рефераты
Главная

Рефераты по рекламе

Рефераты по физике

Рефераты по философии

Рефераты по финансам

Рефераты по химии

Рефераты по хозяйственному праву

Рефераты по цифровым устройствам

Рефераты по экологическому праву

Рефераты по экономико-математическому моделированию

Рефераты по экономической географии

Рефераты по экономической теории

Рефераты по этике

Рефераты по юриспруденции

Рефераты по языковедению

Рефераты по юридическим наукам

Рефераты по истории

Рефераты по компьютерным наукам

Рефераты по медицинским наукам

Рефераты по финансовым наукам

Рефераты по управленческим наукам

Психология и педагогика

Промышленность производство

Биология и химия

Языкознание филология

Издательское дело и полиграфия

Рефераты по краеведению и этнографии

Рефераты по религии и мифологии

Рефераты по медицине

Рефераты по сексологии

Рефераты по информатике программированию

Краткое содержание произведений

Статья: Исследование заряженных аэрозолей электрооптическим методом

Статья: Исследование заряженных аэрозолей электрооптическим методом

Сушко К.Б.

Значительная доля пылевых частиц, находящихся в реальной атмосфере, в космическом пространстве или в искусственных аэродисперсных системах, имеют несферическую форму и несут на себе электрический заряд. Под действием аэродинамических, электрических, магнитных или гравитационных полей несферические частицы могут приобретать определенную ориентацию в пространстве.

Зарядка аэрозольных частиц, находящихся в униполярной ионной атмосфере в отсутствие внешнего электрического поля, полностью определяется тепловой диффузией ионов, движущихся через дисперсионную среду по направлению к частице. Ионы присоединяются к заряжаемой частице до тех пор, пока возрастающая в процессе зарядки кулоновская сила отталкивания не уменьшит вероятность дальнейшего заряжения до исчезающе малой величины. Броуновским движением самих частиц при описании процесса зарядки обычно пренебрегают, так как масса аэрозолей намного превышает массу ионов. Простая теория процесса униполярной диффузионной зарядки аэрозольных частиц в слабых электрических полях с исчезающе малой напряженностью разработана Арендтом и Кальманом [1]. Ими найдено, что скорость зарядки частицы прямо пропорциональна площади ее поверхности, а также плотности объемного заряда ионов. Заряд частицы Исследование заряженных аэрозолей электрооптическим методомпри этом возрастает со временем по логарифмическому закону :

Исследование заряженных аэрозолей электрооптическим методом,

(1)

где r - радиус частицы, mi - масса иона, k - постоянная Больцмана, ni - концентрация ионов, qi - заряд иона, T - абсолютная температура.

В связи с тем, что после первых секунд зарядки частица приобретает заряд, близкий к предельному, при практических подсчетах пользуются формулой для максимального заряда:

Исследование заряженных аэрозолей электрооптическим методом

где A - коэффициент, зависящий от концентрации ионов. При ni=108 см-3, T=3000 С, t=1 с, A=1.

Необходимая для расчета заряда аэрозолей величина диффузионного потока униполярных ионов на частицу была впервые рассчитана в работах Фукса [2]. Им показано, что среднее значение заряда не зависит от присутствия газообразных примесей в зоне зарядки и определяется произведением проводимости газа в зоне зарядки на время зарядки частиц. Хорошее согласие теории Фукса с экспериментом наблюдается в диапазоне размеров частиц 0,03 0,1 мкм.

Уайт опубликовал теоретическое исследование процессов ударной и диффузионной зарядки [3]. Он вывел уравнения, которые в настоящее время признаются классическими. Согласно Уайту, уравнение диффузионной зарядки имеет вид:

Исследование заряженных аэрозолей электрооптическим методом,

(2)

где n - количество зарядов на частице; q - мгновенный заряд частицы; a - радиус частицы; N0 - плотность свободных ионов; Исследование заряженных аэрозолей электрооптическим методом- среднеквадратичная скорость теплового движения; t - время зарядки частицы.

Средний заряд частицы может быть определен из формулы:

Исследование заряженных аэрозолей электрооптическим методом.

(3)

В работе [4] на основе системы кинетических уравнений типа уравнения Больцмана проведено теоретическое исследование процесса униполярной диффузионной зарядки монодисперсного аэрозоля, находящегося в ионной атмосфере, и найдено стационарное распределение заряда на частицах.

