениями (такими, как простые эфиры, амины, сульфиды) они образуют различные устойчивые комплексы, которые значительно меняют каталитическую активность. Высшие гомологи, начиная с триизобутилалюминия, отличаются уже мень­шей реакционной способностью, но и они на воздухе неустойчивы, поэтому работать с ними необходимо в атмосфере инертных газов (азот, гелий, аргон и т. п.; двуокись углерода не является инерт­ным газом).

Триэтилалюминий. Температура кипения 194° С при 760 мм рт. ст. (с частичным разложением) и 63° С при 1 мм рт. ст., плот­ность 0,84 г/см3, показатель преломления n20d=1,480, с углеводо­родами смешивается в любых соотношениях. При нормальной температуре примерно на 90% ассоциируется с образованием  димера :

Алюминийорганические соединения могут быть получены по общему для металлорганических соединений методу, который за­ключается в обмене алкилов между диалкилпроизводными ртути и алюминием :

Реакция протекает с избытком алюминия при 100—120° С практически количественно. Для крупного производства, однако, этот метод не годится из-за трудности получения исходных алкилпроизводных ртути, с одной стороны, и их высокой токсичности, с другой.

Циглер модифицировал этот метод, предложив заменить нат­рий гидридом натрия :

В результате реакции, которую можно осуществлять в угле­водородной среде (например, в гексане или циклогексане), полу­чается раствор диэтилалюминийгидрида. Этот раствор затем непо­средственно переводится в триэтилалюминий действием этилена при 70—80° С и повышенном давлении:

Данная реакция составляет сущность так называемого пря­мого синтеза триэтилалюминия , уравнение которого можно за­писать в виде:

При проведении реакции возникают известные трудности; особенно сложно приготовить алюминий в тонкоизмельченной актив­ной форме без поверхностных оксидных пленок. Измельчение можно проводить на вибрационных мельницах в среде =50% раствора триэтилалюминия. Полученная суспензия активного алюми­ния затем вступает в реакцию с водородом в автоклаве при 10-120° С, давлении водорода 20—30 ат и в присутствии в качетве катализатора пористого титана:

На следующей стадии проводится реакция (7), и весь цикл повторяется сначала.

Хотя в настоящее время в промышленности применяются оба посмотренных метода синтеза триэтилалюминия, прямой синтез в будущем непременно получит преимущественное развитие, так как в этом случае практически отсутствуют трудно утилизируемые отходы производства .

Диэтилалюминийхлорид можно с успехом применять вместо триэтилалюминия в каталитических системах с a , g , d-модификациями треххлористого титана. Физические свойства диэтилалю-минийхлорида: температура кипения при 760 мм рт. ст. 208° С, при 0,9 мм рт. ст. 44° С; плотность 0,9736 г/мл; температура плавления —74° С; вязкость 1,45 спз при 23° С. С алифатическими и ароматическими углеводородами смешивается в любом соотноше­нии. Степень ассоциации до мостиковой димерной структуры выше, чем у триэтилалюминия и этилалюминийхлорида.

В производстве диэтилалюминийхлорид получают из этилалюминийсесквихлорида, однако вместо реакции с NaСl применяется частичное дегалогенирование металлическим натрием по схеме:

Влияние условий проведения реакции на процесс полимеризации .

Основные параметры процесса полимеризации, а именно об­щая скорость процесса, стереоизомерный состав полимера и его молекулярный вес, зависят от химической и физической природы катализатора, полимеризационной среды и физических условий, а также степени чистоты отдельных компонентов системы и их кон­центрации.

Линейный полиэтилен на таких катализаторах может образо­вываться как в гомогенной, так и в гетерогенной фазе, поскольку он не имеет пространственных изомеров. Для получения же изо-тактического полипропилена предпочитают применять твердые хлориды титана (прежде всего TiCl3) в сочетании с алюминийорганическим компонентом. О роли твердой фазы говорит тот факт, что в присутствии каталитического комплекса металлорганического соединения с переходным металлом, адсорбированного на аморфном носителе, при полимеризации пропилена образуется атактический аморфный продукт. Тот же комплекс, адсорбирован­ный на кристаллическом носителе (треххлористый титан), позво­ляет получить изотактический полимер . Следует отметить, что самой по себе регулярности решетки носителя еще недостаточно для того, чтобы катализатор приобрел высокую стереоспецифичность; носитель должен также удовлетворять определенным стерическим условиям, связанным с величиной его ионов и расстоя­нием между ними. Так, в присутствии трехбромистого или трехиодистого титана атактического полимера образуется больше, чем при применении треххлористого титана.

Льюисовский характер обоих каталитических компонентов предопределяет и выбор среды. Наиболее выгодной средой считаются инертные углеводороды. Поскольку треххлористый титан действует как сильный адсорбент, наиболее предпочтительны алифатические углеводороды (гептан, гексан, пропан и т. п.), ко­торые сорбируются в меньшей степени, чем ароматические.

Влияние концентрации мономера  и компонентов катализатора

Из приведенных данных по механизму стереоспецифической полимеризации следует, что активные центры образуются при сорбировании алюминийорганического компонента на поверхности твердой фазы. Поэтому в первую очередь именно этот компонент будет оказывать влияние на скорость образования полимера и его стереорегулярность.

Наибольший выход изотактического полипропилена полу­чается при использовании треххлористого титана с малой удельной поверхностью и хорошо развитыми кристаллами. Однако на таком катализаторе полимеризация протекает медленно. При увеличении удельной поверхности применяемого катализатора одновременно со скоростью реакции возрастает содержание атактической фрак­ции и стереоблоков в полимере, что связано, очевидно, с увеличе­нием дефектов в твердой фазе.

Очевидно, что на изломах и гранях кристаллов мономерные звенья могут присоединяться к растущей цепи из разных положе­ний, вследствие чего образуются аморфные полимеры или—при более специфических условиях—в большей или меньшей степени регулярные стереоблоки (стереоизомерный сополимер). Чем мель­че частицы твердой фазы, тем больше изломов относительно пло­скостей, отличных от обычной плоскости 001 (обозначения индек­сами Миллера), и, как результат, часть поверхности имеет иные геометрические и химические свойства.

Алкилбериллий, содержащий металл с наименьшим ионным радиусом, в присутствии треххлористого титана дает самый высо­кий выход изотактического полипропилена при больших скоростях реакции полимеризации. На степень изотактичности и скорость ре­акции оказывают влияние также стерические и химические свой­ства заместителей металлорганического соединения. При полиме­ризации пропилена в присутствии триметилалюминия образуется полимер с большим содержанием атактической фракции, чем при применении триэтилалюминия. Стереоспецифичностъ, однако, па­дает и при высших алкилах. Если один алкил алюминия заменить на галоген, то скорость реакции снижается в ряду F>Cl>Br>I; в том же порядке увеличивается молекулярный вес. Натта в ре­зультате проведенных опытов по полимеризации пропилена с трех­хлористым титаном в среде толуола пришел к заключению, что стереорегулярность падает в ряду

Аl(С2Н5)2I > Аl(С2Н5)2Вr > Al(С2Н5)2С1 > Аl(С2Н5)2

Алюминийдигалогениды в присутствии треххлористого титана полимеризации уже не инициируют; при введении же в систему соответствующего донора (амины, пиридин) можно получить по­лимер с высокой стереорегулярностью. Донор и металлорганическое соединение лучше всего брать в соотношении 1 :2.

Влияние температуры

Суммарная энергия активации полимеризации пропилена на каталитической системе треххлористый титан — триэтилалюминий равна 14 ккал/моль, причем 4 ккал/моль приходится на долю теплоты растворения мономера в н - гептане .

В отличие от константы скорости молекулярный вес и стереоизомерный состав полимера, полученного на системе треххлори­стый титан—триэтилалюминий, при температурах ниже 80° С изменяются относительно мало. Повышение температуры, способ­ствующее уменьшению молекулярного веса, вызывает также и замет­ное изменение содержания экстрагируемых фракций. Полимеры, синтезированные при 100° С, содержали лишь 3% аморфной фракции . На катализаторе Т1С13-А1(С3Н5)2I и других известных каталитических системах полимеризация проходит с более низкой скоростью, чем в присут­ствии TiCl3 - AIR3 или TiCI3 - BeR3.

Влияние примесей

Оба компонента каталитической системы охотно вступают в реакцию с веществами, в молекуле которых есть атом со свобод­ной электронной парой. В случае триэтилалюминия стремление заполнить недостающую электронную пару на алюминии настоль­ко велико, что это вещество в нормальных условиях существует как димер с довольно большой устойчивостью. Димер энергетиче­ски более устойчив (почти на 10 ккал/моль). Триалкилалюминий образует с донорами комплексные соединения, некоторые из них настолько устойчивы, что их можно перегонять, а попытка разде­лить их на первоначальные компоненты часто приводит к деструк­ции всей молекулы .

Благодаря наличию свободных орбит переходный металл об­разует координационные связи с мономером за счет п-электронов последнего. Подобное взаимодействие имеет место с молекулами, имеющими свободную электронную пару. Соединения, обладающие способностью к координации, покрывают часть активной поверх­ности катализатора, некоторые из них действуют как каталитиче­ские яды и влияют на ход полимеризации и свойства полимера.