На базе независимых уравнений Больцмана для нейтральных молекул и ионов разработана теория униполярной диффузионной зарядки мелких аэрозольных частиц [5, 6]. Получены кинетические уравнения, описывающие зарядку частиц при больших и промежуточных числах Кнудсена. Значения безразмерного заряда частиц ne/rkT получены как функция от безразмерного времени зарядки Исследование заряженных аэрозолей электрооптическим методомгде V - средняя тепловая скорость движения ионов, N - концентрация ионов вдали от частицы. Решения получены без учета потенциала зеркального заряда. Учет влияния зеркальных сил при зарядке очень мелких частиц может быть произведен с помощью критерия минимального потока [6], для чего находится концентричная с заряжаемой частицей сфера, поток ионов через которую окажется минимальным. Учет влияния зеркальных зарядов при униполярной диффузионной зарядке произведен также в работе [7], при этом утверждается, что не учитывающая зеркальных сил формула Уайта дает заниженные вдвое значения заряда.

Лиу и Йе опубликовали достаточно простую теорию униполярной диффузионной зарядки [8]. Ими решено уравнение диффузии ионов к заряженной частице для двух режимов зарядки:

для чисто диффузионного механизма,

для диффузионного механизма, осложненного ударной зарядкой в электрическом поле.

Теория учитывает зеркальный потенциал и броуновское движение аэрозолей, а также диффузию ионов и их движение в электрическом поле. Теория хорошо согласуется с экспериментальными данными при условии, что электрическая подвижность ионов равна 1,1 10-4 м2/В сек. Такой подвижностью обладают ионные комплексы, состоящие из 16 молекул. Однако в работах других авторов [9] приводятся значения электрической подвижности, которые в 1,5-2 раза больше, чем принято Лиу и Йе.

Изучение особенностей зарядки несферических аэрозольных частиц произвольной формы представляет значительный интерес для возможного повышения эффективности улавливания аэрозолей с помощью электрофильтров, нанесения защитных покрытий, а также в других применениях электронно-ионных технологий. Первое теоретическое исследование процесса диффузионной зарядки частиц неправильной формы с размерами >10-5 см проведено Cедуновым [10]. Он показал, что распределение частиц по зарядам при установившемся статистическом равновесии подчиняется Гауссову закону. Дисперсия распределения частиц определяется соотношением их тепловой и электростатической энергий, морфологические различия частиц оказывают влияние на значение электростатической энергии только через фактор электрической емкости. При рассмотрении процессов зарядки особенности формы несферических частиц ранее обычно не принимались во внимание, поскольку было экспериментально показано, что значение удельного поверхностного заряда частиц мало зависит от их формы, а определяется характерными размерами частиц. Так, в пределах погрешности эксперимента совпадали значения зарядов цилиндрической и эллипсоидальной частиц с одинаковыми характерными размерами. Поэтому частица произвольной формы при расчетах заменялась двух- или трехосным эллипсоидом. Процесс ударной зарядки трехосного диэлектрического эллипсоида рассмотрен в [11]. Получена формула, выражающая кинетику процесса заряжения частицы, ориентированной большой полуосью f вдоль электрического поля E, которая аналогична формуле Потенье для крупных частиц; при этом:

Исследование заряженных аэрозолей электрооптическим методом

(4)

где

Исследование заряженных аэрозолей электрооптическим методом

Для произвольно ориентированной частицы значение заряда Q находится по формуле:

Исследование заряженных аэрозолей электрооптическим методом,

где значения зарядов Qmax B и Qmax C определяются аналогично Qmax A, при этом вместо значения E0 берется значение проекции вектора напряженности электрического поля на соответствующую ось.

Мирзабекян рассмотрел процесс ударного заряжения сильно вытянутых диэлектрических эллипсоидов в электрическом поле и показал, что в этом случае процесс зарядки осложняется периодическим опрокидыванием частицы под действием момента сил, возникающих вследствие того, что заряжающие ионы попадают лишь на часть поверхности эллипсоида, которая обращена навстречу полю. Значение заряда Qопр частицы, при котором происходит ее опрокидывание, находится по формуле:

Исследование заряженных аэрозолей электрооптическим методом,

(5)

где

Исследование заряженных аэрозолей электрооптическим методом

Исследование заряженных аэрозолей электрооптическим методом

Опрокидывание диэлектрического эллипсоида происходит лишь в том случае, когда значения его поверхностного и объемного сопротивлений весьма значительны, а время растекания заряда по поверхности эллипсоида больше, чем время получения заряда Qопр. Образование на поверхности частицы гидратной оболочки резко снижает значение ее поверхностного сопротивления и меняет картину заряжения частицы.