Аналогичным действием обладают и ненасыщенные углеводо­роды (пропадиен, ацетилены), которые к тому же не реагируют с триалкилалюминием и сильно сорбируются треххлористым тита­ном. Эти вещества снижают скорость полимеризации и модифици­руют свойства полимера.

Примеси можно разделить на две группы в зависимости от того, действуют ли они как ингибиторы или как промоторы поли­меризации. Сначала рассмотрим соединения с ингибирующими свойствами, часто присутствующие в сырье. При температуре по­лимеризации триалкилалюминий образует с полярными примеся­ми комплексы, которые на дальнейший ход полимеризации не ока­зывают существенного влияния. Примеси, сорбированные на твер­дой фазе, где происходит реакция роста цепи, действуют гораздо интенсивнее. При малых их количествах наблюдаются индукцион­ный период и снижение скорости полимеризации по окончании этого периода . Изменяется и стереоизомерный состав полимера: обычно повышается содержание аморфных и стереоблочных фракций.

Продолжительность индукционного периода определяется теми факторами, от которых зависит скорость удаления сорбированного вещества с поверхности твердой фазы. Примеси, которые слишком сильно сорбированы или из-за стерических затруднений не могут участвовать в реакции роста цепи (в роли сополимера), действуют как сильные ингибиторы процесса полимеризации. Из доноров на­иболее сильными каталитическими ядами являются COS, CS2, R2S, СО, т. е. вещества, известные своим ингибирующим действием и способностью образовывать координационные связи. Из ненасы­щенных углеводородов наиболее эффективным ингибитором счи­тается пропадиен. Ацетиленистые соединения также снижают ско­рость полимеризации. Однако сорбция их треххлористым титаном не настолько сильна, чтобы исключалась возможность сополимеризации. Ацетилен образует с пропиленом сополимеры, которые уже при ничтожных концентрациях ацетилена в системе (10 ч. на I млн.) имеют сине-фиолетовую окраску, свидетельствующую о на­личии сопряженных двойных связей и, следовательно, об образо­вании сополимера с блочной структурой. Метилацетилен цветных сополимеров не дает.

Вторую группу примесей составляют вещества, имеющие ион­ный характер или приобретающие его после сорбции на поверхно­сти твердой фазы. Из доноров значительный интерес представляют вещества, которые способны образовывать ониевые соединения. Наибольшей активностью отличаются соединения на основе азота, такие, как амины, пиридин и т. п. При применении треххлористого титана с малой 2удельной поверхностью (хорошо развитые кри­сталлы) они вдвое повышают скорость реакции уже в концен­трациях 10-4 моль /л, в то время как диэтиловый эфир при прочих равных условиях—всего лишь в 1,3 раза.

Доноры обычно увеличивают молекулярный вес полимера. Исключение составляют вещества, содержащие группу, способную вызвать передачу цепи. По влиянию на величину молекулярного веса активаторы можно расположить, например, в следующий ряд:

H2S < RSH < RSR < CS

Вещества, способные образовывать ониевые соли, уменьшают количество образующегося при полимеризации продукта, раство­римого в холодном и кипящем гептане (аморфные фракции и стереоблоки). Частично, однако, меньшая растворимость в геп­тане обусловлена более высоким молекулярным весом полимера .

Регулирование свойств продукта

Полученный в результате стереоспецифической полимеризации продукт наряду с изотактическим полимером содержит также не­которое количество атактической фракции и так называемые стереоблокполимеры, в макромолекулах которых чередуются на про­тивоположных сторонах цепи не отдельные группы СНз, а целые изотактические участки этих групп. Катализатор находится в мас­се образовавшегося полимера, и поэтому его необходимо либо уда­лить, либо перевести в химически инертную форму, не вызываю­щую деструкции и нежелательного окрашивания полимера. Содер­жание аморфных и стереоблочных фракций оказывает влияние на способность полимера к переработке и свойства получаемых изде­лий и должно быть отрегулировано в соответствии с назначением полимера. Другим параметром, который необходимо варьировать в ши­роких пределах в зависимости от назначения полимера, является величина молекулярного веса.

Регулирование молекулярного веса  

Как уже упоминалось, увеличить молекулярный вес полимера можно с помощью различных добавок (например, аминов) или самих каталитических систем (AlR2X—TiCI3 и др.). Снизить молекулярный вес можно тремя методами: а) выбором режима полимеризации (катализатор, температура, концентрация мономе­ра и т. п.); б) добавлением веществ, вызывающих передачу цепи; в) направленной деструкцией готового полимера.

Об изменении величины молекулярного веса с изменением условий ведения процесса полимеризации достаточно подробно говорилось выше. На практике молекулярный вес полимера чаще всего регулируют с помощью агентов передачи цепи. Впервые для этой цели был применен водород. Его действие зависит от концен­трации в жидкой фазе. При прочих равных условиях (концентрация катализатора и мономера, температура) снижение молекулярного веса в первом приближении пропорционально корню квадратному из парциального давления водорода . В низших углеводоро­дах (С3) растворимость водорода повышается с ростом тем­пературы. Эта кажущаяся аномалия теоретически хорошо иссле­дована.

Водород, применяемый в качестве агента передачи цепи, дол­жен быть очень чистым (в противном случае происходит резкое снижение скорости  реакции). Водород, полученный при пиролизе газов, обычно содержит СО, а электролитический водород—боль­шое количество кислорода и воды (сотни частей на миллион). Од­нако и очень чистый водород, взятый в высоких концентрациях, снижает скорость реакции на 30—40%. Содержание аморфного полимера с уменьшением молекулярного веса повышается незна­чительно. Передачу цепи с помощью водорода можно с успехом использовать и для получения волокнообразующего полипропиле­на с [h] =1.

Другим эффективным агентом передачи цепи является диэтилцинк . Его действие было открыто Натта при изучении металлорганнческих соединений, способных образовывать активный каталитический комплекс с треххлористым титаном. В последнее время опубликовано большое число исследова­ний, посвященных регулированию молекулярного веса полимера ; методом направленной деструкции. Деструкция углеводородных полимеров в теоретическом отношении тесно связана с процессами крекинга и пиролиза углеводородов .

Экстракция аморфных и стереоблочных фракций из полимера

В зависимости от способа полимеризации образуется полимер разного стереоизомерного состава. Структура полипропилена мо­жет быть нескольких типов (изотактическая, синдиотактическая, атактическая и стереоблочная). Различие между указанными струк­турами молекулярной цепи обусловливается неодинаковым поло­жением метальной группы у третичного атома углерода. Изотак-тнческий и синдиотактический полимеры имеют совершенно регу­лярно построенные цепи, располагающиеся вдоль винтовой оси (спирали). Структуру называют изотактической, если все метильные группы находятся по одну сторону от воображаемой плоскости главной цепи. Структура с регулярно чередующимся расположени­ем метильных групп по разные стороны главной цепи называется синдиотактической, а структура со стерически нерегулярной последовательностью метильных групп—атактической. Стерео-изомеры различаются между собой по свойствам. Атактический полипропилен представляет собой каучукоподобный продукт с вы­сокой текучестью, стереоблокполимеры обнаруживают уже неко­торую прочность, хотя и они обладают свойствами эластомеров. Изотактический полипропилен — вязкий продукт с высоким моду­лем упругости.

Низкомолекулярные атактические фракции необходимо уда­лить из полимера, так как со временем они мигрируют к поверх­ности изделий, делая их липкими на ощупь. Стереоблокполимеры хорошо совмещаются с изотактическим полипропиленом. В из­вестной степени они действуют как внутренний пластификатор и снижают кристалличность полимера. Их удаляют из полимера пол­ностью или хотя бы частично в зависимости от назначения изде­лия. Для некоторых целей (в частности, для получения высоко­прочного волокна) требуется полипропилеи, обладающий практи­чески 100%-ной степенью изотактичности.

Атактические и стереоблочные фракции удаляют из полимера экстракцией. Растворимость этих фракций зависит от применяемо­го растворителя и температуры. Экстракция обычно производит­ся алифатическими углеводородами. Хлорированные растворители отличаются несколько лучшей растворяющей способностью, одна­ко они отщепляют хлористый водород, который и в незначитель­ных концентрациях вызывает коррозию оборудования и привносит в полимер следы железа, существенно снижающие его термоокис­лительную стойкость.

Схема производства полипропилена фирмы Монтекатини

В полимеризационный автоклав 4 , снабженный охлаждающей рубашкой , в один прием загружают оба компонента катализатора и мономер. Полимеризацию ведут при температуре =80° С и давлении до 30 ат в определенном количестве растворителя (гептана). Как только скорость полимеризации падает (вследствие конверсии мономера) ниже некоторого предела, часть реакционной массы (30—50% объема автоклава) переводят в аппарат для дегаза­ции 5. В автоклав 4 из аппарата 1 подают нужное количество дисперсии катализатора в гептане, а также свежий мономер с та­ким расчетом, чтобы уровень жидкости в автоклаве был таким же, как вначале. При крупнотоннажном производстве параллельно устанавливают 6—10 полимеризационных автоклавов, рабочие циклы (загрузка и разгрузка) которых соответствующим образом смещены друг относительно друга. Все операции на данной стадии процесса выполняются автоматически по заданной программе. На следующей стадии полимер отделяют от растворителя и содер­жащихся в нем атактических фракций. Затем производят экстрак­цию остатков катализатора спиртами, а также промывку или отпарку полимера. После сушки порошковый полипропилен под­вергают грануляции на двухчервячной экструзионной машине с вакуум-отсосом.