Вомела и Уитби рассмотрели вопрос о заряжении частиц сложной формы (цепочечные и гроздеобразные агрегаты) [12] и показали несоответствие значений зарядов, полученных экспериментально и рассчитанных для сферической частицы с эквивалентным объемом. Заряд агрегатированных частиц в этом случае примерно на 70 % превышает заряд сферической частицы с диаметром порядка 0,05 мкм. Об аналогичном повышении значения заряда частицы по мере усложнения ее поверхности сообщали также и другие авторы.

Существует определенная зависимость между зарядом аэрозольных частиц и их оптическими свойствами. Так, Лушниковым с соавторами теоретически исследовано рассеяние электромагнитных волн заряженными аэрозольными частицами [13]. Ими найдено, что в тех случаях, когда носители заряда могут свободно передвигаться по поверхности частицы, в спектрах электромагнитной энергии, рассеянной и поглощенной частицами, должны появляться специфические плазменные резонансы, обусловленные собственными колебаниями двумерного электронного газа на поверхности. Показано, что наличие у частицы избыточного заряда должно привести к значительному увеличению сечения упругого рассеяния электромагнитного излучения в области длин волн плазменных резонансов (Исследование заряженных аэрозолей электрооптическим методом=10-40,1 м). Описанный эффект может наблюдаться на отрицательно заряженных аэрозольных частицах, у которых избыточные электроны выходят на поверхность частицы.

Исследование заряженных аэрозолей электрооптическим методом

Рис. 1. Блок-схема устройства для униполярной зарядки аэрозольных частиц.

Существует целый ряд способов для приобретения электрического заряда аэрозолями. Наиболее эффективным из них является способ зарядки частиц с помощью униполярного коронного разряда, позволяющий достичь предельно допустимых значений заряда. Зарядное устройство, используемое нами для электризации аэродисперсных частиц, подобно устройству, описанному Гевиттом [14]. Его блок-схема изображена на рис. 1. Проволочный коронирующий электрод 1 устройства расположен вдоль оси цилиндрического электрода 2, при этом часть поверхности цилиндра образована металлической сеткой 3, к которой снаружи примыкает канал зарядного объема. Этот канал, в свою очередь, образован изоляционными стенками 4 и электродом вытягивающего поля 5, представляющим собой часть цилиндрической поверхности большего радиуса, расположенной соосно с цилиндрическим электродом 2.

Заряжаемые аэрозоли из генератора аэрозолей 6 поступают в канал зарядного объема, образованный заземленной сеткой 3 и электродом вытягивающего поля 5. Газовые ионы, образующиеся в зоне коронного разряда между электродами 1 и 2, при подаче на них высокого напряжения от источника 8 через заземленную сетку 3 вытягиваются электрическим полем источника 7 в зарядный объем, где вследствие упорядоченного движения ионов происходит зарядка аэрозольных частиц. В схеме использованы следующие приборы: 7 - источник вытягивающего поля – блок питания Б1-4; 8 - источник высокого напряжения (013 кВ) типа БП 13-0,5; 9 - микроамперметр (050 мкА) типа М-494 для контроля тока коронного разряда.

Если напряженность поля в зарядном устройстве не превышает 100 В/см, то осуществляется диффузионный режим зарядки. При напряженностях поля, больших значения 1 Кв/см, осуществляется преимущественно ударный режим зарядки частиц. Время зарядки частиц t определяется экспериментально, как частное от деления длины зарядного устройства на скорость течения аэровзвеси. При ударном режиме зарядки частиц вытягивающее поле должно создаваться источником переменного напряжения, так как в случае постоянного вытягивающего поля большой напряженности неизбежна потеря значительной части заряжаемых аэрозолей, осаждающихся на электроде 5. Концентрация заряженных частиц определяется счетчиком аэрозолей АЗ-5. Заряд частиц контролируется измерителем плотности объемного заряда 10 нашей конструкции.

Изучение электрооптических явлений в заряженных аэродисперсных средах позволяет получить информацию о связи зарядов и электрических дипольных моментов частиц и представляет значительный интерес при исследовании процессов электризации аэрозолей и образования двойных электрических слоев. Состояние сильно развитой поверхности аэрозолей оказывает определяющее влияние на их поведение в электрических полях.

Образование двойного электрического слоя можно наблюдать у заряженных частиц. В процессе заряжения отрицательные ионы и свободные электроны при контакте с частицей заряжают ее отрицательно, при этом электроны уходят в частицу, а ионы, передав электроны частице, могут покинуть ее в виде нейтральных молекул. Положительные ионы, в свою очередь, достигнув частицы, извлекают из нее электроны, при этом работа ионизации зависит от величины работы выхода электронов из частицы.