Сополимеризация пропилена

Наряду с изучением физических и механических свойств по­липропилена внимание исследователей во всем мире привлекает сополимеризация пропилена с другими мономерами в целях моди­фикации свойств продукта. В круг проблем, связанных с сополимеризацией на стереоспецифических катализаторах, помимо изу­чения состава сополимера и содержания исходных мономеров,входит также изучение пространственного строения образующихся продуктов с учетом примененной комбинации мономеров и ката­литической системы.

Наибольшие успехи пока достигнуты при совместной полиме­ризации этилена с пропиленом, поэтому данный вопрос целесооб­разно осветить более подробно.

Сополимеризация этилена с пропиленом

Введение небольшого количества пропилена или бутена-1 в цепь полиэтилена, синтезированного на циглеровском или окисно-хромовом катализаторе, вызывает резкое снижение степени кристалличности продукта и, как следствие, улучшение ряда его тех­нически ценных свойств. Исследованиями установлено, что в при­сутствии 21 группы СН3 на 1000 групп СН3 главной цепи (т. е., =6,25 вес.% пропилена) кристалличность полиэтилена снижается почти на 20%. Подобный же эффект дают 14 групп C2H5 на 1000 групп СН2 (т. е. -5,6 вес.% бутена-1).

Аморфные сополи­меры этилена с пропиленом с содержанием 30—70% пропилена,по всей вероятности, найдут применение в резиновой промышлен­ности. Методам вулканизации, хлорирования и хлорсульфонирования с последующей вулканизацией этих продуктов уже посвя­щено большое число обстоятельных исследований.

Улучшения свойств сополимеров можно достигнуть полиме­ризацией трехкомпонентной системы, состоящей из этилена (25—75%), пропилена (25—75%) и диена с одной концевой двой­ной связью и одной изолированной внутренней двойной связью (0,1—1,0 моль/кг}. Из литературных источников известно , что названные тройные сополимеры по своим свойствам аналогичны бутилкаучуку и поддаются переработке не хуже обычных типов синтетических каучуков.

Достоин упоминания метод получения блоксополимеров этилена с пропиленом, структуру которых можно представить так:

Растущие цепи имеют относительно большую продолжитель­ность жизни, и при поочередном введении сомономеров в катали­тическую систему (например, четыреххлористый титан—триэтил-алюминий в гептане) можно произвольно управлять ростом и чередованием рядов отдельных мономеров. По своим свойствам такие продукты отличаются от смесей гомополимеров и от клас­сических статистических сополимеров.

Структура полипропилена

В зависимости от условий проведения процесса полиме­ризации пропилена получаются полимеры с различной молекуляр­ной структурой, которая определяет их физико-механические свой­ства и, как следствие, пригодность для той или иной цели.

Стереоизомерия

Открытие стереоспецифической полимеризации положило на­чало новому этапу в исследовании структуры и свойств полипро­пилена. В зависимости от условий полимеризации структура поли­пропилена может быть нескольких типов, которые различаются пространственным расположением метальных групп по отношению к главной цепи полимера .

а) Изотактическая структура—все группы СН3 находятся по одну сторону от плоскости цепи:

В действительности, однако, макромолекулы изотактического полипропилена имеют третичную симметрию, так как группы СН3 вдоль главной углеводородной цепи располагаются по спирали.

б) Синдиотактическая структура—группы СН3 располага­ются строго последовательно по разные стороны от плоскости цепи:

Изотактическая и синдиотактическая молекулярные структуры могут характеризоваться различной степенью совершенства про­странственной регулярности.

Структуру с неупорядоченным расположением метильных групп называют атактической:

Промежуточное положение между чисто атактической и чисто изотактической структурами занимают стереоблокполимеры, в ма­кромолекулах которых регулярно чередуются различные по длине изотактические и атактические участки.

На рис. 4.2 показаны типы пространственной структуры цепи линейного полипропилена.

Стереоизомеры полипропилена (изотактические, синдиотактические, атактические и стереоблочные) существенно различаются по механическим, физическим и химическим свойствам. Атактический полипропилен представляет собой каучукоподобный продукт с высокой текучестью, температура плавления =80° С, плотность 0,85 г/см3 , хорошо растворяется в диэтиловом эфире и в холод­ном н-гептане. Изотактический полипропилен по своим свойствам выгодно отличается от атактического; в частности, он обла­дает более высоким модулем упругости, большей плотностью (0,90—0,91 г/см3), высокой температурой плавления (165—170°С), лучшей стойкостью к действию химических реагентов и т. п. В от­личие от атактического полимера он растворим лишь в некоторых органических растворителях (тетралине, декалине, ксилоле, толу­оле), причем только при температурах выше 100° С. Стереоблок-полимер полипропилена при исследованиях с помощью рентгенов­ских лучей обнаруживает определенную кристалличность, которая не может быть такой же полной, как у чисто изотактических фрак­ций, поскольку атактические участки вызывают нарушения в кри­сталлической решетке .

Определение стереоизомерного состава полипропилена обычно производят методом последовательного экстрагирования , основанным на резком различии в растворимости аморфной и кри­сталлической фракций. Как правило, экстрагирование осущест­вляют кипящими растворителями в такой последовательности: вначале из полипропилена ацетоном экстрагируют маслообразные, низкомолекулярные атактические полимеры, затем эфиром—высоко­молекулярные атактические каучукоподобные полимеры и пара­финовыми углеводородами С5-С7 - стереоблочные фракции со все более высокими молекулярным весом и степенью кристал­личности. Точность разделения стереоб-лочных фракции, однако, весьма относительна, так как при последовательном экстрагирова­нии их парафиновыми углеводородами из полипропилсиа извле­каются также и изотактические полимеры низких молекулярных весов. Остаток после экстракции кипящим н-гептаном представ­ляет собой изотактический полимер; его количество, выраженное в процентах, служит показателем изотактичности полимера.

Свойства полипропилена .

Взаи мосвязь структуры и свойств

Полипропилен обладает ценным сочетанием свойств, изу­чение которых привлекает внимание многих исследователей, рабо­тающих как в области теории макромолекулярной хмии и физи­ки, так и в области переработки и применения полимерных мате­риалов.

Решающее влияние на свойства полипропилена и изделий из него оказывает молекулярная и надмолекулярная структура поли­мерной цепи.

Полипропилен характеризуется более сложной молекулярной структурой, чем большинство производимых промышленностью по­лимеров, так как, помимо химического состава мономера, среднего молекулярного веса и молекулярновесового распределения, на его структуру оказывает влияние пространственное расположение бо­ковых групп по отношению к главной цепи. В техническом отно­шении наиболее важен и перспективен изотактический полипропи­лен. В зависимости от типа и соотношения присутствующих стереоизомеров свойства полипропилена изменяются в широком диапазоне.

Молекулярный вес. Разные свойства полимера зависят от ве­личины молекулярного веса в различной степени. Так, при меха­нических нагрузках, связанных с малыми деформациями или ма­лыми скоростями деформации, с изменением молекулярного веса (и то лишь у полимеров с низким молекулярным весом) такие свойства полимера, как предел текучести, модуль упругости или твердость, изменяются незначительно. Механические же свойства полимера, связанные с большими деформациями, с изменением мо­лекулярного веса изменяются гораздо сильнее. Например, показа­тели предела прочности при растяжении, относительное удлинение при разрыве, ударная вязкость при изгибе и растяжении с умень­шением молекулярного веса снижаются.

Наибольшее влияние величина молекулярного веса оказывает на вязкость растворов и расплавов полипропилена, так как под действием растворителей или в результате теплового движения цепей происходит настолько значительное уменьшение интенсив­ности межмолекулярного взаимодействия, что каждая макромоле­кула может представлять собой более или менее самостоятельную кинетическую единицу.

Механические свойства

При оценке практической пригодности полипропилена для той или иной цели первостепенное значение приобретают его ме­ханические свойства. Очевидно, что полимер с низким модулем упругости, т. е. с малой жесткостью, нельзя рекомендовать для изготовления технических деталей, подвергающихся большим ме­ханическим нагрузкам, и, наоборот, полимер с большой жестко­стью оказывается непригодным там, где материал должен обла­дать свойством поглощать колебания с относительно высокой амплитудой.

Механические свойства полипропилена определяются его структурным составом. Атактическая фракция в чистом виде об­ладает свойствами аморфно-жидких полимеров, изотактическая — свойствами высококристаллических полимеров, а механические свойства стереоблокполимера занимают промежуточное положение. Промышленный иолииропилеи состоит в основном из макро­молекул изотактического строения, чем и обусловлены его высо­кие механические характеристики.

Диаграмма растяжения

Важным показателем, характеризующим механические свой­ства полипропилена, является зависимость удлинения от напряже­ния которую определяют, подвергая испытуемый образец растя­жению на разрывной машине. При этом испытании под напряже­нием понимают усилие, действующее на единицу площади перво­начального сечения образца

Зависимость относительного удлинения от напряжения для стереоблочного полипропилена принципиально отличается от тако­вой для изотактического полимера. Для достижения значительной деформации в данном случае достаточно небольшого напряжения, величина которого нарастает плавно (без скачков) вплоть до раз­рыва испытуемого образца. После снятия напряжения основная часть деформации быстро исчезает. Подобное поведение типично для каучукоподобных полимеров.

Наконец атактнческий полипропилен обнаруживает сильную пластическую (т. е. необратимую) деформацию при незначитель­ном напряжении, величина которого почти не изменяется до раз­рушения образца.

Поведение полипропилена обычных марок при испытании на растяжение определяется содержанием кристаллического полимера. С увеличением содержания неизотактических фракций начальный модуль упругости и предел текучести снижаются , относительное удлинение при разрыве, как правило, возрастает, а предел прочности при растяжении несколько падает.

С изменением величины молекулярного веса несколько изме­няется форма кривой «напряжение—относительное удлинение» для полимеров с одинаковой степенью изотактичности. Предел те­кучести с уменьшением молекулярного веса повышается, а относи­тельное удлинение при разрыве снижается, что связано с повыше­нием степени кристалличности.


Диэлектрические свойства

Полипропилен, подобно большинству синтетических полиме­ров, является прекрасным диэлектриком. Благодаря ничтожному водопоглощению его электроизоляционные свойства практически не изменяются даже после длительной выдержки в воде .

Поведение полипропилена как диэлектрика в переменном электрическом поле во многом сходно с поведением полимера при воздействии на него динамической механической нагрузки. Инду­цированные диполи звеньев цепей ориентируются по мгновенному направлению поля, в большей или меньшей степени отставая при этом от возбуждающей силы. Диэлектрическая проницпемость полипропилена почти не за­висит от частоты поля и температуры.

Различие между значениями диэлектрической проницаемости изотактического (e =2,28) и атактического (e =2,16) полимеров не настолько велико, чтобы по этому показателю можно было, на­пример, оценивать содержание атактических фракций в полипро­пилене.

Поверхностные свойства

Поверхность полипропи­леновых изделий отличает­ся относительно  хорошей износостойкостью, близкой к износостойкости иолиамидов. Стой­кость к истиранию повы­шается с увеличением моле­кулярного веса и почти не зависит от стереоизомерного состава полипропилена .

Антифрикционные свой­ства при контакте полипро­пилена со сталью близки к аналогичным свойствам найлона в су­хом состоянии. При применении смазки коэффициент трения полипропилена снижается в меньшей степени, чем в случае най­лона .

Неполярный характер полипропилена обусловливает плохую адгезию клеев к его поверхности. Поэтому в настоящее время нет надежных методов склеивания полипропиленовых деталей между собой и с другими материалами.

Оптические свойства

Степень прозрачности изделий из полипропилена определяется прежде всего размером сферолитов, на которых происходит рас­сеяние света. Если удается воспрепятствовать образованию круп­ных сферолитов путем быстрого охлаждения тонкой пленки, то получается прозрачное изделие, которое даже в поляризационном микроскопе не обнаруживает двойного лучепреломления, типичного для сферолитной структуры. Чем меньше скорость охлаждения — а она при плохой теплопроводности полипропилена в значительной степени зависит также и от толщины изделия, — тем крупнее сферолиты и ниже прозрачность изделия. На прозрачность оказывают влияние и другие факторы, от которых зависят размеры сфероли­тов, в частности величина молекулярного веса и стереоизомерный состав полипропилена.

Химическая стойкость

Полипропилен благодаря своей парафиновой структуре обла­дает высокой стойкостью к действию различных химических реагентов, даже в высоких концентрациях. При нормальной тем­пературе изотактический полипропилен очень хорошо противо­стоит действию органических растворителей даже при длительном пребывании в них. Однако любое нарушение правильности струк­туры цепей, проявляющееся в уменьшении степени кристалличности полипропилена, вызывает снижение стойкости к растворителям. Эту особенность полипропилена Натта  использовал для опре­деления содержания в нем атактической, стереоблочной и изотактической структур. Спирты, кетоны, сложные и простые эфиры имеют относительно малое сродство к парафиновой цепи и поэтому не способны сольватировать цепи, прочно связанные в кристалли­ческих участках. Однако они в большей или меньшей степени могут вызывать набухание или даже растворение атактических структур, особенно при высоких температурах. Углеводороды ввиду большего сродства к полипропилену растворяют атактические фракции уже при нормальной температуре. Интересное откло­нение от такой закономерности обнаруживают сжиженные пропан и пропилен, растворяющая способность которых в области темпе­ратур от -10 до -20° С выше, чем при нормальной температуре . По мере повышения температуры растворяющая способность высших углеводородов и их хлорпроизводных возрастает, так что ими можно экстрагировать и частично кристаллические стерео-блокполимеры. Наиболее эффективными растворителями являются ароматические и гидроароматические углеводороды, в которых при повышенных температурах растворяется изотактический полипро­пилен.

Из атмосферных влияний самым сильным оказывается дей­ствие кислорода, активированное солнечным светом.

Токсикологические свойства

Чистый полипроиилен атактической и изотактической струк­туры физиологически безвреден. Однако необходимо иметь в виду, что промышленный полипропилен содержит целый ряд примесей, о действии которых на организм пока известно очень мало. По­этому требуется тщательная проверка физиологической безвред­ности этих веществ, прежде всего остатков катализатора, а также стабилизаторов и цветных пигментов.

Химические реакции полипропилена

Химическая модификация полипропилена, т. е. направ­ленное изменение его физических, механических или химических свойств введением в макромолекулу новых функциональных групп, сшиванием или сополимеризацией, представляет большой интерес с научной и практической точки зрения.

Термическая деструкция

Для правильного применения полипропилена в различных об­ластях очень важно знать процессы его деструкции. При терми­ческой деструкции полипропилена в инертной атмосфере или вакууме снижается молекулярный вес и образуются  летучие про­дукты .

Снижение молекулярного веса полимера зависит от темпера­туры и продолжительности пиролиза .

Скорость образования летучих продуктов также является функцией температуры . Скорость термической деструк­ции полипропилеиа не зависит от его молекулярного веса .

В процессе деструкции уменьшается кристалличность поли­пропилена . В отличие от других полимеров, например поли-тетрафторэтилена или полиметилметакрилата, при пиролизе по­липропилена получается лишь незначительное количество моно­мерного продукта, что объясняется низкой энергией активации изомеризации макрорадикала, образовавшегося при термической деструкции . Так, при превращении 50% полимера в газо­образные продукты при 387° С образуется всего лишь 0,2% моно­мера . Газообразные продукты состоят в основном из 2-метилпропена-1, пентена-1 и пентена-2 . При разложении неразветвленного полипропилена газообразные продукты образуются гораздо быстрее, чем в случае полипропилена разветвленного строения .

Реакции инициированные ионизирующим ультрафиолетовым излучением

Влияние различных видов излучения высокой энергии (гам­ма-лучи, рентгеновские лучи, электроны, нейтроны) теоретически изучено хорошо , сведения же о практическом применении облученного полипропилена значительно более ограниченны, чем, например, о применении полиэтилена.

Полипропилен имеет структуру, промежуточную между поли­этиленом и полиизобугпленом, чем и предопределяется его пове­дение при действии излучений . Если при облучении полиэти­лена преобладающим процессом является сшивание (структуриро­вание), а в случае полиизобутилена -деструкция главной цепи, то при облучении полипропилена процессы сшивания и деструкции находятся в соотношении 0,75—0,8:1 , вследствие чего одно­временно образуются нерастворимый гель и низкомолекулярный полипропилен.

Получение сшитого продукта прямым облучением полипропи­лена , например в присутствии сенсибилизатора хлорбензола , в условиях нормальной температуры экономически невы­годно вследствие упомянутого выше соотношения процессов сши­вания и деструкции (0,75—0,8:1). Эффективное сшивание достигается при 100—125° С . В случае присутствия в полипропилене полифункциональных мономеров сшитый полимер удается полу­чить при значительно меньших дозах облучения, причем процесс деструкции полностью подавляется. В качестве полифункциональ­ных мономеров пригодны моно- (ди-, три-, гетра) этиленгликольдиметакрилат, аллилакрилат, аллилметакрилат (требуют облучения мощностью 0,25 Мрад ил 20% расхода мономера), винилметакрилат, диаллилмалеинат (1 Мрад} , дивинилбензол, триаллилци-анурат  и диаллилитаконаг . Такой же эффект сшивания достигается при облучении в присутствии серы, селена, теллура и некоторых их соединений , а также в результате термообра­ботки при 180° С предварительно облученного полипропилена .