Заряженная частица притягивает противоположно заряженные ионы, и на ее поверхности образуется двойной электрический слой. В зависимости от заряда поверхности на ней имеет место адсорбция ионов, которая может быть как положительной, так и отрицательной (избыток или недостаток ионов). При потенциале нулевого заряда ионы не притягиваются к поверхности частицы, и поэтому электростатическая адсорбция ионов поверхностью равна нулю. Если ионы адсорбируются поверхностью не только за счет кулоновской силы, но и за счет других специфических сил, то и при нулевом заряде частицы адсорбция не равна нулю. С помощью [15] электрооптического фотометра было исследовано влияние, которое оказывает процесс униполярного заряжения аэрозолей на ход полевых зависимостей электрооптического отклика  E) и  (E2). Регистрация  осуществлялась с помощью селективного усилителя УПИ-1, подключенного к выходу ФЭУ и настроенного на частоту импульсного ориентирующего поля. Угол рассеяния фиксировался (Q=450). Зависимости  (E) измерялись для аэрозолей хлорида аммония, заряжаемых в режиме униполярной диффузионной зарядки.

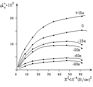
Исследование заряженных аэрозолей электрооптическим методом

Рис. 2. Зависимость электрооптического светорассеяния от напряженности импульсного ориентирующего поля для разных зарядов частиц

На рис. 2 приведено снятое при различных значениях зарядов частиц семейство графиков зависимости величины электрооптического светорассеяния  от напряженности E ориентирующего поля прямоугольных однополярных импульсов с частотой следования, равной 1 кГц. Из графиков видно, что величина фотоотклика увеличивается при заряжении частицы хлористого аммония положительно заряженными ионами и уменьшается при заряжении частиц отрицательными ионами.

Эффект выражен тем ярче, чем больший заряд получают аэродисперсные частицы. При больших значениях среднего отрицательного заряда, приходящегося на частицу (-90e, что близко к предельному заряду для частиц этого размера), значение отклика электрооптического светорассеяния заметно уменьшается. Полевые зависимости величины электрооптического светорассеяния имеют характерную S-образную форму. В начальной части кривые изменяются по квадратичному закону (до значений напряженности поля 1-2 кВ/см), при этом крутизна кривых растет с ростом напряженности. После квадратичного участка наблюдается участок перегиба, на котором крутизна кривой начинает уменьшаться. Для участка перегиба характерны напряженности поля 4 6 кВ/см.

После перегиба на кривых наблюдается протяженный пологий участок, тянущийся до значений напряженности примерно 8 кВ/см. При больших напряженностях ориентирующего поля наблюдается резкий спад величины электрооптического отклика (отрицательный наклон кривой), обусловленный началом наблюдаемого визуально электрофоретического движения аэрозолей в электрическом поле. Электрофорез аэрозолей сопровождается образованием линейных нитеобразных комплексов, участвующих в поступательном движении в направлении поля, что маскирует одновременные колебательно-вращательные движения аэрозольных частиц с частотой ориентирующего поля и приводит к снижению электрооптического отклика. Электрофорез отрицательно заряженных аэрозолей начинается несколько раньше, чем у нейтральных и положительно заряженных частиц, следовательно, положительно заряженная аэродисперсная система является более стабильной, чем заряженная отрицательно. Наблюдаемый эффект изменения электрооптического отклика в зависимости от заряда мы объясняем изменением значения индуцированного дипольного момента аэрозольных частиц, происходящим при их ориентации в поле. Появление у частицы индуцированного дипольного момента в последнее время связывают с эффектом поляризации двойного электрического слоя [5, 9]. Описанные выше зависимости электрооптического светорассеяния от частицы ориентирующего поля свидетельствуют о проявлениях концентрационной поляризации двойного электрического слоя (ДЭС).

Зависимость отклика от величины заряда свидетельствует о наличии выравнивающих поверхностных ионных токов, возникающих при отклонении ДЭС от равновесия при помещении частицы в электрическое поле. Заряжение частицы изменяет соотношение составляющих поверхностного ионного тока, протекающего при поляризации ДЭС.

Так, если у положительно заряженных частиц в переменном электрическом поле доминирует ток ионов, связанных со слоем Штерна или имеющих малую подвижность, то это равносильно увеличению постоянного дипольного момента частицы.