Хорошо известно, что вредное влияние на механические свой­ства полипропилена оказывает ультрафиолетовая часть спектра солнечного света с диапазоном волн 2800—4000 А. Под действием кислорода полипропилен подвергается фотохимической деструк­ции, поэтому его необходимо стабилизировать. При облучении полипропилена УФ-светом в вакууме или инертной атмосфере одно­временно со сшиванием протекает деструкция . В присутствии сенсибилизаторов, например бензофенонов, полихлорированных бензолов, нафталинов и монохлористой серы (для пропилена она наиболее эффективна), доля сшитого продукта возрастает ; так, при применении монохлористой серы выход геля достигает 80% от веса облученного полипропилена .

Свободные радикалы, образующиеся в полипропилене при радиационном или фотохимическом облучении, с успехом исполь­зуются для получения богатой гаммы привитых сополимеров . Радиационным облучением катализируются также различные радикальные реакции полипропилена, в частно­сти хлорсульфонирование и сульфокисление.

Окисление     

Половина углеродных атомов в полипропиленовой цепи связа­на с метильными группами, которые оказывают активирующее дей­ствие на атом водорода, соединенный с третичным атомом угле­рода. Поэтому атом водорода у третичного атома углерода ока­зывается более реакционноспособным, чем водород метиленовой или метильной группы , вследствие чего при повышенных тем­пературах нестабилизированный полипропилен окисляется быст­рее, чем полиэтилен.

Различная реакционная способность связей С—Н в полипро­пилене проявляется при радикальных реакциях передачи цепи.

Окисление полипропилена воздухом и кислородом

Для получения привитых полимеров из изотактического поли­пропилена и сополимеров пропилена с этиленом предложен также процесс пероксидации воздухом при температуре 70° С и давлении 3 кгс/см2, причем концентрация перекисей по истечении 5 ч дости­гает 0,03 вес.% .

Окислительная деструкция полипропилена, предназначенного для переработки в волокно, может быть осуществлена при 145° С и повышенном давлении воздуха в суспензии порошкообразного полимера в метаноле , а также в растворах или суспензиях поли-a-олефинов (полученных нагреванием с водяным паром под давлением) .

В результате глубокой окислительной деструкции изотактиче­ского или аморфного полипропилена получают воскообразные вещества. Окислительная деструкция проходит быстрее в присутствии ди-трет-бутилперекиси при 160° С , причем воскообразные эмульсии можно применять в лакокрасочной промыш­ленности. Полимер с низким молекулярным весом (в пределах 900—30000) и температурой плавления не ниже 100° С можно по­лучить при термообработке полипропилена при 310—480° С в те­чение 30 мин . Известен процесс окисления поли-a-олефинов, диспергированных в водной фазе, при давлении воздуха до 20 кгс/см2 и температуре 90° С. Водные эмульсии лаурилсульфата натрия и окисленного сополимера пропилена с этиленом пригодны для шлихтования тканей, а также для производства красок и  ла­ков.

Озонирование

При окислении полимеров озоном перекиси начинают образо­вываться уже при комнатной температуре . Озон, действуя как инициатор окисления , значительно ускоряет окислительный процесс. Инициирующее действие озона при окислении полипропи­лена осуществляется через полимерные перекиси [R—0—0—R] с малым периодом жизни, которые на первых стадиях процесса вызывают также и временное, неустойчивое сшивание полимера.

Характер кривой накопления перекисей во время окисления озоном атактического полипропилена указывает на то, что в ис­следованном диапазоне температур 0—60° С можно достигнуть лишь ограниченной концентрации перекисей . Значительное ускорение процесса окисления озоном практически исключает на­личие индукционного периода. На кинетику накопления перекисей существенное влияние оказывает характер поверхности полипропи­лена,

Другие способы окисления полипропилена

Для пероксидации порошкообразного изотактического поли­пропилена при 40—100° С или волокон из него используется смесь воздуха и летучей органической перекиси (трет-бутилперекиси) .

Для поверхностного окисления пленок можно применять раз­личные окислители, такие, как К2Сг2О7 , КМn04 в растворе серной кислоты . Перекисные группы образуются и при окислении по­липропилена азотной кислотой или двуокисью азота . Пред­ставляет интерес метод получения пероксидированного полипро­пилена из бромированного полипропилена за счет реакции с 5,8% НзОз в среде простого эфира при добавке пиридина . Полипро­пилен в присутствии кислорода окисляется при любом физическом воздействии: как при механической деструкции под действием ультразвука  или излучения высокой энергии, так и под влия­нием электрической дуги или коронного разряда .

Галогенирование и другие реакции замещения

Хлорирование полипропилена

В последние годы много внимания уделялось изучению хлори­рования кристаллических полиолефинов, имеющих более высокую температуру плавления, чем полиэтилен, поскольку можно было ожидать, что и их хлорированные производные будут отличаться высокой температурой плавления. В настоящее время применяют­ся три метода хлорирования.

Хлорирование в растворе

В качестве растворителя при хлорировании в растворе исполь­зуют галогенированные углеводороды, в особенности ССl4 , СНС13, СН3Сl и дихлорбензол. Ускорению реакции способствует повы­шение температуры или облучение светом с длинами волн 2000— 6500 А. Каталитическое действие оказывают перекиси , азосоединения , четыреххлористый титан и т. д. Хлорирование в растворе осуществляют при нормальном  или повышенном давлении .

В макромолекулу полипропилена можно ввести до 70% хло­ра. Гомогенно хлорированный продукт удается получить лишь изотактического полипропилена. Для кристаллического изотактиче-ского полипропилена данный метод не вполне приемлем из-за от­сутствия хорошего растворителя этого полимера при температурах до 100° С. Кристаллический полимер в среде галогенированных уг­леводородов набухает, его поверхностный слой хлорируется, пе­реходит в раствор; однородный продукт получается лишь при содержании в полимере более 40% хлора, в противном случае об­разуется гетерогенная смесь высокохлорированного полимера в растворе и частично хлорированного геля.

Влияние содержания хлора на свойства хлорированного пропилена

По мере повышения степени хлорирования уменьшается со­держание кристаллической фракции в полимере. Вследствие де­струкции вязкость растворов хлорированных полимеров пропилена снижается прямо пропорционально содержанию хлора. Температу­ра размягчения, как и в случае полиэтилена , сначала падает, а затем линейно повышается, причем постепенно возрастает плот­ность хлорированного полипропилена . Подобно всем хлорированным полимерам хлорированный полипропилен легко отщепляет газообразный хлористый водород; так, полипропилен с содержанием хлора 60% отщепляет его уже при 108—123° С.

Применение хлорированного полипропилена

Окислы двухвалентных металлов (ZnO, MgO, PbO) реагируют с хлорированным полипропиленом (наиболее предпочтителен поли­мер с молекулярным весом >20000 и содержанием хлора >20%) с образованием эластомеров, обладающих прекрасной озоностойкостью. Эту реакцию часто проводят в присутствии меркапто-бензтиазола . Пленки, волокна и формованные из­делия из полипропилена можно подвергнуть действию хлора так, чтобы хлорирование проходило лишь в тонком поверхностном слое. Благодаря повышенной полярности хлорированной поверхности улучшается ее способность окрашиваться и воспринимать печать, чернила, лаки, клеи, фотоэмульсию и т. п. . Хлорирован­ный полипропилеи размягчается легче, чем нехлорированный , вследствие чего улучшается его свариваемость. Раствор низкомолекулярного хлорированного полипропилена в смеси с красителями образует несмываемые чернила . Хлорированный полипропплен в чистом виде или в смеси с немодифицированным полипропиленом может быть рекомендован для склеивания метал­лов, бумаги, стекла, а также поливинилхлорида и поливинилиден-хлорида . Пленки из хлорированного полипропилена приме­няются в качестве проницаемых мембран  с высокой удельной ударной вязкостью при изгибе . Большой интерес представ­ляет галогенирование твердого полипропилена в целях удаления остатков катализаторов полимеризации . Путем сшивания хло­рированного гюлипропилена бифункциональными аминами в процессе прессования получают изделия с высокими показателями прочностных свойств.

Вулканизация  хлорсульфонированного полипропилена  

Вулканизация хлорсульфонированного полипропилена осуще­ствляется с помощью окислов металлов, гликолей, диаминов, тиомочевины и других полифункциональных соединений. При этом Протекают следующие реакции:

1. Хлорсульфогруппы реагируют с окислами металлов с об­разованием солей или с полифункциональными аминами с обра­зованием сульфамидных групп.

2. Атомы хлора главной цепи, особенно если они связаны с третичным атомом углерода, могут взаимодействовать с гликолями, диаминами и другими группами с выделением НС1 и образо­ванием сшитых продуктов.

3. Двойные связи, образовавшиеся при отщеплении НС1 или SO2, могут реагировать с серой и ускорителями вулканизации так же, как в случае каучука.

В отличие от полиэтилена, у которого для разрушения кри­сталлической структуры и образования эластомера требуется до­вольно глубокое хлорирование (25—40%), при аморфизации поли­пропилена достаточно хлорсульфонирования до содержания - 1%. Рекомендуется применять полипропилен с молекулярным весом более 5000, содержанием кристаллической фракции не более 10% и содержанием хлора до 20%. При вулканизации с помощью окис­лов двухвалентных или многовалентных металлов реакции прохо­дят по схеме:

RSO2Cl + H2O —> HC1 + RSO2OH

PbO + 2HCl —> H2O + PbCI2

PbO + 2RSO2OH —> H2О + (RSО2О)2Рb

Реакции могут протекать только в присутствии воды. В про­тивном случае вулканизация либо вообще не имеет места, либо про­исходит крайне медленно. Помимо окислов металлов (10—40% от веса полипропилена), типичные вулканизационные системы обычно содержат 4—7 ч. органической кислоты и 1—3 ч. уско­рителей (чаще всего меркаптобензтиазола) , а иногда и органическую перекись или сажу . Температу­ру вулканизации следует поддерживать в пределах 150—170° С. Хлорсульфонированный полипропилен, сшитый тиомочевиной или диаминами , имеет меньшие эластичность по отскоку и модуль уп­ругости, чем спштый окислами металлов .

Хлорфосфорилирование полипропилена

При хлорфосфорилировании в полипропиленовую цепь можно ввести различное количество дихлорфосфоновых групп.

Реакция может быть осуществлена при обычной температуре непосредственно в растворе атактического полипропилена или на поверхности пленок волокон или формованных изделий, набухших в РС1з (иногда в смеси с органическим растворителем) под дей­ствием кислорода .

Полимер с фосфоновыми группами—РО(ОН)з, которые воз­никают в результате гидролиза гигроскопического полимера с груп­пами—РОСl2, можно вулканизовать окислами двухвалентных ме­таллов в эластомеры, отличающиеся хорошей озоностойкостью . Вулканизованный продукт обладает ионообменными свой­ствами, значительно более устойчив к неполярным растворителям, при содержании 4,7% фосфора приобретает свойства самозатуха­ния. Были получены соответствующие амиды и сложные эфиры фосфоновых кислот . Функциональные группы этого типа, связанные с макромолекулами поверхностного слоя изделий из полипропилена, например волокон, существенно улучшают их свето- и термоокислнтельную стойкость, окрашиваемость, качество на ощупь и сорбцнонную способность. Цугом конденсации через дихлорфосфоновые группы на по.дипропилене фиксируются стаби­лизаторы. Раствором низкофосфорилированного (до 3% фосфора) атактического полипропилена можно пропитывать целлюлозные ткани .

Другие химические методы модификации полипропилена

Наряду с рассмотренными выше применяют и другие методы направленного изменения технически важных свойств полипропи­лена. В результате нитрования порошкообразного полимера или волокон азотной кислотой при 20—130° С или двуокисью азота улучшается его способность окрашиваться основными и дисперсными красителями, а благодаря наличию функциональных групп —ООН и —ONO к полипропилену можно прививать различные мономеры. С этой же целью полипропилен нитрозируют NOC1 при облучении ультрафиолетовым светом , обрабатывают газообразным или жидким фосгеном в серной кис­лоте или циклогексане , сульфируют или сульфокисляют при действии радиационного облучения . После обработки поверхности сульфированной полипропиленовой пленки водным раствором поливинилового спирта она становится непро­ницаемой для масел и паров органических растворителей . Введение спиртовых групп в макромолекулу полипропилена до­стигается в результате окисления полипропилена и последующего восстановления гидроперекисных групп с помощью HI или триалкилалюминия ; при этом повышается стойкость к окислению и старению и появляется возможность окрашивания азокрасителями.

Кроме того, представляют интерес каталитическое гидрирование полипропилена с целью насыщения двойных связей, образо­вавшихся за счет реакций обрыва цепи , а также обработка его дейтерием .

Модификация методом привитой полимеризации

Одним из новых направлений синтеза полимеров с заданными физическими, механическими или химическими свойствами яв­ляется метод привитой полимеризации . Химиче­ская структура макромолекулы полипропилена позволяет осуще­ствлять прививку мономеров винилового типа как за счет реакций передачи цепи, так и за счет использования неустойчивых перекисных групп в окисленном полипропилене. Перспективен также и метод прививки к иолипропилсиу, активированному облучением. Сущность прививки по радикальному механизму заключается в образовании макрорадикалов полипропилена, к которым при после­дующей полимеризации присоединяются боковые цепи другого по­лимера.

В результате привитой полимеризации подавляются или даже полностью устраняются такие отрицательные свойства полипропи­лена, как недостаточная стойкость к термоокислительной и свето­вой деструкции, низкая гидрофильность, плохая окрашиваемость, малая ударная прочность в области температур ниже 0°С, зна­чительное падение прочности и повышение разрывного удлинения в условиях повышенной температуры, а в случае волокнистого ма­териала, кроме того, улучшаются качество на ощупь (гриф) и перерабатываемость в изделия. Отсюда понятно, что модифика­ция полипропилена, в особенности предназначенного для изготов­ления изделий с большой поверхностью (например, пленок и воло­кон), приобретает важное техническое значение.

Привитая полимеризация основаная на на реакции передачи цепи

Один из наиболее простых методов получения привитых сопо­лимеров полипропилена — прививка за счет реакций передачи цепи, когда полимеризуется мономер, инициированный свободны­ми радикалами в присутствии полипропилена. Полипропиленовый макрорадикал образуется в результате реакции макрорадикала полимеризующегося мономера с макромолекулой полипропилена:

О различной реакционной способности связей С—Н уже упо­миналось раньше. К образовавшемуся таким путем макрорадика­лу присоединяются молекулы мономера, т. е. возникает привитой полимер:

Одновременно с привитым полимером в системе образуется и нежелательный гомополимер.

Привитая полимеризация под действием радиационного  облучения

При этом методе получения привитого полипропилена исполь­зуют свободные радикалы, образовавшиеся под действием облу­чения, или вторично возникшие при облучении на воздухе пере-кисные группы.

В первом случае процесс прививки легче поддается контролю. Степень прививки определяется дозой облучения, величиной по­верхности полимера, температурой, временем контакта мономера, его растворимостью в полимере и скоростью диффузии к реакци­онным центрам. В зависимости от выбранных условий прививать можно как ко всем макромолекулам полипропилена, так и только к макромолекулам поверхностного слоя изделий.

При проведении процесса в гомогенной системе полимер под­вергают набуханию в мономере, а затем облучают. При этом образуется также и гомополимер вследствие инициирования по­лимеризации мономера. Прививка к полипропилену в растворе или в эмульсии изучена недостаточно.

Сшивание полипропилена

Выше уже упоминались методы сшивания полипропилена под действием излучения высокой энергии , прививкой раз­личных мономеров в присутствии перекисей , прививкой полифункциональных мономеров , сшиванием хлорированного и хлорфосфорилированного полимера с бифункцио­нальными аминами , вулканизацией хлорсульфонированного и хлорфосфорилированного полииропилена метал­лическими окислами. Наряду с ними широкое распространение получают сшивание и разветвление полипропилена перекисями и в особенности применение системы вулканизующих агентов перекись—сера .

При сшивании полипропилена, вызванном термическим разло­жением перекисей, одновременно происходит его деструкция. При низких концентрациях перекисей (до 0,05 моль/кг при температуре реакции 73° С) деструкция преобладает и поддается контролю. Вы­бор условий процесса зависит от величины исходного молекуляр­ного веса, а его снижение определяется температурой, которой со­ответствует определенная эффективная концентрация перекиси . Скорость деструкции связана с концентрацией перекиси степенной зависимостью , а скорость структурирования прямо пропорциональна концентрации перекиси, поэтому при высоких концентрациях реакция структурирования начинает преобладать. Этот эффект используется для стереогибридизации смеси изотак-тического и атактического полипропилена, чем достигается суще­ственное улучшение его морозостойкости. Гибридный стереоизомер представляет собой смесь привитых и блоксополимеров изотакти-ческого полипропилена с атактическим.

Метод вулканизации серой можно применить также и к смеси аморфного гюлиолефина с натуральным или синтетическим кау­чуком . В литературе описаны вулканизация полиолефинов под действием трихлорметансульфурилхлорида в присутствии ка­тализаторов Фриделя—Крафтса , а также сшивание нолипро-пилена с помощью монохлористой серы и фтористого бора при повышенной температуре .

Старение и стабилизация полипропилена

Механизм реакции окисления

Согласно существующим представлениям о механизме термоокислительной деструкции полипропилена , процесс окисления, протекающий довольно быстро уже при температурах выше 100° С, проходит через стадии образования и разложения гидроперекисей, что обусловливает его автокаталитический харак­тер. Зависимость скорости поглощения кислорода полимером от времени описывается уравнением Семенова  для цепных реак­ций с вырожденными разветвлениями:

где А, j—постоянные;

DO2—количество вступившего в реакцию кислорода;

t—продолжительность процесса.

Исследованиями установлено, что первичным продуктом окис­ления полипропилена являются гидроперекиси и скорость окисли­тельной деструкции пропорциональна их концентрации .

В настоящее время можно считать общепризнанным, что радикальноцепной процесс окисления полипропилена протекает по такому же механизму, как и других сложных углеводородов , и может быть описан следующей схемой реакций:

Реакция 1 представляет собой первичную инициирующую ре­акцию: образование радикала происходит либо за счет прямого взаимодействия углеводорода с кислородом

либо в результате разрыва связи С—С под действием коротковолнового излучения. На начальной стадии окисления преобладают непосредственные реакции углеводорода с кислородом, а позже превалирует инициирование за счет разложения гидроперекисей по реакциям 4—6.