Если же у частицы при протекании уравнивающего тока доминирует поток ионов, связанных с диффузным слоем Гуи или имеющих большую подвижность, то это равносильно уменьшению дипольного момента частицы.

На рис. 3 изображено семейство графиков зависимости величины электрического светорассеяния частиц хлорида аммония от квадрата напряженности импульсного ориентирующего поля при постоянной частоте следования импульсов, равной 1 кГц. Графики сняты при различных значениях среднего заряда, приходящегося на одну частицу

Исследование заряженных аэрозолей электрооптическим методом

Рис. 3. Зависимость электрооптического светорассеяния от квадрата напряженности импульсного ориентирующего поля для разных зарядов частиц.

На графиках отчетливо выделяются три области, характеризующиеся различными степенями ориентации частиц:

линейная зависимость светорассеяния в начальной части кривой соответствует низкой степени ориентации;

перегиб кривой соответствует средним степеням ориентации частиц;

пологая часть кривой соответствует полной ориентации частиц в электрическом поле.

Из кривых видно, что ориентация отрицательно заряженных частиц наступает при меньших значениях напряженностей ориентирующего поля. Так как увеличение или уменьшение дипольного момента у разноименно заряженных частиц связывается нами с особенностями строения их двойного слоя, было решено исследовать электрооптический отклик аэрозольных частиц хлорида аммония с поверхностными слоями, образованными адсорбцией паров различных спиртов и полярных растворителей.

Свежеприготовленные аэрозоли пропускались через проточную кювету, в которой помещалось определенное количество легколетучего растворителя. Над зеркалом жидкости за счет испарения поддерживалось давление паров, характерное для комнатной температуры. При прохождении потока аэрозолей через атмосферу паров происходила адсорбция ионов растворителя на поверхности аэрозольных частиц. Заряжение частиц изменяло адсорбцию ионов и, соответственно, величину электрооптического отклика.

Было исследовано влияние на электрооптический отклик паров амилового и октилового спиртов, хлороформа, ксилола, гексена, ацетона и растворителя № 646. Нами показано, что пары хлороформа, гексена, ксилола и амилового спирта не меняют характер зависимости электрооптического отклика от знака заряда. Так же, как и на воздухе, положительно заряженные частицы демонстрируют больший электрооптический отклик, чем отрицательные. Иная картина наблюдается при адсорбции на частице молекул ацетона, бензина, октилового спирта и растворителя № 646. При этом у отрицательно заряженных частиц наблюдается больший электрооптический отклик, чем у положительных. Эти факты доказывают, что адсорбированные на аэрозольных частицах слои влияют на их электрооптические свойства.

Список литературы

Arendt P., Kallmann H. // Zeitschrift fur Phys. 1926. B. 35. № 6. S. 421-441.

Фукс Н.А. Механика аэрозолей. М.: Изд-во АН СССР, 1955. 352 с.

White H.J. Industrial Electrostatic precipitation. N.Y.: Addison-Wesley Publisching Co., Inc., 1963. 165 p.

Boidstron Y., Brock J.R. // Atmos. Environ. 1970. V. 4. № 1. P. 35-50.

Gentry J.W., Brock J.R. // J. Chem. Phys. 1967. V. 47. № 1. P. 64-69.

Gentry J.M. // J. Aerosol Sci. 1972. V. 3. № 1. P. 65-76.

Brock J.R., Wu M.S. // J. Colloid and Interface Sci. 1970. V. 33. № 3. P. 473-474.

Liu B.Y.H., Yen H.C. // J. Appl. Phys. 1968. V. 39. № 3. P. 1396-1402.

Smith W.B., McDonald J.R. // J. Aerosol Sci. 1976. V. 7. № 2. P. 151-166.

Седунов Ю.С. // Инженерно-физический журнал. 1959. Т. 2. № 12. С. 57-63.

Мирзабекян Г.З. // Сильные электрические поля в технологических процессах. М.: Энергия, 1969. С. 20-38.

Vomela R.A., Whitby K.T. // J. Colloid and Interface Sci. 1967. V. 25. № 4. P. 568-576.

Лушников А.А., Максименко А.Г., Симонов А.Я. // Изв. вузов. Радиофизика. 1984. Т. 27. № 6. С. 726-733.

Hewitt G.W. // AIEE Trans. 1957. V. 76. № 4. P. 307-309.

Сушко Б.К. // Вестник Башкирского университета. 1999. № 3. С. 35-39.


© 2012 Рефераты, курсовые и дипломные работы.