Анализ возможных реакций распада гидроперекисей позво­ляет объяснить все химические изменения в полипропилене при термоокислительной деструкции, за исключением образования оки­слов углерода и кислот, которые появляются в конце процесса, по-видимому, в результате окисления продуктов, возникших на предшествующих стадиях реакции.

Схемы, образования различных продуктов окисления

I. Распад гидроперекисей

В цепи появляется одиночная группа

а) Взаимодействие гидроперекиси по связи С—Н соседней цепи. Появляется одиночная группа

б) Взаимодействие гидроперекиси по связи С—Н той же цепи. Возникает структура:

а) Взаимодействие гидроперекисей соседних цепей друг с другом. В макроцепях образуются группы

б) Взаимодействие гидроперекисей соседних третичных атомов углерода одной цепи. Возникает структура:

II. Реакции групп

1. Реакции одиночной группы

а) Вследствие отрыва водорода от своей или соседней цепи образуется гидроксильная группа.

б) Схема разрыва макромолекулы:

Таким образом, реакции окисления протекают в такой после­довательности:

2. Реакции групп —С—О.  в цепях со структурой I, 2б:

3. Группы —С—О. в структурах, возникших по реакциям I, За и I, 3б, действуют как одиночные группы —С—О. .Итак, гидроксильные группы появляются в цепи по реакциям II, 1а и II, 1б. Группы С=0 образуются по реакциям II, 1б и II, 2, двойные связи—по реакции II, 2, ацетальдегид и формаль­дегид—по реакциям II, 1б. Снижение молекулярного веса поли­пропилена вызывают реакции II, 1б и II, 2. Вода образуется при бимолекулярном распаде гидроперекисей.

Ингибиторы цепной реакции окисления

Ингибиторы разветвленной цепной реакции окисления угле­водородов можно разделить на три класса:

1. Вещества, вступающие в реакцию с радикалами с образо­ванием малоактивных продуктов.

2. Вещества, вступающие в реакцию с гидроперекисями с об­разованием неактивных продуктов.

3. Вещества, поглощающие ультрафиолетовые лучи и препят­ствующие тем самым разрыву связей в молекуле углеводорода .

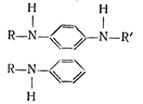
Вещества , реагирующие с радикалами с образованием малоактивных продуктов

К наиболее распространенным ингибиторам этого класса от­носятся замещенные фенолы и ароматические амины. В результате исследования механизма ингибирования цепной реакции окис­ления различных углеводородов выделены два типа ингибиторов:

а) взаимодействующие с радикалом с отдачей водорода

причем образуются гидроперекись и малоактивный радикал;

б) ингибиторы, ароматические кольца которых образуют с ра­дикалом комплекс и тем самым стабилизируют его . Этот ме­ханизм действия ингибиторов до сих пор еще не был достаточно хорошо, изучен.

Реакция по механизму а) предполагает легкий отрыв водо­рода от молекулы ингибитора. Исходя из этого можно сделать некоторые предположения о структуре веществ, которые могут использоваться в качестве ингибиторов.

1. Водород легко отрывается в том случае, если оставшийся неспаренный электрон имеет возможность сопряжения с более об­ширной п-электронной системой в молекуле. Чем больше энергия сопряжения, тем меньше прочность связи водорода в молекуле. Это наиболее характерно для ароматических соединений.

2. Как правило, водород отрывается от группы ОН или NH гомолитически (по указанным выше схемам реакций). В этих свя­зях электроны смещены к атомам азота и кислорода. Поэтому каждый заместитель, который увеличивает плотность электронов реакционной группы, облегчает непарный разрыв связи NH или ОН.

Стабилизаторы полипропилена 

Согласно опубликованным патентам и литературным данным, в качестве стабилизаторов .полипропилена могут быть рекомендо­ваны следующие вещества.

Термоокислительные стабилизаторы

Замещенные фенолы:

монофенолы

R, R', R" — алкилы;

алкилиден-бис-алкилфенолы

R, R'—H или алкилы; R’’—алкилы; n = 0 - 2;

трифенолы и полифенолы ;

аминофенолы .

Замещенные оксихроманы

R — алкилы.

Ароматические амины

R, R'—фенил, циклогексил, нафтил, алкил,

Серусодержащие соединения алкилзамещенные диоксидифенилсульфиды


R — алкилы; n = 0 - 2;

алкилзамещенные диаминодифенилсульфиды

R—алкилы; n = 0 - 2;

диалкилсульфиды

сложные эфиры b , b‘ -дитиодипропионовой кислоты

R — алкил, арил, циклогексил;

вещества общей формулы

R, R'—алкил; R"- H, фенил, замещенный фенил, циклогексил;

производные трициана ;

сера, селен, теллур .

Соединения трехвалентного фосфора

R—алкил, замещенный арил ;

R—алкил, замещенный арил; n = 0 - 2.

ПРИМЕНЕНИЕ ПОЛИПРОПИЛЕНА

Полипропилен как констукционный материал

Производится очень много сортов полипропилена с раз­нообразными свойствами . Практически не существует поли­пропилена общего назначения, который бы с одинаковым успехом использовался, например, как для производства волокна, так и для изготовления деталей машин или пленки. Успешное примене­ние полипропилена для той или иной цели предполагает правиль­ный выбор композиции (сорта, марки материала), которая по своим свойствам наиболее соответствует условиям переработки, назначению изделия и основным требованиям к его конструкции . При применении металлов для конструкционных целей соблюдение принципа подбора считается вполне естественным, при работе же с пластмассами этот принцип пока еще недостаточно прочно вошел в практику. Именно из-за незнания взаимосвязи областей применения и свойств пластических масс было допущено немало ошибок при внедрении их в технику.

Тара и упаковка

Полипропилен, в особенности пленка из него, обладает всеми необходимыми свойствами для применения в этой области. По своим характеристикам полипропиленовая пленка близка к поли­этиленовой, причем по некоторым показателям превосходит ее. По сравнению с пленками из других термопластов полипропиленовая пленка имеет преимущество в отношении стойкости к нагреванию и действию химических реагентов (она может быть подвергнута стерилизации при температуре выше 100° С, что определяет целе­сообразность ее использования в пищевой и фармацевтическом промышленности). Ее достоинствами являются также превосходили гибкость, глянцевитость поверхности, прозрачность, незначитель­ная паропронинаемость, нетоксичность, сравнительно легкая сва­риваемость и хорошая сопротивляемость усталостной коррозии.

Несколько лет назад начали получать полипропиленовые пленки, ориентированные в одном или двух взаимно перпенди­кулярных направлениях . Ориентация пленки улучшает ее прочность, жесткость, влагоизоляционные свойства и прозрачность. Прочность пленки, ориентированной в двух направлениях, в 4—8 раз превышает прочность неориентированной. По свариваемости ориентированная пленка уступает неориентированной, поэтому главным потребителем ее как упаковочного материала следует считать галантерею, где она ценна благодаря своей исключитель­ной прозрачности, отсутствию морщинистости - в этом отноше­нии она лучше полиамидной пленки.

Вполне оправдало себя применение полипропилепа для изго­товления затворов (пробок), бутылей , контейнеров. Как указывается в литературе , полипропилен может успешно кон­курировать с традиционными материалами в отношении экономич­ности изготовления этих изделий (полипропилен способен формо­ваться при исключительно коротких циклах). По прочности, ударостойкости и химической стойкости полипропилен превосходит полистирол, а по жесткости, сопротивлению истиранию и внешнему блеску - полиэтилен.

Волокно

Большое количество изотактического полипропилена расхо­дуется на производство волокна. Характерной особенностью полипропиленового волокна является его малая по сравнению с другими видами синтетических волокон плотность (0,905). Из 1 кг полипропилена можно получить 240000 м моноволокна диа­метром 0,075 мм , т. е. больше, чем из любого другого синте­тического материала, применяемого для производства моноволо­кон. Малая плотность полипропиленового моноволокна сочетается с исключительной прочностью и высокими эластическими свой­ствами. В то же время полипропиленовое волокно имеет меньший крип при постоянной нагрузке, более устойчиво к выцветанию и способно выдерживать без изменений воздействие более высоких температур (на 30° С), чем полиэтиленовое. Однако до сих пор не решена проблема стабилизации полипропиленового волокна от ультрафиолетового излучения. Это ограничивает возможность его использования в текстильной промышленности. Серьезными недо­статками этого волокна являются также пониженная гигроскопич­ность (при использовании его для изготовления бельевых тканей), относительно плохая поверхностная окрашиваемость (поэтому не­редко практикуется нерациональный метод окрашивания в массе) и не вполне удовлетворительная морозостойкость (20° С для ориентированного волокна).

С целью устранения этих недостатков полипропилен можно модифицировать разными методами, в частности введением в него специальных добавок (например, веществ с хорошими гидрофиль­ными свойствами или содержащих реакционноспособные группы, необходимые для крашения, ультрафиолетовых стабилизаторов, морозостойких добавок и т. п.) , Хотя проблемы модифи­кации полипропилена разрешены еще далеко не полностью, неко­торые зарубежные фирмы производят в опытных количествах над­лежащим образом стабилизированные и окрашенные волокна, способные выдержать длительную эксплуатацию в условиях воз­действия солнечных лучей (под открытым небом). Бесспорно, что решение указанных проблем принципиально возможно и является лишь делом времени.

Полипропилен как антикоррозионный материал

Одно из типичных применений полипропилена — плакировка резервуаров, предназначенных для транспоровки и хранения химически агрессивных жидкостей, в том числе различных продовольственных товаров .

Были предприняты попытки изготовления полипропилено­вых слоистых стеклопластиков различными методами. Основную трудность при этом представляет недостаточная адгезия полипро­пилена к стеклу

Кроме того, из полипропилена изготовляют корпуса насосов, работающих в агрессивных средах, шестерни, колпаки, трубопро­воды и арматуру. Там, где требуется ударостойкость при высоких рабочих температурах, полипропилен может конкурировать с поливинилхлоридом.

Применение в машиностроении

Низкий коэффициент трения и высокая износоустойчивость полипропилена позволяют использовать этот перспективный мате­риал для конструкционных и других целей в машиностроительной промышленности, в том числе и там, где химическая стойкость имеет второстепенное значение. Из полипропилена изготовляют, в частности, детали текстильного оборудования (бобины, сепара­торы, веретена), вентиляторов, пылесосов, полотеров, холодильни­ков, колпаки п винты машин для стрижки газонов и т. д. . При­менение его для этих целей вполне обоснованно: вентиляторы с по­липропиленовыми деталями создают меньше шума и более стойки к вибрации, чем металлические, к тому же они более безопасны при случайном попадании пальцев между лопастями, что особенно важно в случае настольных вентиляторов.

В автомобильной промышленности полипропилен пока не по­лучил широкого применения. Это объясняется, в частности, тем, что рабочие части автомобилей проходят длительные испытания на прочность и надежность. Тем не менее европейские автомоби­лестроители в настоящее время уже изготовляют из полипропилена амортизаторы, приборные щитки, распределительные коробки, штепсельные соединения, блоки предохранителей, рефлекторы, клаксоны, трубопроводы установки для кондиционирования воз­духа, педали подачи топлива (сформованные в виде одного це­лого), оконные детали, дверные прокладки, а также сидения, заполненные полиуретановым пенопластом . Рабочие части, непосредственно контактирующие с керосином или бензином (на­пример, насосы и карбюраторы), целесообразнее изготовлять из полиамида, так как бензин и керосин размягчают полипро­пилен.

Корпуса насосов для щелока до последнего времени делали из полиэтилена высокого или низкого давления или металла. Ме­таллические детали непригодны для этой цели ввиду химической агрессивности моющих средств, а полиэтиленовые подвержены усталостной коррозии.

К полипропилену был проявлен большой интерес как к мате­риалу для изготовления деталей посудомоечных полуавтоматов, где он ценен благодаря химической стойкости, высокой износо­устойчивости и ударопрочности.

Применение в электротехнике

В электротехнической промышленности находят применение формованные детали из полппропилена (например, катушки, обоймы, футляры, ламповые патроны, подставки, детали выключа­телей и телефонных аппаратов, корпуса радиоприемников, репро­дукторов, телевизоров и т. п.) , а также изоляционные оболочки и пленка, главным образом в виде ленты.

В качестве материала для изоляции электрических проводов и кабелей полипропилен пока еще не получил широкого признания, несмотря на то, что обладает высокими диэлектрическими свой­ствами и малой проницаемостью для паров воды. По всей вероят­ности, это связано с тем, что полипропилсн, как каждый новый изоляционный материал, сначала должен выдержать длительный испытательный срок.

Полипропилен пробовали применять для изоляции электро­проводов легкого типа, находящихся под напряжением 220 В. По­скольку для этой цели в настоящее время с успехом применяются другие изоляционные материалы, в частности поливинилхлорид, их замена полипропиленом была бы оправданной только в том случае, если бы он имел явное преимущество перед ними. Внедре­ние полипропилена означало бы уменьшение веса электроизоля­ции, а также повышение ее теплостойкости и, как следствие, воз­можность увеличения допустимой нагрузки в цепи и экономии изоляционного материала. Однако недостаточная гибкость поли­пропилена в относительно толстом слое ограничивает его приме­нимость для электротехнической изоляции. При снижении толщины полипропиленового покрытия оно приобретает нужную гибкость, но при этом возрастает опасность механического поврежде­ния его.

В высокочастотной технике применение полипропилена затруд­нено тем, что в нем обычно содержатся остатки катализатора. Существующие технологические методы не обеспечивают дости­жения требуемой степени чистоты полимера. Правда, для боль­шинства применений незначительное увеличение тангенса угла диэлектрических потерь не является помехой.

В последние годы в технике нашли распространение коммуни­кационные провода с пеноизоляцией. Полипропиленовый пенопласт может конкурировать в этой области с полиэтиленовым, так как обладает более низкой диэлектрической проницаемостью и луч­шими физическими свойствами.

Полипропиленовая пленка в виде ленты широко применяется для различных электротехнических целей. Этому способствуют вы­сокая электрическая прочность тонких пленок, теплостойкость и способность к намотке.

Применение в медецине

Долговременная устойчивость при температурах выше 100° С позволяет использовать полипропилен для изготовления корпусов ингаляторов, которые не подвержены коррозии под действием ми­неральных вод, применяемых для ингаляции, а также специальных трубок и шлангов.

В медицинской практике уже давно ощущалась потребность в недорогих шприцах разового пользования . Такие шприцы очень удобны на случай дорожных аварий, стихийных бедствий и как обязательная принадлежность военных полевых аптечек. Во всех этих случаях они имеют преимущество по сравнению со стек­лянными шприцами, которые тяжелее и гораздо дороже их. Этим и продиктована необходимость замены стекла более легкими и дешевыми материалами, в частности пластмассами. Если учесть, что в данном случае первостепенное значение приобретают физио­логическая безвредность и возможность горячей стерилизации (или химической при комнатной температуре), то станет ясно, что для применения в этой области пригодны лишь немногие из со­временных синтетических материалов, среди которых полипропи­лен занимает достойное место. Следует заметить, что раньше для этих целей применяли полиэтилен и полистирол.

Пластмассовые шприцы вместе с лекарственным раствором и инъекционной иглой упаковывают в полипропиленовую или поли­этиленовую пленку. При горячей стерилизации полиэтиленовая пленка деформируется, поэтому ее стерилизуют окисью этилена или ионизирующим излучением.

Шприцы из полипропилена превосходны по качеству (которое не ухудшается при многократной стерилизации при температуре до 130° С), не бьются и доступны по цене, вследствие чего за ру­бежом предполагают заменить ими стеклянные шприцы, приме­няемые обычно медицинской практике. Немаловажно и то, что технология изготовления полипропиленовых шприцев проще, чем стеклянных.

Содержание

I. Полипропилен

   1. Получение

   2. Выделение и очистка

   3. Анализ

   4. Свойства

II. Полимеризация пропилена

    1. Стереоспецифическая полимеризация

      а) Катализаторы стереоспецифической полимеризации

      б) Влияние условий проведения реакции на процесс полимеризации

      в) Регулирование свойств продукта 

    2. Схема производства полипропилена фирмы Монтекатини

    3. Сополимеризация пропилена

      а) Сополимеризация пропилена с этиленом

III. Структура полипропилена

    1. Стереоизомерия

IV. Свойства полипропилена

    1. Взаимосвязь структуры и свойств

    2. Механические свойства . Диаграмма растяжения .

    3. Диэликтрические свойства .

    4. Поверхостные свойства .

    5. Оптические свойства .

    6. Химическая стойкость

    7. Токсикологические свойства .

V. Химические реакции полипропилена

    1. Термичекая деструкция

    2. Реакции, инициированные ионизирующим и ультрафиолетовым излучением.

    3. Окисление.

      а) Окисление полипропилена воздухом и кислородом

      б) Озонирование

      в) Другие способы окисления полипропилена

    4. Галогенирование и другие реакции замещения

      а) Хлорирование полипропилена

      б) Влияние содержания хлора на свойства хлорированного полипропилена

      в) Применение хлорированного полипропилена

      г) Хлорфосфорилирование полипропилена

      д) Другие химические методы модификации пропилена

    5. Модификация методом привитой полимеризации

      а) Привитая полимеризация , основанная на реакции передачи цепи

      б) Привитая полимеризация , с предварительным окислением полипропилена

      в) Привитая полимеризация под действием радиационного облучения

    6. Сшивание полипропилена

VI. Старение и стабилизация полипропилена

    1. Механизм реакции окисления

    2. Ингибиторы цепной реакции

    3. Стабилизаторы полипропилена . Термоокислительные стабилизаторы .

VII. Применение полипропилена

    1. Полипропилен как конструкционный материал

    2. Тара и упаковка .

    3. Волокно .

    4. Полипропилен как антикоррозионный материал

    5. Применение в машиностроении

    6. Применение в электротехнике

    7. Применение в медицине  


© 2012 Рефераты, курсовые и дипломные работы.